Αρχές Οικονομικής Θεωρίας (Γ Λυκείου) - Βιβλίο Μαθητή
8: ΤΟ ΤΡΑΠΕΖΙΚΟ ΣΥΣΤΗΜΑ 10: ΤΑ ΔΗΜΟΣΙΑ ΟΙΚΟΝΟΜΙΚΑ Επιστροφή στην αρχική σελίδα του μαθήματος
ΚΕΦΑΛΑΙΟ ΕΝΑΤΟ

1. Εισαγωγή

Η οικονομία δεν είναι ποτέ στάσιμη. Όλα τα σημαντικά μεγέθη της, όπως το επίπεδο του εισοδήματος, της απασχόλησης, της ανεργίας, των τιμών, των εξαγωγών, κ.τ.λ. μεταβάλλονται διαχρονικά. Στο κεφάλαιο αυτό εξετάζουμε τις διαχρονικές μεταβολές στο επίπεδο της παραγωγής, του εισοδήματος, των τιμών και της ανεργίας.

2. Οικονομικές διακυμάνσεις

Αν παρατηρήσουμε τα στοιχεία μιας οικονομίας για μεγάλες χρονικές περιόδους, θα δούμε ότι η παραγωγή, το εισόδημα και η απασχόληση, δηλ. γενικά η οικονομική δραστηριότητα άλλοτε αυξάνεται γρήγορα, άλλοτε αργά και άλλοτε μειώνεται. Οι μεταβολές αυτές ονομάζονται οικονομικές διακυμάνσεις ή οικονομικοί κύκλοι και παρουσιάζουν μια συστηματική κυκλικότητα. Βέβαια, παρότι οι οικονομικοί κύκλοι επαναλαμβάνονται, δεν είναι ίδιοι ως προς την ένταση και τη διάρκειά τους. Τα στάδια από τα οποία περνάει η οικονομία στη διάρκεια του κύκλου έχουν κοινά χαρακτηριστικά και ονομάζονται συνήθως φάσεις του οικονομικού κύκλου.

Οι φάσεις του κύκλου και τα χαρακτηριστικά τους

Μια απλοποιημένη εικόνα του οικονομικού κύκλου δίνεται στο διάγραμμα 9.1. Στον κάθετο άξονα μετρούμε το επίπεδο της οικονομικής δραστηριότητας, για παράδειγμα, το επίπεδο του εισοδήματος, και στον οριζόντιο το χρόνο (έτη). Η γραμμή ΑΒ παριστάνει τη μακροχρόνια ανοδική τάση της οικονομίας και κάνει πιο φανερή την έννοια των διακυμάνσεων που παριστάνει η γραμμή ΚΓΔΕΖΚ'.

Υπάρχουν δύο κύριες φάσεις από τις οποίες διέρχεται η οικονομία στη διάρκεια ενός οικονομικού κύκλου: η φάση της ανόδου ή της άνθησης και η φάση της καθόδου ή της ύφεσης. Η μετάβαση από την άνοδο στην κάθοδο και αντίστροφα δε γίνεται αμέσως ή απότομα, αλλά απαιτεί χρόνο. Επίσης περνάει από τη φάση της κρίσης που είναι η κορυφή του κύκλου. Στο διάγραμμα 9.1 η φάση της κρίσης είναι η περιοχή γύρω από το ανώτατο σημείο Γ ή Ε. Η μετάβαση από την κάθοδο στην άνοδο περνάει από τη φάση της ύφεσης, που είναι απλά ο "πυθμένας" του κύκλου και είναι η περιοχή γύρω από το κατώτερο σημείο Δ ή Ζ. (Διαγρ. 9.1 στην επόμενη σελίδα).

Διάγραμμα 9.1 Οι φάσεις του οικονομικού κύκλου

pic91

Ας δούμε τώρα τα σπουδαιότερα χαρακτηριστικά κάθε φάσης

α) Η φάση της ύφεσης

Η φάση της ύφεσης χαρακτηρίζεται από εκτεταμένη ανεργία, έλλειψη επενδύσεων και ανεπαρκή ζήτηση καταναλωτικών αγαθών. Αυτό σημαίνει ότι οι επιχειρήσεις που παράγουν τόσο καταναλωτικά όσο και κεφαλαιουχικά αγαθά έχουν αχρησιμοποίητη ή πλεονάζουσα παραγωγική δυναμικότητα. Η παραγωγή και τα εισόδημα βρίσκονται στο χαμηλότερο επίπεδό τους. Οι τιμές, αν δε μειώνονται, τουλάχιστον δεν αυξάνονται ή αυξάνονται ελάχιστα και τα κέρδη των επιχειρήσεων είναι χαμηλά. Μάλιστα, πολλές επιχειρήσεις μπορεί να έχουν ζημιές αντί για κέρδη. Το γενικό επιχειρηματικό κλίμα δεν είναι ευνοϊκό για την ανάληψη επενδύσεων και επικρατεί απαισιοδοξία για το μέλλον.

