Αρχές Οικονομικής Θεωρίας (Γ Λυκείου) - Βιβλίο Μαθητή
1: ΒΑΣΙΚΕΣ ΟΙΚΟΝΟΜΙΚΕΣ ΕΝΝΟΙΕΣ 3: Η ΠΑΡΑΓΩΓΗ ΤΗΣ ΕΠΙΧΕΙΡΗΣΗΣ ΚΑΙ ΤΟ ΚΟΣΤΟΣ Επιστροφή στην αρχική σελίδα του μαθήματος
ΚΕΦΑΛΑΙΟ ΔΕΥΤΕΡΟ

1. Εισαγωγή

Στο προηγούμενο κεφάλαιο εξετάσαμε τα βασικά οικονομικά προβλήματα που αντιμετωπίζει κάθε κοινωνία και στα οποία πρέπει να δίνει λύση. Παρουσιάσαμε επίσης πολύ απλοποιημένα το οικονομικό κύκλωμα μιας οικονομίας που βασίζεται στο σύστημα της αγοράς και των τιμών, για να λύνει τα βασικά οικονομικά της προβλήματα. Δεν εξετάσαμε όμως πώς προσδιορίζονται οι τιμές των αγαθών. Αν και η απάντηση σε αυτό το ερώτημα είναι φαινομενικά απλή, η κατανόηση της απαιτεί προσεκτικότερη ανάλυση. Με λίγα λόγια

οι τιμές των αγαθών προσδιορίζονται στην αγορά από την αλληλεπίδραση των δυνάμεων της ζήτησης και της προσφοράς.

Για να καταλάβουμε, επομένως, πώς προσδιορίζεται η τιμή ενός αγαθού, θα πρέπει πρώτα να εξηγήσουμε τις έννοιες της ζήτησης (demand) και της προσφοράς (supply). Σε αυτό το κεφάλαιο θα μελετήσουμε τη ζήτηση των αγαθών.

2. Η συμπεριφορά του καταναλωτή

Ο καταναλωτής ικανοποιεί τις ανάγκες του με τη χρησιμοποίηση των αγαθών. Για τον καταναλωτή, χρησιμότητα ενός αγαθού είναι η ικανοποίηση την οποία απολαμβάνει σε μια ορισμένη χρονική περίοδο από την κατανάλωση του αγαθού αυτού. Επιδίωξη του καταναλωτή είναι να μεγιστοποιεί τη χρησιμότητα που απολαμβάνει από την κατανάλωση αγαθών και υπηρεσιών. Η επιδίωξη της μέγιστης χρησιμότητας αποτελεί βασικό χαρακτηριστικό της συμπεριφοράς του καταναλωτή στη ζήτηση αγαθών

Την παραπάνω επιδίωξη περιορίζουν δυο παράγοντες οι οποίοι σε μια συγκεκριμένη χρονική περίοδο είναι δεδομένοι για τον καταναλωτή: Το χρηματικό του εισόδημα και οι τιμές των αγαθών.

Με τον όρο χρηματικό εισόδημα εννοούμε ένα συγκεκριμένο αριθμό χρηματικών μονάδων που μπορεί να διαθέσει για την αγορά αγαθών.

Με τον όρο τιμή ενός αγαθού εννοούμε τον αριθμό των χρηματικών μονάδων που απαιτούνται για την απόκτηση μιας μονάδας από το συγκεκριμένο αγαθό.

Επομένως, ο καταναλωτής είναι αναγκασμένος να επιλέξει αυτά τα αγαθά και σε εκείνες τις ποσότητες που του επιτρέπει το εισόδημά του, έτσι ώστε από την κατανάλωσή τους να μεγιστοποιεί τη χρησιμότητά του. Μια τέτοια συμπεριφορά ονομάζεται ορθολογική συμπεριφορά και ο καταναλωτής ορθολογικός καταναλωτής.

Ένας ορθολογικός καταναλωτής, ο οποίος σε μια συγκεκριμένη χρονική περίοδο έχει έτσι κατανείμει το εισόδημά του, ώστε αγοράζοντας αυτά τα αγαθά και σε εκείνες τις ποσότητες να μεγιστοποιείται η χρησιμότητά του, λέμε ότι βρίσκεται σε ισορροπία. Αυτό σημαίνει ότι, αν δεν υπάρξει καμία μεταβολή, για παράδειγμα στις προτιμήσεις του, στις τιμές των αγαθών ή στο εισόδημά του, δεν έχει κανένα λόγο να μεταβάλει τη συμπεριφορά του.

3. Νόμος ζήτησης - Καμπύλη ζήτησης

Νόμος της Ζήτησης

Ο καταναλωτής στην επιδίωξή του να μεγιστοποιήσει τη χρησιμότητά του από την κατανάλωση ενός αγαθού επηρεάζεται βασικά: πρώτο από το εισόδημά του και δεύτερο από την ύπαρξη άλλων παρόμοιων αγαθών που μπορούν να ικανοποιήσουν την ίδια ανάγκη (υποκατάστατα αγαθά).
Έτσι αν αυξηθεί η τιμή ενός αγαθού, ο καταναλωτής είναι πιθανότερο να αγοράσει λιγότερες μονάδες από το συγκεκριμένο αγαθό, αφού το εισόδημά του δεν επαρκεί για να συνεχίσει να αγοράζει τις ίδιες ποσότητες και επιπλέον μπορεί να υποκαταστήσει το αγαθό αυτό με ένα παρόμοιο φθηνότερο αγαθό. Για παράδειγμα, αν αυξηθεί η τιμή του μοσχαρίσιου κρέατος, οι καταναλωτές μπορεί να στραφούν στην κατανάλωση χοιρινού ή πουλερικών και να μειώσουν την κατανάλωση του μοσχαρίσιου
Τα αποτελέσματα θα είναι αντίθετα, αν υποθέσουμε ότι η τιμή του αγαθού μειώνεται. Ο καταναλωτής θα μπορεί με το ίδιο εισόδημα να αγοράζει περισσότερες μονάδες του αγαθού καθώς και να υποκαταστήσει άλλα αγαθά με το σχετικά φθηνότερο συγκεκριμένο αγαθό. Σύμφωνα με τα παραπάνω προκύπτει ο νόμος της ζήτησης, όταν η τιμή ενός αγαθού μειώνεται, ο καταναλωτής αυξάνει την ποσότητα που ζητάει (ζητούμενη ποσότητα). Όταν η τιμή του αγαθού αυξάνεται, ο καταναλωτής μειώνει την ποσότητα που ζητάει (ζητούμενη ποσότητα).
Υπάρχει, δηλαδή, αρνητική σχέση μεταξύ της τιμής ενός αγαθού και της ζητούμενης ποσότητας από αυτό το αγαθό. Η αρνητική αυτή σχέση τιμής και ζητούμενης ποσότητας αποτελεί το νόμο της ζήτησης, ο οποίος μπορεί γενικά να διατυπωθεί ως εξής:

Όταν η τιμή ενός αγαθού μειώνεται, αυξάνεται η ζητούμενη ποσότητά του, και, όταν η τιμή του αυξάνεται, μειώνεται η ζητούμενη ποσότητα από το αγαθό αυτό, όταν οι άλλοι παράγοντες που μπορούν να επηρεάσουν τη ζήτηση παραμένουν σταθεροί (ceteris paribus).

