Βιολογία Β και Γ Γυμνασίου - Βιβλίο Μαθητή (Εμπλουτισμένο)
5.4 Κυτταρική διαίρεση 5.6 Μεταλλάξεις Επιστροφή στην αρχική σελίδα του μαθήματος

5.5 Κληρονομικότητα

Εικ. 5.22 Τα μονοζυγωτικά δίδυμα, όπως αυτά της φωτογραφίας, προέρχονται από το ίδιο ωάριο και σπερματοζωάριο, άρα έχουν τον ίδιο γονότυπο.

Εικ. 5.22 Τα μονοζυγωτικά δίδυμα, όπως
αυτά της φωτογραφίας, προέρχονται
από το ίδιο ωάριο και σπερματοζωάριο,
άρα έχουν τον ίδιο γονότυπο.

Οι οργανισμοί, καθώς αναπτύσσονται, εμφανίζουν μια μεγάλη ποικιλία χαρακτηριστικών, από τα οποία άλλα έχουν κληρονομήσει από τους γονείς τους και άλλα οφείλονται στις επιδράσεις του περιβάλλοντος. Εάν, για παράδειγμα, μπορείτε να αναδιπλώνετε τη γλώσσα σας, αυτό είναι ένα κληρονομικό χαρακτηριστικό, ενώ, αν μπορείτε να μιλάτε τρεις ξένες γλώσσες, αυτό οφείλεται σε εκπαίδευση και μελέτη, είναι συνεπώς ένα επίκτητο χαρακτηριστικό. Η μεταβίβαση των γενετικών χαρακτηριστικών από τους γονείς στους απογόνους ονομάζεται κληρονομικότητα.

Οι νόμοι του Μέντελ

Τα χαρακτηριστικά μας καθορίζονται από γονίδια που βρίσκονται στα ομόλογα χρωμοσώματα. Το ένα χρωμόσωμα κάθε ζεύγους το έχουμε πάρει από τον πατέρα μας και το άλλο από τη μητέρα μας. Αυτό σημαίνει ότι για κάθε χαρακτηριστικό μας έχουμε κληρονομήσει ένα αλληλόμορφο από τον πατέρα μας και ένα από τη μητέρα μας. Το σύνολο των αλληλομόρφων που βρίσκονται σε κάθε κύτταρο ενός οργανισμού αποτελεί τον γονότυπο του οργανισμού, ενώ το σύνολο των χαρακτηριστικών του (μορφολογικών, ανατομικών, φυσιολογικών κτλ.) αποτελεί τον φαινότυπό του.

Ας εξετάσουμε πώς κληρονομείται ένα χαρακτηριστικό, π.χ. το χρώμα των ματιών. Τι θα συμβεί αν, για παράδειγμα, η μητέρα έχει γαλανά μάτια και ο πατέρας καστανά και είναι και οι δύο ομόζυγοι γι’ αυτό το χαρακτηριστικό; Ποιο θα είναι το χρώμα ματιών του παιδιού;


Αν συμβολίσουμε με Μ το επικρατές αλληλόμορφο για τα καστανά μάτια και με μ το υπολειπόμενο αλληλόμορφο για τα γαλανά, τότε:

εικόνα

Από τους πιθανούς συνδυασμούς θα προκύψουν τα ζυγωτά:

εικόνα

Όλα τα παιδιά θα είναι ετερόζυγα και θα έχουν καστανά μάτια.


Τι θα συμβεί αν η μητέρα και ο πατέρας είναι ετερόζυγοι για το καστανό χρώμα των ματιών; Ποιο θα είναι το χρώμα ματιών του παιδιού;

εικόνα

Από τους πιθανούς συνδυασμούς θα προκύψουν τα ζυγωτά:

εικόνα

Το παιδί με γονότυπο ΜΜ θα έχει καστανά μάτια, το παιδί με γονότυπο Μμ ή μΜ θα έχει καστανά μάτια και το παιδί με γονότυπο μμ θα έχει γαλανά μάτια.

Συνεπώς η πιθανότητα να γεννηθεί παιδί με γαλανά μάτια είναι 25% (1/4), ενώ με καστανά μάτια 75% (3/4), κι αυτό θα ισχύει κάθε φορά που θα δημιουργείται ένα ζυγωτό.Διασταυρώσεις Μονοϋβριδισμού Οι Νόμοι του Μέντελ

εικόνα
Ας σκεφτούμε
Ποιο θα είναι το χρώμα των ματιών των παιδιών αν η μητέρα έχει γαλανά μάτια και ο πατέρας είναι ετερόζυγος και έχει καστανό χρώμα ματιών;

εικόναεικόνα

ΒΙΟΛΟΓΙΑ ΚΑΙ... ΑΛΛΗ ΒΙΟΛΟΓΙΑ

Η ζωή είναι γεμάτη εκπλήξεις!