Η ένταση των παραπάνω φαινομένων διαφέρει από κύκλο σε κύκλο. Όσο πιο έντονα είναι τα συμπτώματα αυτά, τόσο πιο βαθιά είναι η ύφεση. Τέτοια ήταν η μεγάλη ύφεση του 1930 που συντάραξε τις προηγμένες καπιταλιστικές χώρες και κυρίως τις ΗΠΑ.

β) Η φάση της ανόδου ή άνθησης

Η φάση της ύφεσης θα τελειώσει κάποτε. Ανεξάρτητα από την αιτία που την ανακόπτει, κατά τη φάση της άνθησης παρατηρούμε αύξηση της παραγωγής, του εισοδήματος και της απασχόλησης. Η αύξηση της παραγωγής είναι εύκολη, γιατί υπάρχει πλεονάζουσα παραγωγική ικανότητα και γενικά υποαπασχολούμενοι παραγωγικοί συντελεστές. Καθώς αυξάνεται η συνολική ζήτηση και η παραγωγή, αυξάνονται και τα κέρδη και αυτό δημιουργεί ευνοϊκό κλίμα για επενδύσεις. Στην αρχή η αύξηση της παραγωγής δε συνοδεύεται από την αύξηση των τιμών, γιατί, όπως είπαμε και πιο πάνω, υπάρχουν αχρησιμοποίητοι ή αργούντες παραγωγικοί συντελεστές. Καθώς όμως αυξάνεται η συνολική ζήτηση και αυξάνεται η απασχόληση των παραγωγικών συντελεστών αρχίζουν να εμφανίζονται και οι πρώτες αυξήσεις των τιμών..

γ) Η φάση της κρίσης

Η τάση για αύξηση των τιμών είναι πιο έντονη, καθώς η οικονομία πλησιάζει το επίπεδο της πλήρους απασχόλησης. Αρχίζουν τώρα να εμφανίζονται "στενότητες", δηλ. ελλείψεις, αρχικά σε ορισμένες κατηγορίες εξειδικευμένης εργασίας και αργότερα σε εργατικό δυναμικό γενικά. Η αύξηση της παραγωγής γίνεται δυσκολότερη, το κόστος αυξάνεται και η αύξηση των τιμών γενικεύεται. Η οικονομία βρίσκεται στην κορυφή του κύκλου, δηλαδή στο τελευταίο στάδιο της ανοδικής της πορείας.

Σε αυτό το στάδιο η οικονομία είναι πιο ευαίσθητη και περισσότερο ευάλωτη στους διάφορους παράγοντες που μπορούν να ανακόψουν την ανοδική πορεία της. Αν αυτό συμβεί, τότε επέρχεται κρίση, η οικονομία έχει ξεπεράσει το ανώτατο σημείο και εισέρχεται στη φάση της καθόδου.

δ) Η φάση της καθόδου

Τα φαινόμενα που παρατηρούνται στη φάση της καθόδου είναι τα αντίθετα απ' αυτά που συναντάμε στην ανοδική πορεία της οικονομίας: μείωση της κατανάλωσης, στασιμότητα ή μείωση των επενδύσεων, μείωση του εισοδήματος και της απασχόλησης. Όπως αναφέραμε και πιο πάνω, οι κύκλοι διαφέρουν τόσο ως προς τη διάρκειά τους όσο και ως προς την έκταση των φαινομένων που παρατηρούνται. Έτσι, άλλες φορές η φάση της καθόδου τελειώνει γρήγορα, οπότε η οικονομία ξαναρχίζει την ανοδική πορεία σχετικά ανώδυνα, και άλλες φορές οδηγεί σε παρατεταμένη ύφεση με όλα τα συμπτώματα που περιγράψαμε πιο πάνω.

Τα αίτια των οικονομικών κύκλων

Περιγράψαμε σε γενικές γραμμές τα σπουδαιότερα χαρακτηριστικά των διάφορων φάσεων από τις οποίες διέρχεται μια οικονομία στη διάρκεια ενός οικονομικού κύκλου, αλλά δεν αναφέραμε τα αίτια που προκαλούν την εμφάνιση των κύκλων. Οι οικονομολόγοι ανάπτυξαν διάφορες θεωρίες στην προσπάθεια τους να κατανοήσουν και να ερμηνεύσουν το φαινόμενο των οικονομικών διακυμάνσεων. Άλλες θεωρίες εντοπίζουν τη γενεσιουργό αιτία σε εξωτερικούς παράγοντες, όπως οι εφευρέσεις με τεχνολογικές και οικονομικές εφαρμογές ή οι πόλεμοι και άλλα πολιτικά και τυχαία συμβάντα. Ορισμένες θεωρίες τονίζουν παράγοντες που προέρχονται μέσα από το ίδιο το οικονομικό σύστημα. Στην κατηγορία αυτή ανήκουν οι θεωρίες που θεωρούν τον κύκλο καθαρά νομισματικό φαινόμενο, δηλαδή αποτέλεσμα της κακής διαχείρισης της προσφοράς χρήματος από τις νομισματικές αρχές, όπως επίσης και οι θεωρίες της υποκατανάλωσης ή υπερεπένδυσης. Δε θα εξετάσουμε περισσότερο τις θεωρίες ερμηνείας των επιχειρηματικών κύκλων, γιατί η συστηματική ανάπτυξή τους ξεφεύγει από τα όρια αυτού του βιβλίου. Μπορούμε όμως να αναφέρουμε ότι το κλειδί για την κατανόηση των οικονομικών κύκλων είναι η εξέλιξη του ποσοστού του κέρδους, από το οποίο εξαρτάται η επενδυτική δραστηριότητα των επιχειρήσεων.

