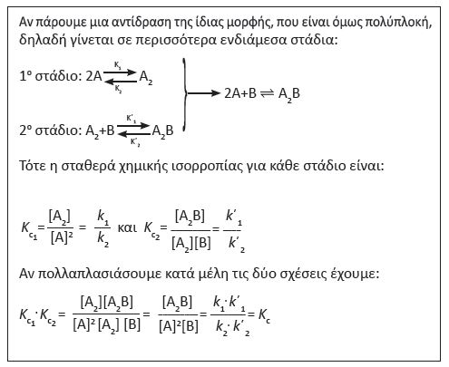
|
N2(g) + 3H2(g) ⇌ 2NH3(g)
έχουμε:
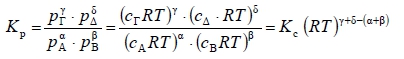
Σχέση που συνδέει την Kp με την Kc
Δίνεται η χημική εξίσωση:
α Α(g) + β B(g) ⇌ γ Γ(g) + δ Δ(g)
H Kp δίνεται από τη σχέση:

δηλαδή,
Kp = Kc(RT)Δn
όπου, Δn = γ+δ – (α+β),
Αν Δn = 0, τότε Kp = Kc Στην περίπτωση αυτή η Kc και η Kp είναι
καθαροί αριθμοί.
Προς ποια κατεύθυνση κινείται μια αντίδραση;
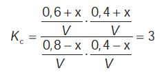
Έστω η ισορροπία: αΑ(g) + βΒ(g) ⇌ γΓ(g) + δΔ(g)
Στη θέση χημικής ισορροπίας η τιμή του κλάσματος
ισούται
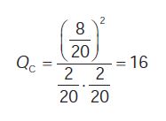
με Kc. Το παραπάνω κλάσμα, που ονομάζεται πηλίκο αντίδρασης και
συμβολίζεται με Qc, έχει τιμή διάφορο της Kc σε κατάσταση μη
ισορροπίας. Με βάση την τιμή της Qc μπορούμε να προβλέψουμε προς
ποια κατεύθυνση οδεύει μια αντίδραση (δεξιά ή αριστερά), ώστε να
αποκατασταθεί η ισορροπία. Μπορούμε δηλαδή να διακρίνουμε τις εξής
περιπτώσεις:
i) Αν Qc = Kc το σύστημα βρίσκεται σε κατάσταση ισορροπίας
ii) Αν Qc < Kc τότε η αντίδραση πηγαίνει προς τα δεξιά, ώστε η τιμή του Qc
να μεγαλώσει (μικραίνει ο παρανομαστής του κλάσματος και μεγαλώνει ο
αριθμητής). Κατ΄ αυτό τον τρόπο το σύστημα προσεγγίζει τη θέση
ισορροπίας, όπου Qc = Kc.
iii) Αν Qc > Kc, τότε η αντίδραση οδεύει προς τα αριστερά, ώστε το σύστημα
να φτάσει σε ισορροπία.
|