Αρχές Οικονομικής Θεωρίας (Γ Λυκείου) - Βιβλίο Μαθητή
3: Η ΠΑΡΑΓΩΓΗ ΤΗΣ ΕΠΙΧΕΙΡΗΣΗΣ ΚΑΙ ΤΟ ΚΟΣΤΟΣ 5: Ο ΠΡΟΣΔΙΟΡΙΣΜΟΣ TΩN ΤΙΜΩΝ Επιστροφή στην αρχική σελίδα του μαθήματος
ΚΕΦΑΛΑΙΟ ΤΕΤΑΡΤΟ

1. Εισαγωγή

Όπως έχουμε τονίσει, η κατανόηση του τρόπου με τον οποίο προσδιορίζεται η τιμή ενός αγαθού απαιτεί κατανόηση των δύο δυνάμεων της αγοράς, δηλαδή της ζήτησης και της προσφοράς. Έχουμε ήδη εξετάσει τη ζήτηση. Στο κεφάλαιο αυτό εξετάζουμε την προσφορά των αγαθών. Η ανάλυση της συμπεριφοράς της παραγωγής και του κόστους, που έχουμε ήδη εξετάσει, είναι η βάση για την ανάλυση της προσφοράς.

2. Η καμπύλη προσφοράς - Νόμος προσφοράς

Σκοπός κάθε επιχείρησης είναι η μεγιστοποίηση του κέρδους. Αυτό είναι αποτέλεσμα δύο μεγεθών, του κόστους παραγωγής και των εσόδων της επιχείρησης. Το κόστος παραγωγής εξαρτάται από την παραγόμενη ποσότητα. Τα έσοδα εξαρτώνται από την τιμή πώλησης του προϊόντος και την ποσότητα που παράγει και προσφέρει στην αγορά (Συνολικά έσοδα — Τιμή x ποσότητα).

Εάν η τιμή πώλησης του προϊόντος είναι σταθερή και η επιχείρηση μπορεί να πουλά όποια ποσότητα θελήσει να παράγει, τότε το κέρδος της επιχείρησης εξαρτάται από το κόστος και την παραγόμενη ποσότητα. Όσο το κατά μονάδα προϊόντος κόστος μειώνεται, η επιχείρηση αυξάνει την παραγωγή της, ακόμα και με την ίδια τιμή πώλησης, γιατί αυξάνει το κέρδος της. Το αντίθετο συμβαίνει, αν το κατά μονάδα προϊόντος κόστος αυξάνεται. Επομένως, η επιχείρηση θα πρέπει να βρει την ποσότητα για την οποία μεγιστοποιείται το κέρδος της. Αυτό συμβαίνει, όταν το οριακό κόστος είναι ίσο με την τιμή. Αυτό σημαίνει ότι, αν η τιμή του προϊόντος μεταβληθεί, η επιχείρηση μεταβάλλει την παραγόμενη και, συνεπώς, την προσφερόμενη ποσότητα ακολουθώντας την καμπύλη του οριακού κόστους. 'Ετσι στην ουσία το ανερχόμενο τμήμα της καμπύλης του οριακού κόστους, που βρίσκεται πάνω από την καμπύλη του μέσου μεταβλητού κόστους, αποτελεί τη βραχυχρόνια καμπύλη προσφοράς της επιχείρησης. Επομένως, η επιχείρηση δεν προσφέρει για τιμές που είναι μικρότερες από το μέσο μεταβλητό κόστος. Η σχέση αυτή της καμπύλης προσφοράς με το οριακό κόστος θα αναλυθεί διεξοδικά στο Έκτο Κεφάλαιο.

Η καμπύλη προσφοράς (Supply, S) μιας επιχείρησης δείχνει τις ποσότητες του αγαθού που είναι διατεθειμένη να παράγει και να προσφέρει σε κάθε τιμή του αγαθού.