3. Ο πληθωρισμός

Ένα από τα σοβαρότερα προβλήματα που αντιμετώπιζαν τα τελευταία χρόνια οι περισσότερες από τις ανεπτυγμένες οικονομίες, και το οποίο ορισμένες αντιμετωπίζουν ακόμη, είναι το πρόβλημα του πληθωρισμού. Ως πληθωρισμός ορίζεται η τάση για συνεχή άνοδο του γενικού επιπέδου των τιμών.

Συνεπώς, πληθωρισμός δε σημαίνει ένα υψηλό επίπεδο τιμών, αλλά ένα συνεχώς ανερχόμενο επίπεδο τιμών. Η ποσοστιαία μεταβολή του επιπέδου των τιμών (ή του δείκτη τιμών) μέσα σε μια ορισμένη χρονική περίοδο ονομάζεται ρυθμός πληθωρισμού. Έτσι, όταν λέμε ότι ο ρυθμός πληθωρισμού είναι 5%, εννοούμε ότι το επίπεδο των τιμών του τρέχοντος έτους είναι 5% υψηλότερο από αυτό του προηγούμενου έτους.

Οι συνέπειες του πληθωρισμού

Ο πληθωρισμός είναι ένα φαινόμενο που διαταράσσει την ομαλή λειτουργία του οικονομικού συστήματος και ασκεί σημαντικές επιδράσεις σε όλους τους τομείς της οικονομίας. Δεν θα εξετάσουμε λεπτομερώς τις επιπτώσεις του πληθωρισμού, γιατί κάτι τέτοιο θα ξεπερνούσε το επίπεδο ανάλυσης αυτού του βιβλίου. Θα αναφερθούμε, όμως, στις δυσμενείς επιπτώσεις που έχει ο πληθωρισμός στη διανομή τους εισοδήματος.

Το πραγματικόεισόδημα ενός ατόμου ή μιας οικονομίας εξαρτάται από το ονομαστικό, δηλαδή το χρηματικό εισόδημα, και από το επίπεδο των τιμών, επειδή:

pic92

Όταν αυξάνεται το επίπεδο των τιμών, το πραγματικό εισόδημα μειώνεται και αντίστροφα. Ας δούμε ποιους πλήττει και ποιους ευνοεί ο πληθωρισμός.

α) Σταθερά χρηματικά εισοδήματα

Είναι φανερό ότι ο πληθωρισμός πλήττει όλα τα άτομα που το χρηματικό τους εισόδημα είναι σταθερό ή αυξάνεται με ρυθμό μικρότερο από το ρυθμό του πληθωρισμού, γιατί σε αυτήν την περίπτωση μειώνεται το πραγματικό τους εισόδημα και, κατά συνέπεια, το βιοτικό τους επίπεδο. Τα άτομα αυτά είναι οι συνταξιούχοι, οι μισθωτοί και γενικά οι υπάλληλοι, που ο μισθός τους δεν αναπροσαρμόζεται συχνά. Αντίθετα, ο πληθωρισμός ευνοεί, ή τουλάχιστον δεν πλήττει, τα άτομα που το εισόδημά τους προέρχεται από κέρδη, γιατί τα κέρδη συνήθως αυξάνονται μαζί με τον πληθωρισμό. Αξίζει να σημειώσουμε ότι πολλές κατηγορίες μισθωτών μπορεί να προφυλάσσονται από τον πληθωρισμό με ρήτρες για αυτόματη τιμαριθμική αναπροσαρμογή (ΑΤΑ). Αυτό σημαίνει ότι το συμβόλαιο εργασίας περιλαμβάνει κι έναν όρο (ρήτρα) για αυτόματη αύξηση των αποδοχών ίση με το ρυθμό του πληθωρισμού. Σε αυτήν την περίπτωση δεν επέρχεται μείωση της αγοραστικής δύναμης.

β) Αποταμιευτές

Ο πληθωρισμός μειώνει την αξία των αποταμιεύσεων. Τα άτομα που πλήττονται περισσότερο είναι οι μικροί αποταμιευτές που δεν έχουν τη δυνατότητα έγκαιρης και ασφαλούς επένδυσης των χρημάτων τους. Είναι φανερό ότι ο πληθωρισμός αποτελεί αντικίνητρο για αποταμίευση. Έτσι, σε περιόδους έντονου πληθωρισμού αυξάνεται η κατανάλωση και μειώνεται η αποταμίευση.

