Χημεία (Γ Λυκείου Θετικών Σπουδών) - Βιβλίο Μαθητή (Εμπλουτισμένο)
5.3 Ιοντισμός οξέων, βάσεων και νερού - pH 5.5 Ρυθμιστικά διαλύματα Επιστροφή στην αρχική σελίδα του μαθήματος

(5.4) Επίδραση κοινού ιόντος

  • Επίδραση κοινού ιόντος έχουμε όταν σε διάλυμα ασθενούς ηλεκτρολύτη προσθέσουμε άλλο ηλεκτρολύτη (συνήθως ισχυρό) που να έχει κοινό ιόν με τον ασθενή ηλεκτρολύτη. Στην περίπτωση αυτή ο βαθμός ιοντισμού μειώνεται, λόγω μετατόπισης της ισορροπίας ιοντισμού του ασθενούς ηλεκτρολύτη προς τα αριστερά, σύμφωνα με την αρχή Le Chatelier.
Δηλαδή η ισορροπία ιοντισμού του ασθενούς οξέος ΗΑ:
ΗΑ+ Η2Ο ⇌ Η3Ο+ + Α-
μετατοπίζεται προς τα αριστερά αν, στο διάλυμα του οξέος ΗΑ προσθέσουμε Η3Ο+ (προσθήκη ισχυρού οξέος) ή Α- (προσθήκη άλατος που περιέχει ιόντα A-). Για παράδειγμα ο βαθμός ιοντισμού του ασθενούς οξέος HF ελαττώνεται με προσθήκη ισχυρού οξέος π.χ. HCl (με κοινό ιόν Η3Ο+) ή φθοριούχου άλατος π.χ. NaF (κοινό ιόν το F-), αλλά όχι με προσθήκη NaCl που δεν έχει κοινό ιόν με το ΗF. Η μελέτη των ιοντικών υδατικών διαλυμάτων στις περιπτώσεις αυτές στηρίζεται στην παρακάτω παρατήρηση:
  • Αν σε ένα διάλυμα υπάρχουν δύο ή περισσότερες ουσίες που δίνουν ένα κοινό ιόν π.χ. το Α-, τότε η συγκέντρωση ισορροπίας του Α-, που ικανοποιεί όλες τις ισορροπίες, είναι μία και μόνο. Η συγκέντρωση αυτή του Α- προκύπτει, αν προσθέσουμε όλες τις συγκεντρώσεις των Α- στο διάλυμα, από όπου και αν αυτές προέρχονται.

Παράδειγμα 5.11
Ποιος είναι ο βαθμός ιοντισμού του ΗF:
α) Σε διάλυμα HF 1 M;
β) Σε διάλυμα που περιέχει HF 1Μ και NaF 1 Μ;
γ) Να βρεθεί το pH των δύο προηγούμενων διαλυμάτων.
Δίνεται: Ka HF = 10-4
ΛΥΣΗ
α) Για το πρώτο διάλυμα έχουμε:
α1 = 10-2 και [Η3O+] = 10-2 Μ
β) Στο δεύτερο διάλυμα, το NaF ως ιοντική ένωση διίσταται πλήρως:
NaF → Na+ + F-
1 M δίνουν 1 Μ 1 Μ
Στη συνέχεια γράφουμε τον ιοντισμό του HF παρουσία του κοινού ιόντος F-.
ιοντισμός HF + Η2Ο ⇌ H3Ο+ + F-
αρχικά / Μ
ιοντίζονται – παράγονται / Μ
1
x

x
1
x
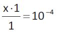
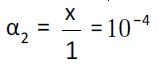
ισορροπία / Μ 1-x x 1+x

εικόνα
Θεωρούμε 1 – x ≈ 1 και 1 + x ≈ 1 και από την εικόνα ή x = 10-4, άρα εικόνα και [Η3Ο+] = 10-4 Μ
Παρατηρούμε ότι η συγκέντρωση F- που αναγράφεται στην κατάσταση ισορροπίας είναι η συνολική συγκέντρωση, που προκύπτει από τη διάσταση ή ιοντισμό όλων των ηλεκτρολυτών. Επίσης παρατηρούμε ότι ο βαθμός ιοντισμού του HF ελαττώθηκε από 10-2 σε 10-4, λόγω του κοινού ιόντος F-.
γ. Το pH του πρώτου διαλύματος είναι 2 και του δευτέρου 4.