Από τα δεδομένα των πινάκων 3.5 και 3.6 του προηγούμενου κεφαλαίου μπορούμε να κατασκευάσουμε τον πίνακα προσφοράς 4.1. Οι ποσότητες του πίνακα αντιστοιχούν σε ανάλογο οριακό κόστος που είναι ίσο με την τιμή

Πίνακας 4.1. Η Προσφορά της επιχείρησης

Τιμή (Ρ) Ποσότητα (Q)
183,3 69
300 74
600 76

Ο πίνακας αρχίζει από το επίπεδο παραγωγής Q = 69, γιατί οι προηγούμενες ποσότητες παραγωγής αντιστοιχούν σε τιμές οριακού κόστους μικρότερες από το μέσο μεταβλητό κόστος και, συνεπώς, δε συμφέρει να παράγονται από την επιχείρηση. Από τον πίνακα 4.1 μπορούμε να παραστήσουμε γραφικά την καμπύλη προσφοράς στο διάγραμμα 4.1. Στον κάθετο άξονα δίνεται η τιμή (Price, Ρ) και στον οριζόντιο η προσφερόμενη ποσότητα. (Qs)

pic41

Διάγραμμα 4.1 Η καμπύλη προσφοράς της επιχείρησης

Αυτό που διαπιστώνουμε είναι ότι, όταν αυξάνεται η τιμή (ceteris paribus), αυξάνεται και η προσφερόμενη ποσότητα, και αντίστροφα, όταν μειώνεται η τιμή (ceteris paribus), μειώνεται και η προσφερόμενη ποσότητα. Αυτό αποτελεί και το νόμο της προσφοράς. Γραφικά η καμπύλη προσφοράς έχει θετική κλίση και ανέρχεται λόγω της προηγούμενης σχέσης

3. Η αγοραία καμπύλη προσφοράς

Όπως ακριβώς υπάρχει διάκριση μεταξύ της καμπύλης ζήτησης του μεμονωμένου καταναλωτή και της καμπύλης ζήτησης όλων των καταναλωτών, έτσι υπάρχει και διάκριση μεταξύ της προσφοράς της ατομικής επιχείρησης και της αγοραίας καμπύλης προσφοράς.
Η αγοραία καμπύλη προσφοράς είναι το άθροισμα των ποσοτήτων που αντιστοιχούν στις καμπύλες προσφοράς όλων των επιχειρήσεων που προσφέρουν το προϊόν και δείχνει τη συνολικά προσφερόμενη ποσότητα σε κάθε τιμή.

Γραφικά προκύπτει από το οριζόντιο άθροισμα των ατομικών καμπυλών προσφοράς. Η κλίση της αγοραίας καμπύλης προσφοράς είναι θετική. Παράδειγμα: Έστω τρεις επιχειρήσεις, που είναι οι μόνες που προσφέρουν το προϊόν στην αγορά. Τα δεδομένα μας είναι στον πιο κάτω πίνακα 4.2, από τον οποίο προκύπτει και το διάγραμμα 4.2, που ακολουθεί. Η στήλη με το χαρακτηρισμό "αγοραία ποσότητα" προκύπτει από το αντίστοιχο οριζόντιο άθροισμα των δεδομένων και των τριών επιχειρήσεων.

Πίνακας 4.2 Αγοραία Προσφορά

Τιμή
Ρ
Ποσότητα
Επιχείρησης
Α
QSA
Ποσότητα
Επιχείρησης
Β
Qsb
Ποσότητα
Επιχείρησης
Γ
Qsr
Αγοραία
Ποσότητα
Α + Β + Γ
QSM
20 100 20 10 130
40 150 40 20 210
60 200 60 30 290
80 250 80 40 370
100 300 100 50 450

pic42

Διάγραμμα 4.2 Αγοραία Καμπύλη Προσφοράς

4. Η συνάρτηση προσφοράς

Αναφερθήκαμε στο νόμο της προσφοράς ως αποτέλεσμα της μεταβολής των τιμών ενός προϊόντος που επηρεάζουν την προσφερόμενη ποσότητα της επιχείρησης. Σιωπηρά δεχτήκαμε ότι οι υπόλοιποι παράγοντες που επηρεάζουν την προσφορά του προϊόντος παραμένουν σταθεροί. Σύμφωνα λοιπόν με αυτό το δεδομένο, ότι δηλαδή μεταβάλλεται μόνο η τιμή και οι υπόλοιποι παράγοντες που επηρεάζουν την προσφορά παραμένουν σταθεροί, μπορούμε να παραστήσουμε τη συνάρτηση προσφοράς της επιχείρησης ως εξής :

  Qs = f(P)
όπου Qs = προσφερόμενη ποσότητα
  Ρ = τιμή του αγαθού
Η γραφική παράσταση αυτής της συνάρτησης είναι η καμπύλη προσφοράς. Η συνάρτηση προσφοράς μπορεί να έχει διάφορες αλγεβρικές μορφές. Εμείς, για ευκολία, θα θεωρήσουμε ότι η συνάρτηση προσφοράς είναι γραμμική. Η μορφή της είναι Qs = γ + δΡ. Η σταθερά γ στη συνάρτηση προσφοράς μπορεί να είναι θετικός ή αρνητικός αριθμός, αλλά ο συντελεστής δ είναι πάντα θετικός αριθμός και εκφράζει τη θετική κλίση της καμπύλης προσφοράς, που πηγάζει από το νόμο της προσφοράς. Η ποσότητα και η τιμή δεν μπορεί να έχουν αρνητικές τιμές και ισχύει Qs ≥ 0, Ρ ≥ 0.

