- Μαθαίνω να πολλαπλασιάζω και να
διαιρώ ρητές παραστάσεις.
- Μαθαίνω να προσθέτω και να αφαιρώ
ρητές παραστάσεις.
| ΔΡΑΣΤΗΡΙΟΤΗΤΑ |
|
1. Να κάνετε τις πράξεις: 
2. Με ανάλογο τρόπο να κάνετε και τις παρακάτω
πράξεις:

|
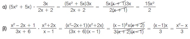
Πολλαπλασιασμός
Για να πολλαπλασιάσουμε έναν ακέραιο αριθμό με ένα κλάσμα ή για να πολλαπλασιάσουμε δύο κλάσματα, χρησιμοποιούμε τους εξής κανόνες.

Με τον ίδιο τρόπο πολλαπλασιάζουμε και μια ακέραια με μια ρητή παράσταση ή δύο ρητές παραστάσεις.
Για παράδειγμα,

Όπως βλέπουμε στο προηγούμενο παράδειγμα, μετά τις πράξεις εκτελούμε και τις δυνατές απλοποιήσεις.
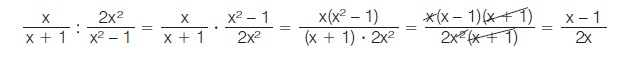
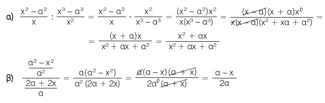
Διαίρεση
Για να διαιρέσουμε δύο κλάσματα χρησιμοποιούμε τον παρακάτω κανόνα

Με τον ίδιο τρόπο διαιρούμε και δύο ρητές παραστάσεις. Για παράδειγμα,

Σύνθετα κλάσματα

|
1
1 Να βρεθούν τα γινόμενα:
Λύση
2
Να γίνουν οι πράξεις:
Λύση
|
1
Να χαρακτηρίσετε τις παρακάτω ισότητες με
(Σ), αν είναι σωστές ή με (Λ), αν είναι λανθασμένες
2
Να συμπληρώσετε τις ισότητες:
|
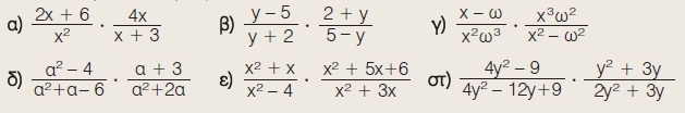
1
1 Να υπολογίσετε τα γινόμενα:

2
Να κάνετε τις διαιρέσεις:

3
Να υπολογίσετε τα γινόμενα:

4
Να κάνετε τις διαιρέσεις:

5
Να υπολογίσετε τις παραστάσεις:

|
|
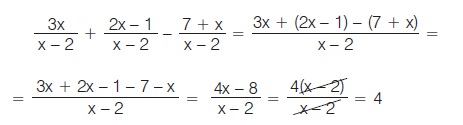
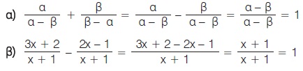
Για να προσθέσουμε ή να αφαιρέσουμε ομώνυμα κλάσματα, χρησιμοποιούμε τους εξής κανόνες

Με τον ίδιο τρόπο προσθέτουμε ή αφαιρούμε και ρητές παραστάσεις που έχουν τον ίδιο παρονομαστή. Για παράδειγμα,

Αν όμως οι ρητές παραστάσεις δεν έχουν τον ίδιο παρονομαστή, τότε βρίσκουμε το Ε.Κ.Π. των παρονομαστών και τις μετατρέπουμε σε ρητές παραστάσεις με τον ίδιο παρονομαστή, όπως και στα αριθμητικά κλάσματα.
Για παράδειγμα, αν θέλουμε να υπολογίσουμε το άθροισμα
εργαζόμαστε ως εξής:
- Παραγοντοποιούμε τους παρονομαστές.
|
3x2 - 3x = 3x(x - 1) και
3x - 3 = 3(x -1)
|
- Bρίσκουμε το Ε.Κ.Π. των παρονομαστών.
|
Ε.Κ.Π. = 6x(x-1) |
- Μετατρέπουμε τα κλάσματα σε ομώνυμα.
|
 |
- Εκτελούμε τις πράξεις και τις δυνατές απλοποιήσεις.
|
 |
|
1
Να γίνουν οι πράξεις:

Λύση
2
 Πούλησε κάποιος τα
οικόπεδα Α και Β και
από το καθένα εισέπραξε
50.000 ευρώ. Αν με τα
χρήματα αυτά αγόρασε
το διαμέρισμα Γ, να
αποδειχθεί ότι κάθε m2 του
διαμερίσματος στοιχίζει όσο
ένα m2 του οικοπέδου Α και
ένα m2 του οικοπέδου Β. (Οι διαστάσεις δίνονται σε m).
Λύση
|
1
Να χαρακτηρίσετε τις παρακάτω ισότητες με
(Σ), αν είναι σωστές ή με (Λ), αν είναι λανθασμένες.

2
Ένας μαθητής έγραψε τις παρακάτω ισότητες και ο
καθηγητής του είπε ότι σε κάποιο σημείο έκανε ένα
λάθος. Μπορείτε να εντοπίσετε το λάθος αυτό;

3
Να συμπληρώσετε τις ισότητες:

|
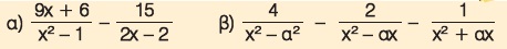
1
Να υπολογίσετε τις παραστάσεις:

2
Να υπολογίσετε τις παραστάσεις:

3
Να απλοποιήσετε τα κλάσματα:

4
Να υπολογίσετε τις παραστάσεις:

5
Να υπολογίσετε τις παραστάσεις:

6
α) Να αποδείξετε ότι 
β) Να υπολογίσετε την παράσταση 
7
α) Αν να αποδείξετε ότι Α2 + Β2 = 1.
β) Να αποδείξετε ότι οι αριθμοί ,
αποτελούν μήκη πλευρών ορθογωνίου τριγώνου.
|
1
Να βρείτε την τιμή της παράστασης:

(Διαγωνισμός «Θαλής» Ε.Μ.Ε. 2002).
2
Για κάθε θετικό ακέραιο ν, να αποδείξετε ότι:
α) (α - β + 3γ)2ν+1 + (β - α - 3γ)2ν+1 = 0
β) (x - y - ω)2ν - (y + ω - x)2ν = 0
3
Αν ισχύει να βρείτε την αριθμητική τιμή
των παραστάσεων:

4
Δίνεται το πολυώνυμο P(x) = -2x2 + 2x + 800.
α) Να αποδείξετε ότι P(1 - x) = P(x).
β) Να βρείτε την αριθμητική τιμή P(100) και P(-99).
5
α) Να αποδείξετε ότι α3 + β3 + γ3 - 3αβγ
= (α + β + γ)(α2 + β2 + γ2 - αβ - βγ - γα)
(Ταυτότητα Euler).
β) Αν α + β + γ = 0, να αποδείξετε ότι
α3 + β3 + γ3 = 3αβγ.
γ) Να παραγοντοποιήσετε την παράσταση
(x - y)3 + (y - ω)3 + (ω - x)3.
6
Αν και τότε να αποδείξετε ότι:

β) (3α + 1)2 + (3β + 1)2 + 9(α + β) = 40
7
Αν για τους αριθμούς x, y ισχύει μια από τις παρακάτω ισότητες να αποδείξετε ότι οι αριθμοί x, y είναι ίσοι ή αντίθετοι.
α) x4 - 2y2 = x2(y2 - 2)
β) x3 + y3 = x2y + xy2
8
α) Να παραγοντοποιήσετε τα τριώνυμα
x2 + 4x + 3, x2 + 2x - 3.
β) Να υπολογίσετε την παράσταση 
9
Δίνονται οι παραστάσεις Α = x(x + 3) και
Β = (x + 1)(x + 2).
α) Να αποδείξετε ότι Β = Α + 2 και ΑΒ + 1 = (Α + 1)2.
β) Να παραγοντοποιήσετε την παράσταση
x(x + 1)(x + 2)(x + 3) + 1.
10
α) Το εμβαδόν ενός κύκλου είναι 16πx4 + 8πx2 + π.
Να βρείτε την ακτίνα του.
β) Να βρείτε την ακτίνα ενός κύκλου που έχει
εμβαδόν ίσο με το άθροισμα των εμβαδών δύο
κύκλων με ακτίνες 4x και 4x2 - 1.
11
α) Αν ο αριθμός κ είναι ακέραιος, να αποδείξετε ότι
ο αριθμός κ2 + κ είναι άρτιος.
β) Να αποδείξετε ότι η διαφορά κύβων δύο διαδοχικών ακεραίων, αν διαιρεθεί με το 6, δίνει υπόλοιπο 1.
γ) Να αποδείξετε ότι η διαφορά τετραγώνων δύο περιττών ακεραίων είναι πολλαπλάσιο του 8.
12
α) Να κάνετε τη διαίρεση (x6 - 1) : (x - 1) και χρησιμοποιώντας την ταυτότητα της Ευκλείδειας διαίρεσης να αποδείξετε ότι ο αριθμός 76 - 1 είναι πολλαπλάσιο του 6.
β) Να κάνετε τη διαίρεση (x5 + 1) : (x + 1) και χρησιμοποιώντας την ταυτότητα της Ευκλείδειας διαίρεσης να αποδείξετε ότι ο αριθμός 215 + 1 είναι πολλαπλάσιο του 9.
13
α) Να αποδείξετε ότι 
Στην προηγούμενη ισότητα να αντικαταστήσετε το χ διαδοχικά με τις τιμές 2, 3, 4,………, 2008 και να αποδείξετε ότι 
Μικροπείραμα 
|
- Αλγεβρική Παράσταση είναι μια έκφραση που περιέχει αριθμούς και μεταβλητές π.χ. 2x2 - 3xy + 4
- Αριθμητική Τιμή μιας παράστασης είναι ο αριθμός που προκύπτει, αν αντικαταστήσουμε τις μεταβλητές της με αριθμούς και κάνουμε τις πράξεις.
- Μονώνυμο λέγεται μια ακέραια αλγεβρική παράσταση στην οποία μεταξύ των αριθμών και των μεταβλητών της σημειώνεται μόνο η πράξη του πολλαπλασιασμού.
π.χ. -3x2y (-3 συντελεστής, x2y κύριο μέρος του μονώνυμου).
- Όμοια λέγονται τα μονώνυμα που έχουν το ίδιο κύριο μέρος, π.χ. -3x2y, 7χ2y, -x2y
- η Πρόσθεση και η Αφαίρεση μονωνύμων έχει σαν αποτέλεσμα μονώνυμο, εφόσον αυτά είναι όμοια.
Άθροισμα ομοίων μονωνύμων είναι ένα μονώνυμο όμοιο με αυτά, που έχει συντελεστή το άθροισμα των συντελεστών τους.
π.χ. 2x2y + 3x2y - x2y = 4x2y Αναγωγή ομοίων όρων λέγεται η αντικατάσταση των ομοίων μονωνύμων με το άθροισμά τους.
π.χ. 6x2 + 2x - 4x2 + 3x = 2x2 + 5x
- ο Πολλαπλασιασμός και η Διαίρεση μονωνύμων γίνονται είτε τα μονώνυμα είναι όμοια είτε όχι.