Παράδειγμα:

Ένας καταναλωτής με δεδομένο εισόδημα αγοράζει 4 κιλά πορτοκάλια, όταν η τιμή των πορτοκαλιών είναι 0,3 ευρώ το κιλό. Αν η τιμή αυξηθεί και γίνει 0,4 ευρώ το κιλό, τότε αγοράζει 3 κιλά. Αν η τιμή μειωθεί και γίνει 0,2 ευρώ το κιλό, αγοράζει 6 κιλά.

Το παράδειγμα αυτό μπορεί να απεικονιστεί σε διάγραμμα. Στον κατακόρυφο άξονα μετράμε τις τιμές (Ρ) των πορτοκαλιών και στον οριζόντιο άξονα τις ζητούμενες ποσότητες (Q) των πορτοκαλιών από το συγκεκριμένο καταναλωτή. [Διάγραμμα 2.1 στην επόμενη σελίδα].

pic110
Διάγραμμα 2.1. Καμπύλη ζήτησης πορτοκαλιών από έναν καταναλωτή.

Το διάγραμμα αυτό, επειδή αναφέρεται σε ένα μόνον άτομο - καταναλωτή, λέμε ότι δείχνει την ατομική καμπύλη ζήτησης του συγκεκριμένου καταναλωτή.
Ένας άλλος καταναλωτής με διαφορετικές προτιμήσεις ή με διαφορετικό εισόδημα θα αγόραζε στις ίδιες τιμές διαφορετικές ποσότητες πορτοκαλιών, όπως φαίνεται στον πίνακα 2.1.

Πίνακας 2.1.

Τιμή (P) Ζητούμενη ποσότητα (Q)
0,2 9
0,3 6
0,4 4,5

4. Η αγοραία καμπύλη Ζήτησης

Αν υποθέσουμε ότι τα δυο αυτά άτομα είναι οι μοναδικοί κατανάλωτες στην αγορά πορτοκαλιών, τότε μπορούμε να κατασκευάσουμε την αγοραία καμπύλη ζήτησης πορτοκαλιών, αθροίζοντας για κάθε τιμή τις ζητούμενες ποσότητες, όπως στον πίνακα 2.2.

Πίνακας 2.1.

Τιμή (P) καταναλωτής Α
Ζητούμενη Ποσότητα
QA
καταναλωτής Β
Ζητούμενη Ποσότητα
QB
Αγοραία
Ζητούμενη Ποσότητα
QD=QA+QB,
0,2 6 9 15
0,3 4 6 10
0,4 3 4,5 7,5

Σε διάγραμμα αυτό σημαίνει ότι η αγοραία καμπύλη ζήτησης είναι το οριζόντιο άθροισμα των ατομικών καμπυλών ζήτησης (εφόσον οι ποσότητες παριστάνονται στον οριζόντιο άξονα). [Διάγραμμα 2.2.]

Διάγραμμα 2.2. Η αγοραία καμπύλη ζήτησης

Με ανάλογο τρόπο κατασκευάζεται η αγοραία καμπύλη ζήτησης ενός προϊόντος για ν πλήθος καταναλωτών, που είναι το άθροισμα των ν ατομικών καμπυλών ζήτησης.

Η καμπύλη ζήτησης ενός αγαθού λέμε ότι έχει αρνητική κλίση (από πάνω αριστερά προς κάτω δεξιά). Αυτό οφείλεται στο νόμο της ζήτησης, δηλαδή στην αρνητική σχέση τιμής και ζητούμενης ποσότητας.

5. Η συνάρτηση ζήτησης

Όταν μελετάμε τις μεταβολές στις ζητούμενες ποσότητες ενός προϊόντος καθώς μεταβάλλεται η τιμή του, δεχόμαστε ότι όλοι οι άλλοι παράγοντες οι οποίοι μπορούν να επηρεάσουν τη ζήτηση του προϊόντος αυτού παραμένουν σταθεροί. Αυτήν την παραδοχή (συνθήκη) στην οικονομία τη διατυπώνουμε με την έκφραση "ceteris paribus", που σημαίνει: τα άλλα ίσα ή σταθερά.
Πριν εξετάσουμε αυτούς τους άλλους προσδιοριστικούς παράγοντες της ζήτησης (π.χ. τις προτιμήσεις ή το εισόδημα των καταναλωτών κτλ.) και θεωρώντας τους σταθερούς, μπορούμε να παραστήσουμε τη σχέση ανάμεσα στη ζητούμενη ποσότητα και την τιμή ενός προϊόντος με τη μορφή συνάρτησης:

  QD = f(P),
όπου QD = η ζητούμενη ποσότητα
  P = η τιμή του προϊόντος

Η γραφική παράσταση αυτής της συνάρτησης είναι η καμπύλη ζήτησης. Η συνάρτηση ζήτησης μπορεί να πάρει διάφορες αλγεβρικές μορφές. Για ευκολία θα εξετάσουμε δυο απλές μορφές συναρτήσεων.
i) Γραμμική συνάρτηση ζήτησης:
Η γραμμική συνάρτηση ζήτησης έχει τον τύπο: QD = α + β Ρ και είναι ευθεία γραμμή. Η σταθερά α είναι πάντα θετικός αριθμός, ενώ ο συντελεστής β εξαρτάται από την κλίση της ευθείας και είναι πάντα αρνητικός αριθμός, αφού η κλίση της ευθείας εκφράζει την αρνητική σχέση μεταξύ ζητούμενης ποσότητας και τιμής (Νόμος Ζήτησης). Με δεδομένα ότι η ζητούμενη ποσότητα και η τιμή δεν μπορούν να πάρουν αρνητικές τιμές, θα πρέπει:
QD ≥ 0 και Ρ ≥ 0.
Ένα παράδειγμα γραμμικής συνάρτησης ζήτησης είναι: QD = 200 - 4Ρ
Το α = 200 και το β = -4. Το διάγραμμα αυτής της συνάρτησης είναι ευθεία και, για να οριστεί, απαιτούνται οι συντεταγμένες δυο σημείων της. Αν η τιμή είναι Ρ = 10 ευρώ, η ποσότητα θα είναι QD =160 μονάδες προϊόντος. Αν η τιμή γίνει Ρ = 30 ευρώ, τότε η ποσότητα γίνεται QD = 80 μονάδες. [Διάγραμμα 2.3]