Παράδειγμα: Έστω η γραμμική συνάρτηση προσφοράς Qs = - 8 + 4Ρ, όπου γ = -8 και δ = 4. Το διάγραμμα 4.3 της συνάρτησης, που ακολουθεί, είναι ευθεία γραμμή και, για να οριστεί, απαιτούνται δύο οποιαδήποτε σημεία της. Αν Ρ = 4 , Q = 8 και, αν Ρ = 6, Q = 16. Εφόσον το Q, πρέπει να είναι θετικό, η συνάρτηση ισχύει για Ρ > 2.

pic43

Διάγραμμα 4.3

5. Προσδιοριστικοί παράγοντες της προσφοράς

Η τιμή του αγαθού είναι ο παράγοντας εκείνος που προσδιορίζει την προσφερόμενη ποσότητα, όταν οι υπόλοιποι παράγοντες που επηρεάζουν την προσφορά παραμένουν σταθεροί (ceteris paribus). Οι υπόλοιποι παράγοντες, εκτός από την τιμή, προσδιορίζουν τη θέση της καμπύλης προσφοράς. Η μεταβολή τους μετατοπίζει ολόκληρη την καμπύλη της προσφοράς, όπως παρουσιάζεται στο διάγραμμα 4.4.

pic44

Διάγραμμα 4.4

Οι βασικότεροι προσδιοριστικοί παράγοντες είναι:

α) Οι τιμές των παραγωγικών συντελεστών. Η μεταβολή της τιμής ενός ή περισσότερων από τους συντελεστές που χρησιμοποιούνται στην παραγωγή ενός αγαθού συνεπάγεται τη μεταβολή του κόστους παραγωγής του. Αν υπάρχει αύξηση των τιμών των παραγωγικών συντελεστών, αυξάνεται το κόστος του αγαθού για κάθε επίπεδο παραγωγής. Αυτό σημαίνει μετατόπιση της καμπύλης του οριακού κόστους προς τα πάνω και αριστερά. Το ανερχόμενο τμήμα της καμπύλης του οριακού κόστους, από το σημείο που τέμνει το μέσο μεταβλητό κόστος και μετά, είναι η καμπύλη προσφοράς της επιχείρησης και μετατοπίζεται αριστερά, όπως φαίνεται στο διάγραμμα 4.4. Η καμπύλη προσφοράς από τη θέση S0S0 μετατοπίζεται στη θέση S1S1 και η προσφερόμενη ποσότητα στην τιμή Ρ από Q0 αρχικά μειώνεται σε Q1

Το αντίθετο ακριβώς συμβαίνει, όταν μειώνονται οι τιμές των παραγωγικών συντελεστών για το αγαθό, με αποτέλεσμα να μειώνεται το κόστος παραγωγής. Η καμπύλη προσφοράς μετατοπίζεται στη θέση S2S2, όπου η προσφερόμενη ποσότητα που αντιστοιχεί στην τιμή Ρ αυξάνεται από Q0 σε Q2.
β) Η Τεχνολογία της παραγωγής. Η μεταβολή στην τεχνολογία έχει ως αποτέλεσμα τη μεταβολή στη συνάρτηση παραγωγής. Η βελτίωση οδηγεί σε αύξηση του παραγόμενου αγαθού με ίδια ποσότητα παραγωγικών συντελεστών, ενώ η χειροτέρευση στο αντίθετο. Αν βελτιωθεί η τεχνολογία, άμεση συνέπεια της αύξησης της παραγωγής είναι η μείωση του μέσου και οριακού κόστους παραγωγής, αφού με την ίδια ποσότητα παραγωγικών συντελεστών, και εφόσον οι τιμές τους παραμένουν σταθερές, παράγουμε περισσότερο προϊόν. Αποτέλεσμα είναι να έχουμε μετατόπιση της καμπύλης προσφοράς προς τα δεξιά, στη θέση S2S2 από S0S0 (διάγραμμα 4.4). Το αντίθετο αποτέλεσμα παρουσιάζεται στην

καμπύλη προσφοράς, όταν χειροτερεύει η τεχνολογία. Η καμπύλη προσφοράς μετατοπίζεται στη θέση S1S1 από τη θέση S0S0.