Από τις γνώσεις που αποκτήσατε σε αυτή την ενότητα ίσως συμπεράνατε ότι γονείς με γαλανά μάτια θα αποκτήσουν οπωσδήποτε παιδιά με γαλανά μάτια. Αυτό όμως δεν συμβαίνει πάντοτε. Κάποιες φορές γονείς με γαλανά μάτια μπορεί να αποκτήσουν παιδί με καστανά μάτια. Αυτό γίνεται επειδή ο τρόπος κληρονόμησης αυτού του χαρακτηριστικού είναι αρκετά πολύπλοκος και δεν οφείλεται σε ένα μόνο ζεύγος αλληλομόρφων αλλά σε μια ομάδα γονιδίων που συνεργάζονται. Ορισμένες φορές τα γονίδια αυτά δίνουν ένα απροσδόκητο αποτέλεσμα. Έτσι, το χρώμα των ματιών ενός ανθρώπου μπορεί να είναι καστανοπράσινο, γαλαζοπράσινο ή γκρίζο. Μην εκπλαγείτε ακόμα κι αν συναντήσετε έναν άνθρωπο με ένα μάτι γαλάζιο και ένα μάτι καστανό!


Τον τρόπο με τον οποίο κληρονομούνται τα χαρακτηριστικά των οργανισμών μελέτησε εκτεταμένα ο Μέντελ (G. Mendel). Ο Μέντελ χρησιμοποίησε για τα πειράματά του το μοσχομπίζελο, οι νόμοι όμως στους οποίους κατέληξε ισχύουν για όλους τους διπλοειδείς οργανισμούς. Οι νόμοι αυτοί αναφέρουν:

  • Τα άτομα που προέρχονται από διασταύρωση ομόζυγων γονέων οι οποίοι διαφέρουν σε ένα ή περισσότερα χαρακτηριστικά είναι ομοιόμορφα μεταξύ τους ως προς τα χαρακτηριστικά αυτά.
  • Όταν διασταυρώνουμε ετερόζυγα άτομα, επανεμφανίζονται στους απογόνους τους τα χαρακτηριστικά των γονέων τους με καθορισμένη αναλογία.
εικόναεικόνα

Η ΒΙΟΛΟΓΙΑ... ΧΘΕΣ, ΣΗΜΕΡΑ ΚΑΙ ΑYΡΙΟ

Ο Μέντελ και τα μοσχομπίζελα


Ο Αυστριακός Γκρέγκορ Γιόχαν Μέντελ (Gregor Johann Mendel, 1822-1884) ήταν καλόγερος και πειραματίστηκε με φυτά μοσχομπίζελου. Κατόρθωσε να επιτύχει την επιλεκτική αυτογονιμοποίηση των φυτών καλύπτοντάς τα, ώστε να μη γονιμοποιηθούν από έντομα. Στη συνέχεια, συνέλεξε τους σπόρους από κάθε αυτογονιμοποίηση και, αφού τους φύτεψε χωριστά, μελέτησε τη νέα γενιά φυτών. Κάθε φορά μελετούσε μία ή δύο ιδιότητες του φυτού (π.χ. χρώμα λουλουδιών, σχήμα καρπού), έπαιρνε μεγάλο αριθμό απογόνων και έβγαζε στατιστικά αποτελέσματα. Ο Μέντελ δημοσίευσε για πρώτη φορά τα αποτελέσματα των ερευνών του το 1865, θεμελιώνοντας έτσι την επιστήμη της γενετικής. Το έργο του αναγνωρίστηκε τριάντα χρόνια μετά τον θάνατό του.


εικόνα
Ερωτήσεις
Προβλήματα
Δραστηριότητες
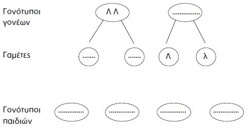
  1. Στο παρακάτω διάγραμμα να συμπληρώσετε σωστά τους γονότυπους που ζητούνται:
εικόνα

  1. Ένα ζευγάρι έχει αποκτήσει ένα αγόρι που έχει προσκολλημένους λοβούς αυτιών. Η μητέρα του και ο πατέρας του έχουν ελεύθερους λοβούς αυτιών. Πώς μπορείτε να εξηγήσετε το γεγονός αυτό με δεδομένο ότι το αλληλόμορφο για τους προσκολλημένους λοβούς αυτιών είναι υπολειπόμενο; Να γράψετε τους γονότυπους των γονέων και του αγοριού χρησιμοποιώντας το γράμμα Α για το επικρατές και το γράμμα α για το υπολειπόμενο αλληλόμορφο.

  1. Η γραμμή τριχοφυΐας με κορυφή οφείλεται σε επικρατές αλληλόμορφο. Ποιος θα είναι ο φαινότυπος των παιδιών ενός ζευγαριού που η μητέρα έχει γραμμή τριχοφυΐας με κορυφή και ο πατέρας γραμμή τριχοφυΐας χωρίς κορυφή; Ποιος θα είναι ο πιθανός γονότυπος των γονέων και των παιδιών; Να αιτιολογήσετε την απάντησή σας.

  1. Να συντάξετε έναν κατάλογο με τα χαρακτηριστικά που πιστεύετε ότι έχετε κληρονομήσει και με αυτά που πιστεύετε ότι έχετε αποκτήσει με την επίδραση του περιβάλλοντος. Με ποιον τρόπο πιστεύετε ότι το περιβάλλον σας συνέβαλε στην απόκτηση των επίκτητων χαρακτηριστικών;