|

|
| 1 |
|
Μια δισκογραφική εταιρεία προσπαθεί να επεκτείνει τις πωλήσεις της σε εφήβους. Προτού να επενδύσει σε είδη μουσικής που προτιμούν οι μαθητές, αποφασίζει να κάνει μία έρευνα ανάμεσα σε 200 μαθητές που επέλεξε τυχαία απ' όλη την Ελλάδα. Ο υπεύθυνος, που έκανε την έρευνα, παρουσίασε στο διευθυντή της εταιρείας τις παρακάτω τρεις γραφικές παραστάσεις (διαγράμματα).
α) Πόσοι μαθητές προτίμησαν κάθε είδος μουσικής;
β) Σε ποια είδη μουσικής προτείνετε να επενδύσει η εταιρεία;
|
Λύση
α) Παρατηρούμε ότι 60 μαθητές στους 200 προτιμούν λαϊκό τραγούδι, δηλαδή ποσοστό 30%. 40 μαθητές στους
200 προτιμούν το ροκ, δηλαδή ποσοστό 20%. 50 μαθητές στους 200 προτιμούν το δημοτικό τραγούδι, δηλαδή
ποσοστό 25%. 30 μαθητές στους 200 προτιμούν το ελαφρύ, δηλαδή ποσοστό 15%, ενώ 20 μαθητές στους 200
προτιμούν το Metal, δηλαδή ποσοστό 10%.
β) Η εταιρεία πρέπει να επενδύσει κατά σειρά προτεραιότητας στο λαϊκό, δημοτικό, ροκ, ελαφρύ και metal.

Τέτοια διαγράμματα βλέπουμε καθημερινά στις εφημερίδες και τα περιοδικά, που παρουσιάζουν τα αποτελέσματα μιας έρευνας με τρόπο πιο παραστατικό και κατανοητό.
Ας δούμε μερικά διαγράμματα που χρησιμοποιούμε πιο συχνά:
Εικονογράμματα
|
Στα εικονογράμματα χρησιμοποιούμε την εικόνα ενός αντικειμένου για να δείξουμε πόσες φορές αυτό παρουσιάζεται στην έρευνά μας.
Σ' ένα τέτοιο διάγραμμα, βέβαια, πρέπει να υπάρχει ο τίτλος που μας κατατοπίζει για το είδος και τη μεταβλητή της έρευνας, η κλίμακα που δείχνει τον αριθμό των αντικειμένων που παριστάνει η εικόνα (π.χ. στο διπλανό εικονόγραμμα, κάθε CD παριστάνει 10 μαθητές) καθώς και ο τίτλος κάθε στήλης (π.χ. λαϊκό - ροκ - δημοτικό κ.τ.λ.)
|
 |
Ραβδογράμματα
|
Στα ραβδογράμματα χρησιμοποιούμε ορθογώνια για να δείξουμε το πλήθος των μαθητών που δήλωσαν ότι προτιμούν ένα συγκεκριμένο είδος μουσικής.
Σ' ένα τέτοιο ραβδόγραμμα πρέπει, βέβαια, να υπάρχουν ο τίτλος του που μας κατατοπίζει για το είδος της έρευνας και οι τίτλοι των αξόνων.
Αυτοί οι τίτλοι αξόνων μας δείχνουν ότι ο οριζόντιος άξονας παριστάνει τα είδη της μουσικής και ο κάθετος άξονας τον αριθμό των μαθητών.
Τα ραβδογράμματα, γενικά, σχεδιάζονται εύκολα και είναι πιο ακριβή από τα εικονογράμματα.
Τα ορθογώνια ενός ραβδογράμματος μπορεί να είναι τοποθετημένα οριζόντια, όπως φαίνεται στο παρακάτω σχήμα. Πολλές φορές αντί για ορθογώνια, σχεδιάζουμε κάθετες γραμμές.
|

|
|

|
Κυκλικά διαγράμματα
Στα κυκλικά διαγράμματα μπορούμε να δούμε τι μέρος του δείγματος προτιμά κάθε είδος μουσικής.
Συγκεκριμένα, το δείγμα παριστάνεται με έναν κυκλικό δίσκο και οι τιμές της μεταβλητής με κυκλικούς τομείς διαφορετικού χρώματος.
|
|
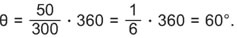
Πώς, όμως, υπολογίζουμε τη γωνία κάθε κυκλικού τομέα;
Επειδή έλαβαν μέρος στην έρευνα 200 άτομα και ο κύκλος έχει 360°, θα πρέπει τα 200 άτομα να αντιστοιχούν στις 360°.
Επομένως, τα 60 άτομα που δήλωσαν ότι προτιμούν το λαϊκό τραγούδι, θα πρέπει να αντιστοιχούν σε μία γωνία θ,
τέτοια ώστε :

Επομένως έχουμε:

Με όμοιο τρόπο υπολογίζουμε και τις υπόλοιπες γωνίες του κυκλικού διαγράμματος:
|
Για το ροκ:
|
 |
|
Για το ελαφρύ:
|
 |
Χρονογράμματα
Τα χρονογράμματα είναι διαγράμματα, τα οποία χρησιμοποιούμε για να παραστήσουμε τη χρονική εξέλιξη ενός φαινομένου.
Για παράδειγμα, αν θέλουμε να παραστήσουμε τα κέρδη μιας εταιρείας (σε χιλιάδες €) κατά τα έτη 1998 - 2004 (πίνακας 1), μπορούμε να χρησιμοποιήσουμε το παρακάτω χρονόγραμμα.
|
 |
|
|