γ) Δανειστές και χρεώστες

Ο πληθωρισμός τείνει να ευνοεί αυτούς που δανείζονται και να ζημιώνει αυτούς που δανείζουν. Παράδειγμα: Έστω ότι ένας δανείζεται 100 ΕΥΡΩ για ένα χρόνο με επιτόκιο 10%. Αν στο τέλος του έτους που θα πρέπει να εξοφληθεί το δάνειο το επίπεδο των τιμών έχει αυξηθεί κατά 25%, τότε η πραγματική αξία των 100 ΕΥΡΩ που επιστρέφονται είναι pic93 ΕΥΡΩ. Αν λάβουμε υπόψη και τον τόκο, τότε ο δανειστής παίρνει 110 ΕΥΡΩ, των οποίων η πραγματική αξία είναι pic94 Στην ουσία έχει γίνει μεταβίβαση αγοραστικής δύναμης από τον πιστωτή στο χρεώστη, ποσού 22 ΕΥΡΩ (110-88).

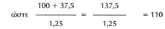
Θα πρέπει να σημειώσουμε ότι η παραπάνω μεταβίβαση αγοραστικής δύναμης από τους πιστωτές στους χρεώστες πραγματοποιείται μόνο, αν δεν αναμένεται ή δεν προβλέπεται πληθωρισμός. Αν, όμως, ο πληθωρισμός είναι αναμενόμενος, που είναι και η συνήθης περίπτωση, τότε μπορεί να ληφθεί υπόψη στον καθορισμό του επιτοκίου. Έτσι, αν στο παράδειγμά μας το επιτόκιο αυξηθεί κατά το ρυθμό του πληθωρισμού, δηλαδή γίνει 35% ο πιστωτής στο τέλος του έτους θα πάρει 135 ευρώ των οποίων η πραγματική αξία θα είναι 108 ευρώ. Άρα το επιτόκιο καλύπτει τουλάχιστον το ρυθμό πληθωρισμού. Αν ο δανειστής ήθελε να πάρει στο τέλος του χρόνου 110 ευρώ σε σταθερές τιμές, τότε το επιτόκιο πρέπει να γίνει 37,5%.

pic95

Τα αίτια του πληθωρισμού

Οι οικονομολόγοι διακρίνουν διάφορα είδη πληθωρισμού που αντιστοιχούν σε διαφορετικές απόψεις για τα αίτια που τον προκαλούν. Θα δώσουμε τα βασικά σημεία των δύο πιο σημαντικών απόψεων που αναφέρονται στον πληθωρισμό ζήτησης και στον πληθωρισμό κόστους.

α) Πληθωρισμός ζήτησης

Κατά την άποψη αυτή ο πληθωρισμός είναι αποτέλεσμα υπερβάλλουσας ζήτησης. Όπως αναφέραμε προηγουμένως, καθώς η οικονομία πλησιάζει το επίπεδο της πλήρους απασχόλησης, αρχίζουν να δημιουργούνται στενότητες στην αγορά ορισμένων παραγωγικών συντελεστών, με συνέπεια την αύξηση της τιμής τους. Η αύξηση της τιμής των παραγωγικών συντελεστών προκαλεί αύξηση του κόστους παραγωγής και, επομένως, αύξηση της τιμής των προϊόντων. Όταν η οικονομία φτάσει στο επίπεδο της πλήρους απασχόλησης, παραπέρα αύξηση της συνολικής ζήτησης είναι εξ ορισμού πληθωριστική, εφόσον δεν αυξάνεται η παραγωγή.

β) Πληθωρισμός κόστους

Η άποψη ότι ο πληθωρισμός είναι αποτέλεσμα υπερβάλλουσας ζήτησης δεν εξηγεί γιατί υπάρχει πληθωρισμός και σε περιόδους χαμηλής σχετικά ζήτησης, δηλαδή σε περιόδους ανεργίας και μείωσης του εισοδήματος. Ο πληθωρισμός κόστους τονίζει το ρόλο των εργατικών σωματείων και τη δύναμη των ολιγοπωλίων. Σύμφωνα με τη θεωρία αυτή, τα εργατικά σωματεία ή, ορισμένα απ' αυτά έχουν αρκετή δύναμη, ώστε να μπορούν να πετυχαίνουν αυξήσεις των μισθών και ημερομισθίων, ακόμα και όταν υπάρχει ανεργία. Από τη μεριά τους τα μεγάλα μονοπώλια και ολιγοπώλια έχουν αρκετή δύναμη στην αγορά, ώστε να μεταβιβάζουν τις αυξήσεις του κόστους, που προκαλούνται από την αύξηση των εργατικών μισθών, στους αγοραστές αυξάνοντας την τιμή του προϊόντος. Πολλά, όμως, από τα προϊόντα αυτά αποτελούν πρώτη ύλη για την παραγωγή άλλων αγαθών, που σημαίνει αύξηση του κόστους και της τιμής τους. Κατ' αυτόν τον τρόπο η αρχική αύξηση του κόστους σε ορισμένους κλάδους διαχέεται σε ολόκληρη την οικονομία, με αποτέλεσμα, την αύξηση του γενικού επιπέδου των τιμών.