γ) Οι καιρικές συνθήκες. Η σημασία του συγκεκριμένου παράγοντα σχετίζεται κυρίως με την παραγωγή και την προσφορά γεωργικού προϊόντος. Η επίδραση αυτή είναι σημαντική για χώρες που παράγουν κυρίως γεωργικά προϊόντα. Οι καλές καιρικές συνθήκες για την παραγωγή των αγαθών αυξάνουν την προσφορά και μετατοπίζουν την καμπύλη προσφοράς προς τα κάτω και δεξιά, ενώ οι δυσμενείς μειώνουν την προσφορά και μετατοπίζουν την καμπύλη προσφοράς προς τα πάνω και αριστερά (διάγραμμα 4.4.).

δ) Ο αριθμός των επιχειρήσεων. Όσο αυξάνεται ο αριθμός των επιχειρήσεων, είναι λογικό να αυξάνεται η προσφορά, δηλαδή να μετατοπίζεται η καμπύλη προσφοράς προς τα δεξιά, και το αντίθετο, όταν μειώνεται ο αριθμός των επιχειρήσεων, μειώνεται και η προσφορά και μετατοπίζεται η καμπύλη προσφοράς προς τα αριστερά. Πρέπει να σημειωθεί ότι, ενώ οι προηγούμενοι παράγοντες επηρεασμού της προσφοράς αφορούν τόσο την ατομική καμπύλη προσφοράς μιας επιχείρησης όσο και την αγοραία καμπύλη προσφοράς, ο αριθμός των επιχειρήσεων αφορά αποκλειστικά την αγοραία καμπύλη προσφοράς.

6. Μεταβολή της "προσφερόμενης ποσότητας" και μεταβολή της "προσφοράς"

Η ανάλυση που έχει προηγηθεί μας επιτρέπει με απλό τρόπο να διακρίνουμε τη διαφορά μεταξύ της μεταβολής στην προσφερόμενη ποσότητα και της μεταβολής στην προσφορά.

(i)    Η μεταβολή στην προσφερόμενη ποσότητα ενός αγαθού αναφέρεται στη μετακίνηση κατά μήκος της ίδιας καμπύλης προσφοράς από ένα σημείο σε άλλο, όταν μεταβάλλεται η τιμή του αγαθού, ενώ οι λοιποί προσδιοριστικοί παράγοντες παραμένουν σταθεροί. Το διάγραμμα 4.5 που ακολουθεί δείχνει ότι, όταν η τιμή είναι, για παράδειγμα, Ρ1, η προσφερόμενη ποσότητα είναι Q1 (σημείο Α), αν η τιμή γίνει p2, τότε η προσφερόμενη ποσότητα αυξάνεται σε Q2 (σημείο Β). Έχουμε επομένως μετακίνηση κατά μήκος της δεδομένης καμπύλης προσφοράς από το σημείο Α στο σημείο Β, που είναι συνέπεια του νόμου της προσφοράς.

pic45

Διάγραμμα 4.5

(ii)    Η μεταβολή στην προσφορά αναφέρεται στη μετατόπιση ολόκληρης της καμπύλης προσφοράς. Αυτό συμβαίνει, όταν η τιμή παραμένει σταθερή και μεταβάλλεται κάποιος άλλος προσδιοριστικός παράγοντας της προσφοράς. Στο διάγραμμα 4.6 έχουμε στη δεδομένη τιμή Ρ1: Μετατόπιση της καμπύλης προσφοράς προς τα δεξιά, στη θέση S1S1, δηλαδή αύξηση της προσφοράς λόγω ευνοϊκής εξέλιξης στους παράγοντες προσφοράς, και μετατόπιση της καμπύλης προσφοράς προς τα αριστερά, στη θέση S2S2, δηλαδή μείωση της προσφοράς, λόγω δυσμενούς εξέλιξης στους προσδιοριστικούς παράγοντες της προσφοράς (αρχική καμπύλη S0S0).