Διάγραμμα 2.3. Ευθεία καμπύλη ζήτησης.

pic112

ii) Η ισοσκελής υπερβολή

Η συνάρτηση ζήτησης έχει τύπο:pic113

όπου Α σταθερός θετικός αριθμός. Το διάγραμμά της είναι ισοσκελής υπερβολή με ασύμπτωτους τους άξονες QD και Ρ. Χαρακτηριστικό αυτής της συνάρτησης είναι ότι η συνολική δαπάνη των καταναλωτών επί του προϊόντος είναι σταθερή, γιατί: QD · Ρ = Α.

Παράδειγμα: QD = 1200/Ρ. Για τη γραφική της παράσταση απαιτούνται αρκετά σημεία με τις συντεταγμένες τους. Μπορούμε να κατασκευάσουμε τον πίνακα 2.3, θέτοντας διάφορες τιμές στο Ρ και βρίσκοντας τις αντίστοιχες ποσότητες QD. Η γραφική παράσταση απεικονίζεται στο διάγραμμα 2.4.

Πίνακας 2.3.

P QD
10 120
10 60
30 40
40 30
60 20
80 15

 

pic114

Διάγραμμα 2.4. Ισοσκελής υπερβολή

6. Άλλοι προσδιοριστικοί παράγοντες της ζήτησης

Μέχρι τώρα γνωρίσαμε ότι η μεταβολή της τιμής μεταβάλλει τη ζητούμενη ποσότητα ενός προϊόντος, όταν οι άλλοι προσδιοριστικοί παράγοντες της ζήτησης παραμένουν σταθεροί. Όταν όμως έχουμε μεταβολή ενός άλλου παράγοντα, για παράδειγμα του εισοδήματος των καταναλωτών, τότε λέμε ότι μεταβάλλεται η ζήτηση. Έχουμε, δηλαδή, αλλαγή της συνάρτησης ζήτησης, επομένως και μετατόπιση ολόκληρης της καμπύλης ζήτησης. Αν η ζήτηση αυξηθεί, σημαίνει μετατόπιση της καμπύλης ζήτησης προς τα δεξιά. Αν η ζήτηση μειωθεί, σημαίνει μετατόπιση της καμπύλης προς τα αριστερά.

Στο διάγραμμα έχουμε την αρχική καμπύλη ζήτησης D. Αύξηση της ζήτησης μετατοπίζει την καμπύλη στη θέση D1 ενώ μείωση της ζήτησης τη μετατοπίζει στη θέση D2 [Διάγραμμα 2.5]

pic115

Διάγραμμα 2.5. Μεταβολές της ζήτησης

Οι βασικότεροι προσδιοριστικοί παράγοντες της ζήτησης είναι:

α) Οι προτιμήσεις των καταναλωτών.

Οι προτιμήσεις των καταναλωτών μεταβάλλονται για διάφορους λόγους. Για παράδειγμα, αλλάζουν τα έθιμα, οι καιρικές συνθήκες, το κοινωνικό περιβάλλον κτλ.

Όταν οι προτιμήσεις μεταβάλλονται ευνοϊκά για ένα προϊόν, τότε αυξάνεται η ζήτησή του. Παράδειγμα, η αυξημένη ζήτηση παγωτών και αναψυκτικών το καλοκαίρι.

Αν η μεταβολή των προτιμήσεων δεν είναι ευνοϊκή για ένα προϊόν, τότε μειώνεται η ζήτησή του.

β) Το εισόδημα των καταναλωτών.

Ένας βασικός προσδιοριστικός παράγοντας της ζήτησης είναι το εισόδημα των καταναλωτών. Οι μεταβολές στο μέγεθος του εισοδήματος όμως δεν έχουν την ίδια επίδραση σε όλα τα αγαθά. Για τα περισσότερα αγαθά, τα οποία ονομάζονται και κανονικά αγαθά, όταν αυξάνεται το μέγεθος του εισοδήματος, αυξάνεται και η ζήτησή τους, και, όταν μειώνεται το μέγεθος του εισοδήματος, μειώνεται και η ζήτησή τους. Υπάρχουν όμως και αγαθά στα οποία οι μεταβολές στο μέγεθος του εισοδήματος επιδρούν αντίστροφα στη ζήτησή τους. Τα αγαθά αυτά ονομάζονται κατώτερα αγαθά ή "αγαθά του φτωχού", αφού αγοράζονται συνήθως από οικογένειες με πολύ χαμηλό εισόδημα, γιατί είναι τα φτηνότερα στην αγορά, όπως η μαργαρίνη, τα κατεψυγμένα ψάρια, το ψωμί διατίμησης. Αυξήσεις στο μέγεθος του εισοδήματος κάνουν τον καταναλωτή να μειώσει τη ζήτηση αυτών των αγαθών και να στραφεί σε κανονικά αγαθά.

γ) Οι τιμές των άλλων αγαθών

Υπάρχουν αγαθά στα οποία η τιμή του ενός αγαθού επηρεάζει τη ζήτηση ενός άλλου αγαθού. Τα αγαθά αυτά τα διακρίνουμε σε δυο κατηγορίες: Τα υποκατάστατα και τα συμπληρωματικά.

Υποκατάστατα είναι δυο (ή περισσότερα) αγαθά, όταν το ένα μπορεί να χρησιμοποιηθεί αντί του άλλου (ή άλλων), για να ικανοποιήσει την ίδια ανάγκη. Για παράδειγμα, το βούτυρο και η μαργαρίνη, το μοσχαρίσιο και το χοιρινό κρέας, τα σπίρτα και ο αναπτήρας. Η ζήτηση ενός αγαθού μεταβάλλεται προς την ίδια κατεύθυνση με τη μεταβολή της τιμής του υποκατάστατου αγαθού. Για παράδειγμα, αν αυξηθεί η τιμή του μοσχαρίσιου κρέατος, οι καταναλωτές θα μειώσουν τη ζητούμενη ποσότητα μοσχαρίσιου κρέατος, και θα το υποκαταστήσουν με το σχετικά φτηνότερο χοιρινό, αυξάνοντας έτσι τη ζήτηση του χοιρινού. Η αύξηση της τιμής του μοσχαρίσιου κρέατος (ceteris paribus) από P1 σε P2 στο διάγραμμα 2.6(α) έχει ως αποτέλεσμα τη μετατόπιση της καμπύλης ζήτησης του χοιρινού κρέατος από D1 σε D2 στο διάγραμμα 2.6 (β).