Εφαρμογή
Ποια είναι η συγκέντρωση ΟΗ- διαλύματος ΝΗ3 0,1 Μ και ΝΗ4Cl 0,02 Μ, αν δίνεται Kb NH3 = 2 10-5;

( pH =10 )


Παράδειγμα 5.12
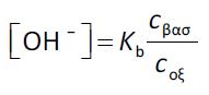
Να δείξετε ότι σε διάλυμα που περιέχει ασθενές οξύ ΗΑ με συγκέντρωση cοξ Μ και τη συζυγή βάση αυτού Α- με συγκέντρωση cβασ Μ η συγκέντρωση των Η3Ο+ δίνεται από τον τύπο:
εικόνα
με την προϋπόθεση ότι έχουμε [Η3Ο+] οξ. και [Η3Ο+] βασ.

ΑΠΑΝΤΗΣΗ
Γράφουμε την αντίδραση ιοντισμού του οξέος και συμπληρώνουμε τον πίνακα
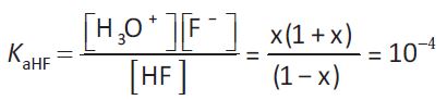
ιοντισμός HA + Η2Ο ⇌ H3Ο+ + A-
αρχικά / Μ
ιοντίζονται – παράγονται / Μ
c
x

x
cβασ
x
ισορροπία / Μ cx x cβασ+x
εικόνα
Θεωρούμε cοξ – x ≈ cοξ και cβασ – x ≈ cβασ και καταλήγουμε:
εικόνα
Εφαρμογή
Να αποδειχθεί ότι σε διάλυμα που περιέχει ασθενή βάση Β συγκέντρωσης cβασ M και το συζυγές του οξύ BΗ+ cοξ M, η συγκέντρωση των ΟΗ- δίνεται από τη σχέση:
εικόνα
με την προϋπόθεση ότι ισχύει [ΟΗ-] βασ και [ΟΗ-] οξ.

Παράδειγμα 5.13
Σε 4 L διαλύματος NaOH 0,2 Μ προσθέτουμε 1 L διαλύματος HCl 0,3 Μ και παίρνουμε 5 L διαλύματος. Ποιο είναι το pH του διαλύματος ;
ΛΥΣΗ
Κατά την ανάμιξη γίνεται η μονόδρομη αντίδραση:
HCl + NaOH → NaCl + H2O
Υπολογίζουμε τις ποσότητες των διαλυμένων ουσιών. Τα 4 L διαλύματος NaOH 0,2 Μ περιέχουν 0,8 mol NaOH. To 1 L διαλύματος HCl 0,3 Μ περιέχει 0,3 mol HCl. Οπότε, έχουμε:
αντίδραση NaOH + HCl → NaCl + H2O
αρχικά / mol
αντιδρούν - παράγονται/ mol
0,8
0,3
0,3
0,3

0,3
 
τελικά / mol 0,5 - 0,3  

To NaCl που σχηματίζεται, όπως όλα τα άλατα που προκύπτουν από εξουδετέρωση ισχυρού οξέος με ισχυρή βάση, δεν επηρεάζει τις [Η3Ο+].
Στο τελικό διάλυμα έχουμε: εικόνα και
Το NaOH διίσταται πλήρως:
NaOH → Na+ + OH-
0,1 M δίνει 0,1 Μ 0,1 Μ
Συνεπώς, [ΟΗ-] = 0,1Μ ή [Η3Ο+] = 10-13 Μ και pH = 13.

Εφαρμογή
Σε 1 L διαλύματος ΗΝΟ3 0,1Μ (διάλυμα Α) προσθέτουμε 0,5 L διαλύματος NaOH 0,1 Μ (διάλυμα Β) και παίρνουμε 1,5 L διαλύματος. Να υπολογιστούν:
α. Το pH του διαλύματος Α.
β. Το pH του διαλύματος Β.
γ. Η συγκέντρωση των Η3Ο+ στο τελικό διάλυμα.
Δίνεται Kw = 10-14.

( α. pH = 1 β. pH = 13 γ. [Η3Ο+] = 0,033 Μ )