pic46

Διάγραμμα 4.6 Μεταβολή προσφοράς

(iii)    Αν ταυτόχρονα με τη μεταβολή της τιμής του αγαθού έχουμε μεταβολή και σε κάποιον προσδιοριστικό παράγοντα, τότε δεν μπορούμε να γνωρίζουμε εκ των προτέρων το αποτέλεσμα της επίδρασης στη συνάρτηση προσφοράς. Αυτό θα εξαρτηθεί από τη μεταβολή της τιμής και του προσδιοριστικού παράγοντα καθώς και από το μέγεθος των μεταβολών τους. Αν, για παράδειγμα, έχουμε αύξηση της τιμής του αγαθού από Ρ1 σε Ρ2, και συγχρόνως μείωση του κόστους παραγωγής (π.χ. λόγω μείωσης της τιμής της πρώτης ύλης που χρησιμοποιείται στην παραγωγή του), δηλαδή μετατόπιση της καμπύλης προσφοράς στη θέση S2S2, τότε η ποσότητα του προϊόντος που προσφέρεται αυξάνεται από Q1 σε Q2 (διάγραμμα 4.7).

pic47

Διάγραμμα 4.7

Υπάρχουν φυσικά πολλές περιπτώσεις συνδυασμού μεταβολών, που κάθε φορά θα επιφέρουν διαφορετικά αποτελέσματα στην προσφερόμενη ποσότητα του αγαθού.

7. Η ελαστικότητα της προσφοράς

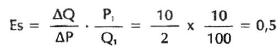
Η σχέση ανάμεσα στην τιμή και στην προσφερόμενη ποσότητα ενός αγαθού εκφράζεται από το νόμο της προσφοράς, γραφική παράσταση του οποίου είναι η καμπύλη προσφοράς. Όμως οι καμπύλες προσφοράς διαφέρουν μεταξύ τους, ανάλογα με την ευαισθησία της επιχείρησης στις μεταβολές της τιμής. Η ελαστικότητα της προσφοράς μετρά αυτήν την αντίδραση της προσφοράς στις μεταβολές της τιμής και ορίζεται ως ο λόγος της ποσοστιαίας μεταβολής της προσφερόμενης ποσότητας προς την ποσοστιαία μεταβολή της τιμής. Αν παραστήσουμε με ΕS την ελαστικότητα της προσφοράς, τότε

pic48

όπου ΔQ = μεταβολή προσφερόμενης ποσότητας , ΔΡ = μεταβολή τιμής, Ρ1 = αρχική τιμή, Q1 = αρχική ποσότητα
Παράδειγμα: Να υπολογιστεί η ελαστικότητα της προσφοράς, αν η τιμή ενός αγαθού αυξηθεί από 10 ευρώ σε 12 ευρώ και η προσφερόμενη ποσότητα αυξηθεί από 100 σε 110.
Επομένως, ΔQ = 110-100, ΔΡ = 12-10, Ρ1 = 10, Q1 = 100

pic49

Η ελαστικότητα της προσφοράς μπορεί να υπολογιστεί επίσης με βάση τις ποσοστιαίες μεταβολές:

pic410

Ο συγκεκριμένος τύπος ελαστικότητας της προσφοράς αναφέρεται στον υπολογισμό της ελαστικότητας σε ένα συγκεκριμένο σημείο, στο οποίο η τιμή είναι Ρ1, και η ποσότητα Q1. Προκειμένου όμως να υπολογίσουμε την ελαστικότητα προσφοράς ενός τόξου (ΑΒ), ο τύπος που χρησιμοποιούμε είναι (όπως έχει αναπτυχθεί και στην περίπτωση της ζήτησης):

pic411

8. Ελαστική και ανελαστική προσφορά και η επίδραση του παράγοντα χρόνου

Η ελαστικότητα της προσφοράς είναι θετική, εφόσον οι μεταβολές της τιμής και της ποσότητας είναι προς την ίδια κατεύθυνση. Αν Es > 1, τότε η προσφορά είναι ελαστική, γιατί η ποσοστιαία μεταβολή της ποσότητας είναι μεγαλύτερη από την ποσοστιαία μεταβολή της τιμής που επέφερε τη μεταβολή. Αν η Es < 1, τότε η προσφορά είναι ανελαστική, όπως στο προηγούμενο παράδειγμα, γιατί η ποσοστιαία μεταβολή της ποσότητας είναι μικρότερη από την ποσοστιαία μεταβολή της τιμής. Χαρακτηριστικά παραδείγματα των καμπυλών ελαστικής και ανελαστικής προσφοράς δίνονται στο διάγραμμα 4.8.