Διάγραμμα 2.6. Υποκατάστατα αγαθά

pic116

Συμπληρωματικά είναι δυο (ή περισσότερα) αγαθά, όταν η κατανάλωση του ενός απαιτεί και την κατανάλωση του άλλου (ή άλλων), για την ικανοποίηση μιας ανάγκης. Για παράδειγμα ο καφές και η ζάχαρη, η φωτογραφική μηχανή και το φιλμ, το βίντεο και η βιντεοκασέτα. Η ζήτηση ενός αγαθού μεταβάλλεται προς την αντίθετη κατεύθυνση με τη μεταβολή της τιμής ενός συμπληρωματικού αγαθού (ceteris paribus). Για παράδειγμα, αν αυξηθεί η τιμή του καφέ, θα μειωθεί η ζητούμενη ποσότητα του καφέ (ceteris paribus), όπως στο διάγραμμα 2.7(α), με αποτέλεσμα οι καταναλωτές να μειώσουν και τη ζήτηση της ζάχαρης (την οποία χρησιμοποιούσαν ως συμπλήρωμα του καφέ), μετατοπίζοντας την καμπύλη ζήτησης από D1, σε D2 στο διάγραμμα 2.7 (β). Βέβαια, τα παραπάνω θα συμβούν αν δεν υπάρξει μεταβολή στους λοιπούς προσδιοριστικούς παράγοντες της ζήτησης για καφέ και για ζάχαρη.

pic117

Διάγραμμα 2.7. Συμπληρωματικά αγαθά,

δ) Οι προσδοκίες και οι προβλέψεις των καταναλωτών σχετικά με τη μελλοντική εξέλιξη:

i) των τιμών

ii) του εισοδήματος τους.

i) Αν οι καταναλωτές προβλέπουν αύξηση στην τιμή ενός αγαθού, μπορεί να αυξήσουν τις τρέχουσες αγορές τους στο αγαθό αυτό, ώστε να επωφεληθούν από τη χαμηλότερη τιμή που επικρατεί τώρα. Αντίθετα, αν οι καταναλωτές αναμένουν μείωση των τιμών (π.χ. εκπτώσεις μετά από λίγο καιρό), θα αναβάλουν τις αγορές τους, με αποτέλεσμα τη μείωση της ζήτησης.

ii) Με τον ίδιο τρόπο αντιδρούν οι καταναλωτές και όταν αναμένουν μεταβολή στο εισόδημά τους. Με το σκεπτικό ότι θα επέλθει αύξηση στο εισόδημά τους, αυξάνουν τη κατανάλωσή του «σήμερα», δηλαδή αυξάνουν τη ζήτηση «σήμερα».

ε) Ο αριθμός των καταναλωτών

Η αύξηση του αριθμού των καταναλωτών συνεπάγεται και αύξηση της ζήτησης ενός αγαθού. Για παράδειγμα, σε ένα νησί τους θερινούς μήνες αυξάνεται η ζήτηση πολλών αγαθών από την άφιξη μεγάλου αριθμού παραθεριστών.

Σημείωση

Οι τέσσερις πρώτοι προσδιοριστικοί παράγοντες αφορούν τόσο την ατομική καμπύλη ζήτησης, όσο και την αγοραία. Ο αριθμός των καταναλωτών αφορά μόνον την αγοραία καμπύλη ζήτησης.

7. Μεταβολή στη ζητούμενη ποσότητα και μεταβολή στη ζήτηση

Όπως αναφέρθηκε στην προηγούμενη ενότητα, πρέπει να γίνεται σαφής διαχωρισμός των περιπτώσεων που αναφέρονται στη μεταβολή της ζητούμενης ποσότητας και στη μεταβολή της ζήτησης. Η διαφορά αυτή μπορεί να φανεί και με τη χρησιμοποίηση διαγραμμάτων.

α) Μεταβολή μόνο στη ζητούμενη ποσότητα.

Η ζητούμενη ποσότητα μεταβάλλεται μόνο λόγω μεταβολής της τιμής του αγαθού, ενώ οι άλλοι προσδιοριστικοί παράγοντες παραμένουν σταθεροί. Το διάγραμμα 2.8 δείχνει την καμπύλη ζήτησης D ενός αγαθού. Αν στην τιμή Ρ1 η ζητούμενη ποσότητα είναι Q1, τότε βρισκόμαστε στο σημείο Α της καμπύλης ζήτησης. Αν υποθέσουμε ότι η τιμή μειώνεται σε Ρ2 (ceteris paribus), τότε η ζητούμενη ποσότητα αυξάνεται σε Q2 . Ο συνδυασμός αυτός αντιστοιχεί στο σημείο Β της καμπύλης D. Έχουμε, επομένως, μια κίνηση από το σημείο Α προς το σημείο Β πάνω στην ίδια καμπύλη. Αν πάλι η τιμή αυξηθεί από Ρ1 σε Ρ3, τότε η ζητούμενη ποσότητα μειώνεται από Q1 σε Q3. Ο νέος συνδυασμός αντιστοιχεί στο σημείο Γ της καμπύλης D. Έχουμε, επομένως, πάλι μια κίνηση από το σημείο Α στο σημείο Γ πάνω στην ίδια καμπύλη. Παρατηρούμε ότι οι μεταβολές της τιμής μεταβάλλουν τη ζητούμενη ποσότητα, σύμφωνα με το νόμο της ζήτησης, χωρίς να μετακινούν την καμπύλη ούτε να αλλάζουν τη συνάρτηση της.

pic118

Διάγραμμα 2.8. Μεταβολή της ζητούμενης ποσότητας

β) Μεταβολή μόνο στη ζήτηση.