Είναι φανερό ότι η παραπάνω διαδικασία μπορεί να ξεκινήσει τόσο από τα εργατικά σωματεία (αύξηση μισθών) όσο και από τις επιχειρήσεις (αύξηση κερδών). Στον πληθωρισμό κόστους ανήκει φυσικά και η περίπτωση που η αύξηση του κόστους προέρχεται από την αύξηση της τιμής ορισμένων βασικών πρώτων υλών και ενέργειας, κυρίως της τιμής του πετρελαίου. Η αύξηση της τιμής του πετρελαίου που πέτυχαν κατά το 1973 και 1979 οι χώρες του ΟΠΕΚ (OPEC) είναι χαρακτηριστικό παράδειγμα πληθωρισμού κόστους.

Στασιμοπληθωρισμός

Σε παλαιότερες περιόδους ο πληθωρισμός και η ανεργία ήταν φαινόμενα που δεν μπορούσαν να παρατηρηθούν ταυτόχρονα. Σε περιόδους άνθησης παρατηρούσαμε αύξηση των τιμών, αλλά ταυτόχρονα οικονομική ανάπτυξη και μείωση της ανεργίας. Σε περιόδους ύφεσης παρατηρούσαμε κάμψη της οικονομικής δραστηριότητας και αύξηση της ανεργίας, αλλά ταυτόχρονα πτώση του πληθωρισμού. Με άλλα λόγια ο πληθωρισμός και η ανεργία παρουσίαζαν αντίθετες μεταβολές. Μετά το 1965 οι αναπτυγμένες οικονομίες παρουσιάζουν διαφορετική συμπεριφορά. Ανεργία και πληθωρισμός συνυπάρχουν ή ακόμη μπορεί να αυξάνονται ταυτόχρονα. Το φαινόμενο αυτό ονομάστηκε στασιμοπληθωρισμός, γιατί παρατηρείται πληθωρισμός και ταυτόχρονα η οικονομία βρίσκεται σε κατάσταση στασιμότητας και ανεργίας. Η ανάλυση του στασιμοπληθωρισμού δεν μπορεί να γίνει στα πλαίσια αυτού του βιβλίου.

4. Ανεργία

Κάθε οικονομία έχει ένα ορισμένο μέγεθος πληθυσμού. Για λόγους οικονομικής ανάλυσης ο πληθυσμός διακρίνεται σε οικονομικά ενεργό και σε οικονομικά μη ενεργό. Ο οικονομικά ενεργός πληθυσμός αποτελεί το εργατικό δυναμικό της οικονομίας και περιλαμβάνει τα άτομα εκείνα τα οποία είναι ικανά προς εργασία και ταυτόχρονα θέλουν να εργαστούν. Τα άτομα εκείνα τα οποία δεν μπορούν να εργαστούν, για παράδειγμα, μικρά παιδιά, ηλικιωμένοι, ασθενείς, στρατιώτες κλπ., δεν ανήκουν στο εργατικό δυναμικό. Επίσης άτομα τα οποία μπορούν να εργαστούν, αλλά για διάφορους λόγους δε θέλουν, για παράδειγμα, τεμπέληδες, δεν ανήκουν στο εργατικό δυναμικό. Συνεπώς, τα άτομα τα οποία δεν μπορούν ή δε θέλουν να εργαστούν αποτελούν τον οικονομικά μη ενεργό πληθυσμό.

Το εργατικό δυναμικό χωρίζεται σε δυο κατηγορίες, σ' εκείνους οι οποίοι εργάζονται και ονομάζονται απασχολούμενοι και σ' εκείνους οι οποίοι δεν εργάζονται και είναι άνεργοι. Με βάση τις παραπάνω διακρίσεις μπορούμε να δώσουμε τους εξής ορισμούς:

Εργατικό δυναμικό είναι το σύνολο των ατόμων τα οποία μπορούν και θέλουν να εργαστούν.

Απασχολούμενοι είναι τα άτομα τα οποία εργάζονται (φυσικά εξ ορισμού θέλουν και μπορούν να εργαστούν).

Άνεργοι είναι τα άτομα τα οποία μπορούν και θέλουν να εργαστούν, αλλά δεν μπορούν να βρουν απασχόληση.

Είναι φανερό ότι το άθροισμα των απασχολουμένων και των ανέργων είναι ίσο προς το εργατικό δυναμικό.