pic412

Διάγραμμα 4.8

Όπως στη ζήτηση,έτσι και στην προσφορά υπάρχουν ακραίες περιπτώσεις. Στο διάγραμμα 4.9 φαίνεται η καμπύλη προσφοράς, όταν Es = 0.

pic413

Διάγραμμα 4.9

Η περίπτωση όπου η Es = 0 αφορά κυρίως ευπαθή γεωργικά προϊόντα που δεν μπορούν να διατηρηθούν και, επομένως, σε μια ορισμένη περίοδο πρέπει οπωσδήποτε να προσφερθούν σε οποιαδήποτε τιμή.

Η ελαστικότητα της προσφοράς εξαρτάται από τη δυνατότητα που έχει η επιχείρηση να προσαρμόζει την παραγωγή και την προσφορά της στις μεταβολές των τιμών. Ασφαλώς υπάρχουν πολλοί παράγοντες που επιδρούν σ' αυτό, όπως ο χρόνος μεταβολής του κόστους παραγωγής, το μέγεθος της επιχείρησης κ.τ.λ. Ο σπουδαιότερος όμως παράγοντας που προσδιορίζει το μέγεθος της ελαστικότητας της προσφοράς είναι ο χρόνος. Η δυνατότητα της επιχείρησης να προσαρμόζει τα δεδομένα της είναι καλύτερη, όσο μεγαλύτερο είναι το χρονικό διάστημα προσαρμογής. Αυτό σημαίνει ότι η ελαστικότητα προσφοράς είναι μεγαλύτερη στη μακροχρόνια περίοδο απ' ό,τι στη βραχυχρόνια περίοδο. Άλλωστε στο διάστημα της μακροχρόνιας περιόδου μπορεί να μεταβληθούν όλοι οι συντελεστές παραγωγής.

9. Σχόλια

Η καμπύλη προσφοράς δείχνει τις επιπτώσεις της τιμής στην ποσότητα που προσφέρουν οι πωλητές. Οι λοιποί καθοριστικοί παράγοντες παραμένουν σταθεροί, οπότε πάνω στην καμπύλη προσφοράς απεικονίζονται μόνο τα αποτελέσματα των μεταβολών στην τιμή. Οι υπόλοιποι προσδιοριστικοί παράγοντες, εκτός από την τιμή, δεν έχουν ανάλογη σημασία για όλα τα αγαθά. Ο κύριος προσδιοριστικός παράγοντας των προσφερόμενων ποσοτήτων όσον αφορά τα αγαθά είναι η τιμή πώλησης.

ΚΕΦΑΛΑΙΟ ΤΕΤΑΡΤΟ
Ερωτήσεις

1. Γιατί η κλίση της καμπύλης προσφοράς είναι θετική;

2. Να δείξετε με τη βοήθεια διαγραμμάτων τη διαφορά μεταξύ της μεταβολής της "προσφερόμενης ποσότητας" και της μεταβολής της "προσφοράς".

3. Τι είναι η ελαστικότητα της προσφοράς και ποια η σημασία του παράγοντα χρόνου για τον προσδιορισμό του μεγέθους της.

4. Να σημειώσετε το σωστό [Σ] ή το λάθος [Λ] στα παρακάτω:

α) Η καμπύλη προσφοράς δείχνει τη σχέση ανάμεσα στην τιμή και στην προσφερόμενη ποσότητα, όταν όλοι οι υπόλοιποι προσδιοριστικοί παράγοντες της προσφοράς παραμένουν σταθεροί. [Σ], [Α]
β) Η μεταβολή στην τιμή των παραγωγικών συντελεστών που χρησιμοποιούνται για την παραγωγή ενός προϊόντος θα προκαλέσει μεταβολή στην προσφερόμενη ποσότητα του προϊόντος, χωρίς να μετατοπιστεί η καμπύλη προσφοράς του. [Σ], [Λ]
γ) Η ελαστικότητα της προσφοράς είναι μεγαλύτερη στη βραχυχρόνια περίοδο, αφού η επιχείρηση μπορεί να μεταβάλει όλους τους παραγωγικούς συντελεστές. [Σ], [Λ]