Στην περίπτωση αυτή δεχόμαστε ότι η τιμή ενός κανονικού αγαθού παραμένει σταθερή και μεταβάλλεται μόνον ένας προσδιοριστικός παράγοντας της ζήτησης, για παράδειγμα το εισόδημα των καταναλωτών. Το διάγραμμα 2.9 δείχνει την καμπύλη ζήτησης D1 ενός αγαθού. Έστω ότι στην τιμή Ρ1 η ζητούμενη ποσότητα είναι Q1. Ο συνδυασμός αυτός αντιστοιχεί στο σημείο Α της καμπύλης D1 Αν αυξηθεί το εισόδημα, αφού το αγαθό είναι κανονικό, θα αυξηθεί η ζήτησή του και στην ίδια τιμή Ρ1 θα αυξηθεί η ζητούμενη ποσότητα από Q1 σε Q2. Ο συνδυασμός αυτός όμως αντιστοιχεί στο σημείο Β, που ανήκει σε μια άλλη καμπύλη ζήτησης D2, η οποία προήλθε από τη μετατόπιση ολόκληρης της D1 προς τα δεξιά. Αν πάλι μειωθεί το εισόδημα, θα μειωθεί η ζήτησή του και στην ίδια τιμή Ρ1 η ζητούμενη ποσότητα θα μειωθεί οστό Q1 σε Q3. Ο συνδυασμός αυτός αντιστοιχεί στο σημείο Γ μιας άλλης καμπύλης ζήτησης D3, η οποία προήλθε από τη μετατόπιση ολόκληρης της καμπύλης D1 προς τα αριστερά. Παρατηρούμε ότι οι μεταβολές σε έναν από τους προσδιοριστικούς παράγοντες της ζήτησης, όταν η τιμή παραμένει σταθερή, μεταβάλλουν τη ζήτηση του αγαθού, μετατοπίζοντας ολόκληρη την καμπύλη ζήτησης, μεταβάλλοντας τη συνάρτησή της (βλέπε διάγρ. 2.9).

pic119

Διάγραμμα 2.9 Μεταβολή της ζήτησης,

γ) Ταυτόχρονη μεταβολή ζητούμενης ποσότητας και ζήτησης.

Ας υποθέσουμε ότι για ένα κανονικό αγαθό παρατηρείται ταυτόχρονα μεταβολή στην τιμή του και στο εισόδημα των καταναλωτών, για παράδειγμα, αυξάνονται και τα δύο. Στην περίπτωση αυτή η αύξηση της τιμής τείνει να μειώσει τη ζητούμενη ποσότητα, ενώ η αύξηση του εισοδήματος τείνει να αυξήσει τη ζήτηση. Επειδή οι επιδράσεις των δυο αυτών μεταβολών είναι αντίθετες, δεν μπορούμε να γνωρίζουμε αν η τελική ζητούμενη ποσότητα είναι ίση, μικρότερη ή μεγαλύτερη από την αρχικά ζητούμενη ποσότητα (πριν τις μεταβολές). Το τελικό αποτέλεσμα εξαρτάται από το σχετικό μέγεθος των μεταβολών της τιμής και του εισοδήματος.

Ας μελετήσουμε μια περίπτωση όπου το μέγεθος της αύξησης του εισοδήματος είναι μεγαλύτερο από το μέγεθος της αύξησης της τιμής. Το διάγραμμα 2.10 δείχνει την καμπύλη ζήτησης D1, ενός κανονικού αγαθού. Αν στην τιμή Ρ1 η ζητούμενη ποσότητα είναι Q1 ο συνδυασμός αυτός αντιστοιχεί στο σημείο Α της καμπύλης D1 . Η αύξηση της τιμής σε Ρ2 θα μειώσει τη ζητούμενη ποσότητα σε Q2 Έχουμε μια μετακίνηση από το σημείο Α προς το σημείο Β πάνω στην ίδια καμπύλη D1 . Αν τώρα αυξηθεί το εισόδημα των καταναλωτών, θα αυξηθεί και η ζήτησή τους για το αγαθό. Θα έχουμε μετακίνηση ολόκληρης της καμπύλης ζήτησης προς τα δεξιά, από τη θέση D1 στη θέση D2 . Έτσι στην ίδια τιμή Ρ2 η ζητούμενη ποσότητα αυξάνεται από Q2 σε Q3. Έχουμε, δηλαδή, μετακίνηση από το σημείο Β της D1 προς το σημείο Γ της D2 Παρατηρούμε ότι η τελικά ζητούμενη ποσότητα Q3 είναι μεγαλύτερη από την αρχική Q1 . (βλέπε Διάγρ. 2.10).

pic120

Διάγραμμα 2.10. Ταυτόχρονη μεταβολή ζητούμενης ποσότητας και ζήτησης.

Ευνόητο είναι ότι, αν με την ίδια αύξηση του εισοδήματος έχουμε μεγαλύτερη αύξηση της τιμής, η τελική ζητούμενη ποσότητα θα είναι μικρότερη από την αρχική.

8. Ελαστικότητα ζήτησης ως προς την τιμή

Στον πίνακα 2.4 δίνονται οι τιμές και οι ζητούμενες ποσότητες για τρία αγαθά Α, Β, και Γ.

Πίνακας 2.4.

Τιμή Ζητούμενη Ποσότητα
Αγαθού Α
Ζητούμενη Ποσότητα
Αγαθού Β
Ζητούμενη Ποσότητα
Αγαθού Γ
100 300 400 200
110 285 360 160

Όταν η τιμή αυξάνεται από 100 σε 110, δηλαδή η ποσοστιαία αύξηση είναι 10%, τότε η ποσοστιαία μείωση στις ζητούμενες ποσότητες των τριών αγαθών είναι:

pic121

Παρατηρούμε ότι η ίδια ποσοστιαία αύξηση της τιμής για τα τρία αγαθά δεν έχει τα ίδια αποτελέσματα στις ζητούμενες ποσότητες αυτών των αγαθών. Διαφορετική είναι η αντίδραση των καταναλωτών σε κάθε αγαθό.

Αν θέλουμε να έχουμε ένα μέτρο αυτής της αντίδρασης των καταναλωτών στις μεταβολές των τιμών, μπορούμε να χρησιμοποιήσουμε το λόγο της ποσοστιαίας μεταβολής της ζητούμενης ποσότητας κάθε αγαθού προς την ποσοστιαία μεταβολή της τιμής του.

pic122

Ο λόγος αυτός, δηλαδή η ποσοστιαία μεταβολή της ζητούμενης ποσότητας προς την ποσοστιαία μεταβολή της τιμής, ονομάζεται ελαστικότητα ζήτησης ως προς την τιμή. Μπορούμε λοιπόν να αντιληφθούμε την ελαστικότητα της ζήτησης ως προς την τιμή ως το βαθμό ανταπόκρισης ή αντίδρασης των καταναλωτών στις μεταβολές της τιμής, όλων των άλλων παραγόντων σταθερών (ceteris paribus).