Μέτρηση της Ανεργίας

Το μέγεθος της ανεργίας μπορεί να μετρηθεί ως απόλυτο μέγεθος, για παράδειγμα, χιλιάδες άνεργοι. Η σημασία όμως του αριθμού αυτού εξαρτάται από το μέγεθος του εργατικού δυναμικού. Γι' αυτό η ανεργία μετράται ως ποσοστό επί τοις εκατό (%) του εργατικού δυναμικού, για παράδειγμα, 8%. Συγκεκριμένα:

pic96

Το ποσοστό της ανεργίας μπορεί να διαφέρει από περίοδο σε περίοδο, καθώς μεταβάλλεται το απόλυτο μέγεθος της ανεργίας ή του εργατικού δυναμικού ή και των δύο (αλλά με διαφορετικό ρυθμό).

Είδη ανεργίας

Υπάρχουν τέσσερα είδη ή κατηγορίες ανεργίας: η εποχιακή ανεργία, η ανεργία τριβής, η διαρθρωτική ανεργία και η ανεργία λόγω ανεπαρκούς ζήτησης (ή κεϋνσιανή ανεργία).

Εποχιακή ανεργία: Πολλές επιχειρήσεις, όπως, για παράδειγμα, οι αγροτικές και οι τουριστικές, παρουσιάζουν συστηματικές μεταβολές στην παραγωγική τους δραστηριότητα κατά τη διάρκεια του έτους. Οι μεταβολές της παραγωγής συνοδεύονται από αντίστοιχες μεταβολές της απασχόλησης εργατικού δυναμικού και, συνεπώς, από μεταβολές της ανεργίας. Αυτή η ανεργία ονομάζεται εποχιακή. Χαρακτηριστικό της εποχιακής ανεργίας είναι ότι επαναλαμβάνεται κάθε χρόνο και είναι προσωρινή και μικρής σχετικά διάρκειας.


Ανεργία τριβής: Ανεργία τριβής είναι εκείνη η οποία οφείλεται στην αδυναμία της αγοράς εργασίας να απορροφήσει άμεσα ανέργους, παρότι υπάρχουν κενές θέσεις εργασίας, για τις οποίες οι άνεργοι έχουν τα απαραίτητα προσόντα και επαγγελματική εξειδίκευση. Η ανεργία τριβής οφείλεται στην αδυναμία των εργατών να εντοπίζουν αμέσως τις επιχειρήσεις με τις κενές θέσεις και στην αδυναμία των επιχειρήσεων να εντοπίσουν τους άνεργους εργάτες. Επίσης μπορεί να οφείλεται στη γεωγραφική απόσταση μεταξύ της περιοχής όπου υπάρχει ανεργία και αυτής όπου υπάρχουν κενές θέσεις εργασίας. Γενικότερα οφείλεται στην έλλειψη ενός αποτελεσματικού συστήματος πληροφοριών για ύπαρξη ανέργων και επιχειρήσεων με κενές θέσεις εργασίας.


Διαρθρωτική ανεργία: Όταν σε μια οικονομία υπάρχουν άνεργοι και κενές θέσεις εργασίας, αλλά οι άνεργοι δεν μπορούν να απασχοληθούν στις υπάρχουσες κενές θέσεις, επειδή υπάρχει αναντιστοιχία ανάμεσα στα προσόντα και την ειδίκευση των ανέργων και σ' αυτά που απαιτούνται για την κάλυψη των κενών θέσεων, η ανεργία αυτή ονομάζεται διαρθρωτική. Για παράδειγμα, είναι δυνατόν σε μια οικονομία να υπάρχει ανεργία μηχανικών και έλλειψη λογιστών, ή να υπάρχει ανεργία για τους βιομηχανικούς εργάτες και έλλειψη ξενοδοχειακών υπαλλήλων. Η διαρθρωτική ανεργία οφείλεται σε τεχνολογικές μεταβολές, οι οποίες δημιουργούν νέα επαγγέλματα και αχρηστεύουν άλλα, και σε αλλαγές στη διάρθρωση της ζήτησης, οι οποίες αυξάνουν τη ζήτηση ορισμένων προϊόντων και ταυτόχρονα μειώνουν τη ζήτηση άλλων. Όπως είναι φανερό, η διαρθρωτική ανεργία δημιουργείται από τη δυσαναλογία προσφοράς και ζήτησης των διάφορων ειδικεύσεων. Η μείωσή της απαιτεί επανεκπαίδευση των ανέργων, ώστε να αποκτήσουν τις ειδικεύσεις στις οποίες υπάρχει έλλειψη. Διαφορετικά, η διαρθρωτική ανεργία μπορεί να είναι μεγάλης διάρκειας


Ανεργία Ανεπαρκούς Ζήτησης: Η ανεργία λόγω ανεπαρκούς ζήτησης, ονομαζόμενη και κεϋνσιανή ανεργία, είναι εκείνη που προέρχεται από την πτώση της οικονομικής δραστηριότητας στις φάσεις της καθόδου και της ύφεσης του οικονομικού κύκλου. Πρόκειται, δηλαδή, για αδυναμία της συνολικής ζήτησης της οικονομίας να απορροφήσει τη συνολική προσφορά εργατικού δυναμικού. Η ανεργία αυτή έχει κυκλικό χαρακτήρα, δηλαδή επαναλαμβάνεται, και η διάρκεια της εξαρτάται από τη διάρκεια του οικονομικού κύκλου.