Γινόμενο μονωνύμων είναι ένα μονώνυμο με συντελεστή το γινόμενο των συντελεστών τους και κύριο μέρος το γινόμενο όλων των μεταβλητών τους, με εκθέτη καθεμιάς το άθροισμα των εκθετών τους.
π.χ. (3x2y) · (-2xy3) = - 6x3y4 Πηλίκο δύο μονωνύμων είναι η αλγεβρική παράσταση που προκύπτει από την
αντίστοιχη διαίρεσή τους.
π.χ. 
-
Πολυώνυμο λέγεται το άθροισμα μονωνύμων, που δύο τουλάχιστον από αυτά δεν είναι όμοια.
π.χ. 3x2y - 5xy + 2 (Το μονώνυμα 3x2y, 5xy, 2 λέγονται όροι του πολυωνύμου). Δεχόμαστε ακόμα ότι κάθε μονώνυμο είναι και πολυώνυμο.
-
Για να προσθέσουμε - αφαιρέσουμε πολυώνυμα βγάζουμε τις παρενθέσεις και κάνουμε αναγωγή ομοίων όρων.
- Για να πολλαπλασιάσουμε
α) μονώνυμο με πολυώνυμο πολλαπλασιάζουμε το μονώνυμο με κάθε όρο του πολυωνύμου, προσθέτουμε τα εξαγόμενα, και στη συνέχεια κάνουμε αναγωγή ομοίων όρων. β) πολυώνυμο με πολυώνυμο πολλαπλασιάζουμε κάθε όρο του ενός πολυωνύμου με κάθε όρο του άλλου, προσθέτουμε τα εξαγόμενα, και στη συνέχεια
κάνουμε αναγωγή ομοίων όρων.
- Αν έχουμε δύο πολυώνυμα Δ(x) και δ(x) με δ(x) ≠ 0 και κάνουμε τη διαίρεση Δ(x) : δ(x), τότε βρίσκουμε ένα μοναδικό ζεύγος πολυωνύμων π(x) και υ(x) για τα οποία ισχύει: Δ(x) = δ(x)π(x) + υ(x) (Ταυτότητα της Ευκλείδειας διαίρεσης) όπου το υ(x) ή είναι ίσο με μηδέν ή έχει βαθμό μικρότερο από το βαθμό του δ(x). Αν υ(x) = 0, τότε η διαίρεση λέγεται τέλεια και τα δ(x) και π(x) λέγονται παράγοντες ή διαιρέτες του Δ(x).
-
Παραγοντοποίηση είναι ο μετασχηματισμός μιας
παράστασης από άθροισμα σε γινόμενο. Η παραγοντοποίηση γίνεται σε παράσταση που υπάρχει:
Κοινός παράγοντας
σ’ όλους τους όρους |
αx + βx = x(α + β) |
Κοινός παράγοντας σε ομάδες όρων της παράστασης |
αx + αy + βx + βy =
= α(x + y) + β(x + y) =
= (α + β)(x + y) |
Διαφορά τετραγώνων |
α2 - β2 = (α + β)(α - β) |
Άθροισμα -
Διαφορά κύβων |
α3 + β3 =
= (α + β)(α2 - αβ + + β2)=
= α3 - β3 = (α - β)(α2 + αβ + β2) |
Ανάπτυγμα τετραγώνου |
α2 + 2αβ + β2 = (α + β)2
α2 - 2αβ + β2 = (α - β)2 |
Τριώνυμο της μορφής
x2 + (α + β)x + αβ |
x2 + (α + β)x + αβ =
= (x + α)(x + β) |
- Μια αλγεβρική παράσταση που είναι κλάσμα με όρους πολυώνυμα, λέγεται ρητή αλγεβρική παράσταση ή απλώς ρητή παράσταση.

Οι μεταβλητές μιας ρητής παράστασης δεν μπορούν να πάρουν τιμές που μηδενίζουν τον παρονομαστή. Για να απλοποιήσουμε μια ρητή αλγεβρική παράσταση, παραγοντοποιούμε και τους δύο όρους της και διαγράφουμε τον κοινό παράγοντα. Οι πράξεις με τις ρητές παραστάσεις γίνονται όπως και οι πράξεις των αριθμητικών κλασμάτων.
|
|