Υπολογισμός της ελαστικότητας της ζήτησης ως προς την τιμή.

Γενικά η ελαστικότητα ζήτησης συμβολίζεται με ED και ορίζεται ως

pic123

Η ανωτέρω ελαστικότητα της ζήτησης, δίνει την ελαστικότητα στο σημείο που αντιστοιχεί σε τιμή Ρ1 και ζητούμενη ποσότητα Q1

Από το νόμο της ζήτησης γνωρίζουμε ότι κάθε μεταβολή της τιμής έχει ως αποτέλεσμα τη μεταβολή της ζητούμενης ποσότητας προς την αντίθετη φορά. Η αρνητική αυτή σχέση μεταξύ τιμής και ζητούμενης ποσότητας έχει ως αποτέλεσμα η αριθμητική τιμή της ελαστικότητας ζήτησης να είναι αρνητική

Η ελαστικότητα της ζήτησης ως προς την τιμή είναι διαφορετική όχι μόνο μεταξύ διαφορετικών αγαθών, αλλά γενικά δεν παραμένει σταθερή ούτε για το ίδιο αγαθό σε όλο το μήκος της καμπύλης ζήτησης. Για παράδειγμα, τα υποθετικά δεδομένα του πίνακα 2.5.

Πίνακας 2.1.

Τιμή
(Ευρώ)
Ζητούμενη ποσότητα
(κιλά)
A 20 40
Β 16 60
Γ 12 90
Δ 8 120
Ε 4 150

Όταν η τιμή μειώνεται από 20 σε 16 ευρώ, η ζητούμενη ποσότητα αυξάνεται από 40 σε 60 κιλά. Η μεταβολή της τιμής είναι ΔΡ = -4 και η μεταβολή στη ποσότητα είναι ΔQ = 20. Αν θέλουμε την ελαστικότητα της ζήτησης στο σημείο Α, τότε Ρ1 = 20 και Q1 = 40.
Η ελαστικότητα ζήτησης στο σημείο Α είναι:

pic124

Όταν η τιμή μειώνεται από 8 σε 4 ευρώ, η ελαστικότητα της ζήτησης στο σημείο Δ είναι

pic125

9. Ελαστικότητα σημείου και ελαστικότητα τόξου

Το διάγραμμα 2.11 δείχνει την καμπύλη ζήτησης ενός αγαθού.

pic126

Διάγραμμα 2.11. Ελαστικότητα τόξου

Η ελαστικότητα της ζήτησης στα σημείο Α, όταν η τιμή μεταβάλλεται από PA σε PB , είναι:

pic127

Η ελαστικότητα ζήτησης στο σημείο Β, όταν η τιμή μεταβάλλεται από ΡA σε ΡB, είναι:

pic128

Ο λόγος ΔQ/ΔΡ είναι σταθερός και στις δυο ελαστικότητες, όμως διαφέρει ο λόγος P/Q άρα οι δυο ελαστικότητες έχουν διαφορετική τιμή.

Αν το τόξο ΑΒ επί της καμπύλης ζήτησης είναι πολύ μικρό, μπορούμε με μεγάλη προσέγγιση να υπολογίσουμε την ελαστικότητα στο μέσο Μ του τόξου και να θεωρήσουμε ότι αντιπροσωπεύει την ελαστικότητα της ζήτησης του αγαθού για ολόκληρο το τόξο ΑΒ.

Οι συντεταγμένες του μέσου Μ του τόξου ΑΒ είναι:

Για την τιμή pic129 και για την ποσότητα pic130

Αν στον τύπο της ελαστικότητας αντικαταστήσουμε το λόγο P/Q με το λόγο PM/QM θα έχουμε:

pic131

Αυτός είναι ο τύπος της ελαστικότητας της ζήτησης τόξου ή τοξοειδούς ελαστικότητας.

Είναι ευνόητο ότι η απόλυτη τιμή της ελαστικότητας τόξου είναι ανάμεσα στις τιμές της ελαστικότητας των δυο άκρων του τόξου.

Με τα δεδομένα του πίνακα της προηγούμενης ενότητας, η ελαστικότητα στο σημείο Α είναι - 2,5 και στο σημείο Β είναι -1,33. Η ελαστικότητα του τόξου ΑΒ είναι::

pic132

pic133

10. Ελαστική και Ανελαστική Ζήτηση

Για ευκολία χρησιμοποιούμε την απόλυτη τιμή της ελαστικότητας της ζήτησης. Συγκρίνοντας την απόλυτη τιμή της ελαστικότητας της ζήτησης με τη μονάδα μπορούμε να χαρακτηρίσουμε τη ζήτηση ως ελαστική ή ανελαστική.

pic134

11. Ειδικές περιπτώσεις καμπύλης ζήτησης και ελαστικότητας

Υπάρχουν ορισμένες ακραίες και ειδικές περιπτώσεις στις οποίες η ελαστικότητα της ζήτησης είναι σταθερή σε όλο το μήκος της καμπύλης ζήτησης ή σε ένα τμήμα της.

(i) Καμπύλη ζήτησης με ελαστικότητα ίση με το μηδέν

Αν ED = 0 σε όλα τα σημεία της καμπύλης, τότε η ζήτηση χαρακτηρίζεται τελείως ανελαστική και η καμπύλη ζήτησης είναι ευθεία κάθετη στον άξονα των ποσοτήτων [Διάγραμμα 2.12],

pic135

Διάγραμμα 2.12. Καμπύλη ζήτησης με ελαστικότητα μηδέν.

Αυτό σημαίνει ότι οι καταναλωτές δεν αντιδρούν στις μεταβολές της τιμής του αγαθού και συνεχίζουν να ζητούν την ίδια ποσότητα, ανεξάρτητα από την τιμή. Είναι μια ακραία περίπτωση ζήτησης που θα μπορούσε να ισχύει, για παράδειγμα, στη ζήτηση φαρμάκων απαραίτητων για τη θεραπεία κάποιας ασθένειας.
Άλλη μια ακραία περίπτωση είναι αυτή που παρουσιάζεται στο διάγραμμα 2.13, όπου η καμπύλη ζήτησης είναι παράλληλη προς τον άξονα των ποσοτήτων. Στην περίπτωση αυτή οι καταναλωτές ζητούν στην ίδια τιμή οποιαδήποτε ποσότητα μπορούν να βρουν. Στην πράξη αυτό είναι αδύνατο, γιατί το εισόδημα των καταναλωτών είναι περιορισμένο. Θα μπορούσε να ισχύει για περιορισμένα όρια ζητούμενων ποσοτήτων

pic136

Διάγραμμα 2.13. Καμπύλη ζήτησης με άπειρη ελαστικότητα.