Συνέπειες της ανεργίας

Η ανεργία έχει τρεις βασικές οικονομικές συνέπειες. Πρώτον: Αποτελεί απώλεια παραγωγικών δυνάμεων, δηλαδή της εργασίας των ανέργων, η οποία θα μπορούσε να χρησιμοποιηθεί στην παραγωγική διαδικασία. Δεύτερον: Σημαίνει απώλεια εισοδήματος για τον άνεργο και την οικογένεια του. Τρίτον: Επιβαρύνει τον κρατικό προϋπολογισμό, λόγω της παροχής των επιδομάτων ανεργίας προς τους ανέργους.

Φυσικά οι συνέπειες της ανεργίας είναι ευρύτερες, γιατί η κατάσταση της ανεργίας μπορεί να είναι εξαιρετικά επώδυνη για τον άνεργο και την οικογένεια του αφού, εκτός από την έλλειψη εισοδήματος, μειώνει την κοινωνική του θέση, δημιουργεί προβλήματα αυτοσεβασμού, οικογενειακών τριβών, κ.τ.λ. Με άλλα λόγια, πέρα από τις οικονομικές συνέπειες, η ανεργία δημιουργεί σοβαρά κοινωνικά προβλήματα.

Καταπολέμηση της ανεργίας

Η καταπολέμηση, δηλαδή η εξαφάνιση ή η μείωση, της ανεργίας είναι εξαιρετικά δύσκολη. Αυτό φαίνεται και από την εμπειρική παρατήρηση. Σε πολλές ευρωπαϊκές χώρες τα τελευταία δέκα χρόνια το ποσοστό ανεργίας υπερβαίνει το 10%. Στην Ελλάδα, σύμφωνα με τα επίσημα στοιχεία, το ποσοστό ανεργίας τα τελευταία πέντε χρόνια είναι γύρω στο 10%.

Τα μέτρα που παίρνουν οι διάφορες κυβερνήσεις για την καταπολέμηση της ανεργίας είναι δύο γενικών κατηγοριών, δηλαδή μέτρα αύξησης της συνολικής ζήτησης και μέτρα επαγγελματικής κατάρτισης και επανεκπαίδευσης του εργατικού δυναμικού. Τα μέτρα αύξησης της συνολικής ζήτησης είναι δημοσιονομικά και νομισματικά. Τα δημοσιονομικά μέτρα περιλαμβάνουν κυρίως αύξηση των κρατικών δαπανών για δημόσια έργα και προώθηση μεγάλων επενδυτικών έργων. Σκοπός αυτών των μέτρων είναι η άμεση αύξηση της απασχόλησης και των εισοδημάτων. Τα νομισματικά μέτρα αποβλέπουν στη μείωση του επιτοκίου, με σκοπό την ενίσχυση των ιδιωτικών επενδύσεων, της παραγωγής και, συνεπώς, της απασχόλησης. Τα δημοσιονομικά και νομισματικά μέτρα αποβλέπουν στην αύξηση της συνολικής ζήτησης και, συνεπώς, στη μείωση της ανεργίας που οφείλεται σ' ανεπάρκεια της ζήτησης, δηλ. της κεϋνσιανής ανεργίας.

Τα μέτρα επαγγελματικής κατάρτισης και επανεκπαίδευσης έχουν σκοπό να διευκολύνουν τους ανέργους στην απόκτηση επαγγελματικών γνώσεων και ειδικεύσεων, οι οποίες είναι απαραίτητες ή χρήσιμες, προκειμένου να απασχοληθούν στις υπάρχουσες κενές θέσεις εργασίας. Είναι φανερό ότι τα μέτρα αυτά έχουν στόχο τη μείωση της διαρθρωτικής ανεργίας

5. Σχόλια

Τα θέματα που εξετάσαμε στο κεφάλαιο αυτό, δηλαδή οι οικονομικές διακυμάνσεις, ο πληθωρισμός και η ανεργία είναι τα σοβαρότερα που αντιμετωπίζει η οικονομική θεωρία αλλά και η οικονομική πολιτική. Η ευημερία μεγάλων ομάδων ατόμων εξαρτάται από την επιτυχία με την οποία οι κυβερνήσεις αντιμετωπίζουν την οικονομική ύφεση, την ανεργία και τον πληθωρισμό. Η μέχρι σήμερα εμπειρία στην Ελλάδα και στις άλλες χώρες δείχνει ότι η αντιμετώπιση αυτών των προβλημάτων δεν είναι εύκολη και η οικονομική πολιτική δεν είναι πάντα επιτυχής.