5. Να σημειώσετε τη σωστή απάντηση στα παρακάτω:

i) Η καμπύλη προσφοράς ενός αγαθού δείχνει τη σχέση μεταξύ της προσφερόμενης ποσότητάς του και:
(α) των τιμών των συντελεστών παραγωγής του.
(β) της τιμής του.
(γ) της τεχνολογίας παραγωγής του.
(δ) κανενός από τα ανωτέρω.

ii) Η ελαστικότητα της προσφοράς ως προς την τιμή δείχνει:
(α) Τη μεταβολή στην προσφερόμενη ποσότητα του αγαθού σε μια μεταβολή της τεχνολογίας.
(β) Τη μεταβολή στην προσφερόμενη ποσότητα του αγαθού σε μια μεταβολή της τιμής των παραγωγικών συντελεστών που συμμετέχουν στην παραγωγή του αγαθού.
(γ) Τη μεταβολή στην προσφερόμενη ποσότητα του αγαθού σε μια μεταβολή της τιμής πώλησης του αγαθού.
(δ) Τίποτα από τα παραπάνω.

iii) Η προσφορά θεωρείται ελαστική, όταν:
(α) Μια αύξηση της τιμής κατά 25% επιφέρει αύξηση της προσφερόμενης ποσότητας περισσότερο από 25%.
(β) Μια αύξηση της τιμής κατά 30% επιφέρει αύξηση της προσφερόμενης ποσότητας λιγότερο από 30%.
(γ) Μια αύξηση της τιμής κατά 30% επιφέρει αύξηση της προσφερόμενης ποσότητας κατά 30%.
(δ) Μια αύξηση της τιμής κατά 25% επιφέρει αύξηση της προσφερόμενης ποσότητας κατά 15%.



picer

Ερωτήσεις

1. Δίνεται ο παρακάτω πίνακας που αφορά μια επιχείρηση η οποία λειτουργεί σε βραχυχρόνια περίοδο:

Συνολικό Προϊόν Συνολικό Κόστος
0 60
1 100
2 126
3 159
4 212
5 285
6 390
7 510

α. Να παρασταθεί γραφικά η καμπύλη προσφοράς της επιχείρησης.

β. Να βρεθεί η ελαστικότητα της προσφοράς, όταν η τιμή μειώνεται από 73 ευρώ σε 53 ευρώ.

2. Μια επιχείρηση που λειτουργεί στη βραχυχρόνια περίοδο παρουσιάζω τα ακόλουθα δεδομένα:

Συνολικό Προϊόν Συνολικό Κόστος
0 0
1 7
2 25
3 45
4 60
5 66
6 70
7 72

Αν η αμοιβή της εργασίας, που είναι ο μοναδικός μεταβλητός συντελεστής, είναι 7500 χρ. μον:

α) Να παρασταθεί γραφικά η καμπύλη προσφοράς της επιχείρησης.
β) Να υπολογιστεί η ελαστικότητα της προσφοράς, όταν η τιμή πώλησης αυξάνεται από 1875 χρ. μον. σε 3750 χρ. μον.

3. Τα πιο κάτω δεδομένα αφορούν μια επιχείρηση η οποία λειτουργεί σε βραχυχρόνια περίοδο:

Αριθμός
εργατών
(L)
Συνολικό Προϊόν
TP
Μέσο Προϊόν
AP
Οριακό Προϊόν
MP
1 10 - -
2 - - 15
3 45 15 -
4 60 - 15
5 - 14 -
6 75 - -
       

Ζητείται

α. Να συμπληρωθούν τα κενά του πίνακα.
β. Εάν οι πρώτες ύλες που απαιτούνται για κάθε μονάδα παραγωγής είναι 10 χρ, μον. και η αμοιβή κάθε εργάτη είναι 5000 χρ. μον., να κατασκευαστεί ο πίνακας προσφοράς της επιχείρησης.

lorem
Ο Πώλ Σάμουλσον( 1915- ), Κεϋνσιανός Οικονομολόγος, είναι ο πρώτος Αμερικάνος που κέρδισε το βραβείο Νόμπελ στα Οικονομικά. Καθηγητής για περισσότερα από 30 χρόνια στο Μ.Τ.Ι. (Τεχνολογικό Ινστιτούτο της Μασσαχουσέτης) και σύμβουλος στα Οικονομικά πολλών προέδρων των Η.Π.Α. είναι γνωστός σε εκατομμύρια σπουδαστές σε όλο τον κόσμο από το βιβλίο του "Αρχές Πολιτικής Οικονομίας".