(iii) Καμπύλη ζήτησης με ελαστικότητα ίση με τη μονάδα

Όταν η καμπύλη ζήτησης είναι ισοσκελής υπερβολή (5ii, κεφ. 2) τότε σε όλο το μήκος της καμπύλης η ελαστικότητα ζήτησης είναι σε απόλυτη τιμή ίση με τη μονάδα. Αυτό αποδεικνύεται εύκολα, αν χρησιμοποιήσουμε τον τύπο της ελαστικότητας τόξου.

(iv) Η ελαστικότητα στην ευθεία καμπύλη ζήτησης

Αν η καμπύλη ζήτησης είναι ευθεία γραμμή [διάγραμμα 2.14] που τέμνει τον άξονα των τιμών στο σημείο Α και τον άξονα των ποσοτήτων στο σημείο Β, η ελαστικότητα μεταβάλλεται σε όλο το μήκος της. Στο μέσο Μ του ευθύγραμμου τμήματος ΑΒ η ελαστικότητα είναι σε απόλυτη τιμή ίση με τη μονάδα. Στο τμήμα ΜΑ η ζήτηση είναι ελαστική και η απόλυτη τιμή της ελαστικότητας αυξάνει, καθώς μεταβαίνουμε από το σημείο Μ προς το σημείο Α. Στο τμήμα MB η ζήτηση είναι ανελαστική και η απόλυτη τιμή της ελαστικότητας μειώνεται, καθώς μεταβαίνουμε από το σημείο Μ προς το σημείο Β.

Ειδικότερα στο σημείο Α, όπου η ποσότητα Q είναι μηδέν, ο λόγος P/Q γίνεται άπειρο και επομένως, η ελαστικότητα είναι άπειρη. Στο σημείο Β, όπου η τιμή είναι μηδέν, ο λόγος P/Q γίνεται μηδέν και, επομένως, η ελαστικότητα είναι μηδέν.

pic137

Διάγραμμα 2.14. Ελαστικότητα στην ευθεία καμπύλη ζήτησης.

12. Συνολική δαπάνη των καταναλωτών

Αν σε δεδομένη στιγμή η αγοραία καμπύλη ζήτησης ενός αγαθού είναι η D [διάγραμμα 2.15] και στην τιμή Ρ1 η ζητούμενη ποσότητα είναι Q1 τότε η συνολική δαπάνη (ΣΔ) όλων των καταναλωτών για το αγαθό αυτό θα είναι το γινόμενο Ρ1 · Q1 . Ευνόητο είναι ότι η συνολική δαπάνη των καταναλωτών για ένα αγαθό είναι τα συνολικά έσοδα (συνολική πρόσοδος) όλων των παραγωγών από την παραγωγή και διάθεση αυτού του αγαθού. Η συνολική δαπάνη των καταναλωτών φαίνεται και από το εμβαδόν του ορθογωνίου (OP1AQ1).

pic138

Διάγραμμα 2.15. Συνολική δαπάνη καταναλωτών.

13. Ελαστικότητα ζήτησης και συνολική δαπάνη των καταναλωτών

Η συνολική δαπάνη των καταναλωτών για ένα αγαθό εξαρτάται άμεσα από την ελαστικότητα της ζήτησης ως προς την τιμή. Γνωρίζουμε ότι η συνολική δαπάνη των καταναλωτών είναι ίση με το γινόμενο της τιμής επί την ποσότητα: ΣΔ = Ρ · Q. Σε κάθε μεταβολή της τιμής, η συνολική δαπάνη δέχεται δυο αντίθετες επιδράσεις, η μια προέρχεται από τη μεταβολή της τιμής και η άλλη από την αντίθετη μεταβολή της ζητούμενης ποσότητας. Τελικά εξαρτάται από την ελαστικότητα ζήτησης του αγαθού ποια από τις δύο μεταβολές θα επηρεάσει τη συνολική δαπάνη.

Ζήτηση ελαστική (|ΕD| >1): Στην ελαστική ζήτηση η ποσοστιαία μεταβολή της ζητούμενης ποσότητας είναι μεγαλύτερη από την ποσοστιαία μεταβολή της τιμής (σε απόλυτες τιμές). Επομένως, τη συνολική δαπάνη θα επηρεάζει κάθε φορά η μεγαλύτερη ποσοστιαία μεταβολή, δηλαδή η μεταβολή της ζητούμενης ποσότητας.

Ζήτηση ανελαστική (|ΕD| ανελαστική ζήτηση η ποσοστιαία μεταβολή της ζητούμενης ποσότητας είναι μικρότερη από την ποσοστιαία μεταβολή της τιμής (σε απόλυτες τιμές). Επομένως, τη συνολική δαπάνη θα επηρεάζει κάθε φορά η μεγαλύτερη ποσοστιαία μεταβολή, δηλαδή της τιμής.

Ζήτηση με ελαστικότητα ίση με τη μονάδα (|ΕD| = 1): Στην περίπτωση αυτή, η ποσοστιαία μεταβολή της ζητούμενης ποσότητας είναι ίση με την ποσοστιαία μεταβολή της τιμής (σε απόλυτες τιμές). Επομένως, η συνολική δαπάνη στην περίπτωση αυτή θα παραμείνει σταθερή.

Στον πίνακα 2.6 επιβεβαιώνονται τα παραπάνω. Όταν η τιμή μειώνεται από 12 ευρώ σε 10 ευρώ, 8 ευρώ και 6 ευρώ και η ζήτηση είναι ελαστική, τότε η συνολική δαπάνη αυξάνεται. Παραπέρα μείωση της τιμής από 6 σε 4 και 2 ευρώ, όπου η ζήτηση είναι ανελαστική, η συνολική δαπάνη μειώνεται. Αντίστοιχα αποτελέσματα θα έχουμε, αν δεχτούμε ότι η τιμή αυξάνεται διαδοχικά από 2 ευρώ μέχρι 12 ευρώ.