ΚΕΦΑΛΑΙΟ ΕΝΑΤΟ
Ερωτήσεις

1. Ποιες είναι οι διαφορές μεταξύ της φάσης της καθόδου και της φάσης της ανόδου;

2. Ποιες είναι ο συνέπειες του πληθωρισμού στα εισοδήματα διάφορων ομάδων ατόμων;

3. Πώς ορίζεται το εργατικό δυναμικό;

4. Ποια είναι η διαφορά μεταξύ ανέργων και αέργων.

5. Τι χαρακτηρίζει το στασιμοπληθωρισμό.


6. Να σημειώσετε τη σωστή απάντηση.

(i) Στη φάση της ανόδου του οικονομικού κύκλου:

(α) Η παραγωγή αυξάνεται,
(β) Η απασχόληση αυξάνεται,
(γ) Η ανεργία μειώνεται,
(δ) Τα κέρδη αυξάνονται,
(ε) Όλα τα παραπάνω.

(ii) Ο πληθωρισμός ευνοεί:

(α) τους δανειστές χρημάτων, γιατί υπάρχει μεγάλη ζήτηση χρηματικών κεφαλαίων.
(β) τους επιχειρηματίες γιατί πωλούν σε μεγαλύτερες τιμές.
(γ) το κράτος, γιατί εισπράττει περισσότερους φόρους.
(δ) όλα τα παραπάνω.
(ε) τίποτα από τα παραπάνω.

(iii) Σε μια οικονομία οι απασχολούμενοι είναι 80, οι άνεργοι είναι 20 και οι άεργοι είναι 5. Το ποσοστό ανεργίας είναι:

(α) 13,3%
(β) 25%
(γ) 20%
(δ) 23,5%
(ε) τίποτα από τα παραπάνω

(iv) Όταν υπάρχει διαρθρωτική ανεργία, οι άνεργοι δεν μπορούν να βρουν απασχόληση

(α) Επειδή δεν είναι κατάλληλη η εποχή (π.χ. είναι χειμώνας και δεν υπάρχουν δουλειές
(β) Επειδή δεν έχουν τις κατάλληλες πληροφορίες.
(γ) Επειδή δεν ενδιαφέρονται να εργαστούν.
(δ) Επειδή δεν έχουν τις κατάλληλες γνώσεις και ειδικεύσεις.
(ε) Επειδή προτιμούν τα επιδόματα ανεργίας

(v) Η ανεργία μπορεί να καταπολεμηθεί με μέτρα:

(α) Δημοσιονομικά
(β) Νομισματικά
(γ) Επαγγελματική κατάρτιση
(δ) Με όλα τα παραπάνω
(ε) Με κανένα από τα παραπάνω

7. Να σημειώσετε το σωστό ή το λάθος.

α) Οι οικονομικές διακυμάνσεις αναφέρονται και ως οικονομικοί κύκλοι, επειδή το οικονομικό κύκλωμα παρομοιάζεται με κύκλο [Σ], [Λ]
β) Ο όρος "στασιμοπληθωρισμός" δηλώνει ότι επιταχύνεται η στασιμότητα της οικονομικής δραστηριότητας και της ύφεσης [Σ], [Λ]
γ) Όταν ο πληθωρισμός μειώνεται ,το επίπεδο των τιμών πέφτει [Σ], [Λ]
δ) Η ανεργία τριβής δείχνει ότι υπάρχουν θέσεις εργασίας, όμως οι άνεργοι δεν μπορούν να τις καταλάβουν, επειδή δεν έχουν τις απαραίτητες γνώσεις. [Σ], [Λ]
ε) Εποχιακή ανεργία σημαίνει ότι κάθε εποχή έχει το δικό της ποσοστό ανεργίας [Σ], [Λ]
Ασκήσεις


1. Δανείζει κάποιος 600.000 χρ. μον. για 3 χρόνια με επιτόκιο 10%. Αν ο δείκτης τιμών αυξηθεί στα τρία αυτά χρόνια συνολικά κατά 20%, να βρεθεί πόση είναι η μεταβίβαση αγοραστικής δύναμης και σε ποιον γίνεται.

  [ΑΠ: 133.100 χρ. μον. από Χρ. σε Δαν.]

2. Δανείζεται κάποιος 800.000 χρ. μον. για ένα έτος. Αν οι τιμές στο έτος αυτό αυξηθούν κατά 25%, τότε θα έχουμε μεταβίβαση αγοραστικής δύναμης από το δανειστή στο χρεώστη 64.000 χρ. μον. Με ποιο επιτόκιο έγινε το δάνειο;
  [ΑΠ: 17%]

 

lorem
Ο Φρειδερικός Ένγκελς (1820-1895) φίλος και στενός συνεργάτης του Κάρολου Μάρξ
θεωρείται, μαζί με τον Μάρξ, θεμελιωτής του επιστημονικού σοσιαλισμού.
Έγραψε πολλά έργα μόνος του και σε συνεργασία με τον Μάρξ.