  Τιμή Ζητούμενη
ποσότητα
Συνολική
Δαπάνη
Ελαστικότητα Ζήτηση
A 12 20 240 -6 ελαστική
B 10 40 400 -3,75 ελαστική
Γ 8 70 560 -1,71 ελαστική
Δ 6 100 600 -0,9 ανελαστική
Ε 4 130 520 -0,3 ανελαστική
Ζ 2 150 300    

14. Χρησιμότητα της Ελαστικότητας ζήτησης

Η γνώση της ελαστικότητας της ζήτησης ενός αγαθού είναι πολύ σημαντική για τις επιχειρήσεις και το κράτος. Οι επιχειρήσεις μπορούν να γνωρίζουν εάν έχουν δυνατότητα να αυξήσουν την τιμή ενός προϊόντος, χωρίς να διακινδυνεύουν τη μείωση των εσόδων τους. Το κράτος έχει τη δυνατότητα να γνωρίζει, για παράδειγμα εάν μπορεί να επιβάλει πρόσθετη φορολογία σε ένα αγαθό, χωρίς να μειωθούν τα έσοδά του ή πόσο θα μειωθεί η ζητούμενη ποσότητα ή ακόμα εάν μπορεί να παρέμβει θέτοντας ένα αγαθό σε διατίμηση κτλ.

Παράδειγμα: Ας υποθέσουμε ότι στην τιμή των 100 ευρώ η ζητούμενη ποσότητα ενός αγαθού είναι 5.000 κιλά. Η συνολική δαπάνη των καταναλωτών (άρα τα συνολικά έσοδα των παραγωγών) είναι 5.000 x 100 = 500.000 ευρώ. Αν οι επιχειρήσεις που παράγουν το αγαθό αυτό γνωρίζουν ότι στην τιμή αυτή έχει ελαστικότητα ζήτησης - 0,5, έχουν τη δυνατότητα να αυξήσουν την τιμή του κατά 20 ευρώ, αυξάνοντας έτσι και τα έσοδά τους. Στην τιμή των 120 ευρώ η νέα ζητούμενη ποσότητα θα είναι:

pic139

Λύνουμε ως προς Q2, και βρίσκουμε τη νέα ζητούμενη ποσότητα Q2 = 4.500 κιλά. Η συνολική δαπάνη των καταναλωτών γίνεται 4.500 x 120 = 540.000 ευρώ.

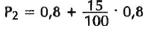
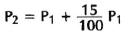
Ένα ακόμα παράδειγμα. Έστω ότι η κατανάλωση βενζίνης σε μια πόλη είναι 6.000 λίτρα την εβδομάδα και η τιμή του λίτρου 0,8 ευρώ, με ελαστικότητα ζήτησης -0,4. Αν το κράτος επιθυμεί για διάφορους λόγους να μειωθεί η ζητούμενη ποσότητα κατά 6%, μπορεί να αυξήσει την τιμή επιβάλλοντας πρόσθετο φόρο. Πόση θα είναι αυτή η πρόσθετη φορολογία;

Από τον τύπο της ελαστικότητας έχουμε:

pic140

Δηλαδή, η ποσοστιαία αύξηση της τιμής είναι 15%. Συνεπώς, η νέα τιμή μετά την επίβολή του πρόσθετου φόρου θα είναι: pic141 ή pic142 0,92 €, δηλαδή ο πρόσθετος φόρος είναι 0,12 €.

Αντικείμενο τηςΠολιτικής Οικονομίας (ή της Οικονομικής Επιστήμης) είναι η μελέτη των οικονομικών προβλημάτων που δημιουργούνται μέσα σε μια κοινωνία. Τα προβλήματα αυτά είναι πολλά και ποικίλα. Όμως μπορούν να καταταγούν σε τέσσερις κατηγορίες, που μπορούν να εκφραστούν με την μορφή ερωτημάτων ως εξής:

Αντικείμενο της Πολιτικής Οικονομίας (ή της Οικονομικής Επιστήμης) είναι η μελέτη των οικονομικών προβλημάτων που δημιουργούνται μέσα σε μια κοινωνία. Τα προβλήματα αυτά είναι πολλά και ποικίλα. Όμως μπορούν να καταταγούν σε τέσσερις κατηγορίες, που μπορούν να εκφραστούν με την μορφή ερωτημάτων ως εξής:

Αντικείμενο της Πολιτικής Οικονομίας (ή της Οικονομικής Επιστήμης) είναι η μελέτη των οικονομικών προβλημάτων που δημιουργούνται μέσα σε μια κοινωνία. Τα προβλήματα αυτά είναι πολλά και ποικίλα. Όμως μπορούν να καταταγούν σε τέσσερις κατηγορίες, που μπορούν να εκφραστούν με την μορφή ερωτημάτων ως εξής:

15. Ελαστικότητα της ζήτησης ως προς το εισόδημα ή εισοδηματική ελαστικότητα

Όπως εξετάσαμε την ελαστικότητα της ζήτησης ως προς την τιμή, μπορούμε να εξετάσουμε την ελαστικότητα της ζήτησης ως προς οποιονδήποτε άλλον προσδιοριστικό παράγοντα της ζήτησης ενός αγαθού. Συνήθως μας ενδιαφέρει η ελαστικότητα της ζήτησης ως προς το εισόδημα.

Η ελαστικότητα της ζήτησης ως προς το εισόδημα εκφράζει την αντίδραση των καταναλωτών στη ζητούμενη ποσότητα ενός αγαθού που οφείλεται στις μεταβολές του εισοδήματός τους, όταν η τιμή και οι άλλοι προσδιοριστικοί παράγοντες της ζήτησης παραμένουν σταθεροί. Η εισοδηματική ελαστικότητα υπολογίζεται με το λόγο της ποσοστιαίας μεταβολής της ζητούμενης ποσότητας προς την ποσοστιαία μεταβολή του εισοδήματος. Αν παραστήσουμε με Υ το εισόδημα και ΕΥ την εισοδηματική ελαστικότητα, τότε:

pic143

Μπορούμε να εξετάσουμε παραδείγματα υπολογισμού εισοδηματικής ελαστικότητας από τα υποθετικά δεδομένα του πίνακα 2.7., όπου δίνονται οι ζητούμενες ποσότητες, καθώς μεταβάλλεται το εισόδημα με σταθερούς όλους τους άλλους παράγοντες και την τιμή.

Πίνακας 2.7.

  Ζητούμενη
ποσότητα
Q
Τιμή
Μονάδος
Ρ
Εισόδημα
Καταναλωτών
Υ
A 10 150 50.000
Β 12 150 55.000
Γ 15 150 60.000
Δ 18 150 72.000
Ε 22,5 150 96.000

Έτσι:

Η εισοδηματική ελαστικότητα, όταν έχουμε αύξηση του εισοδήματος από το σημείο Α στο σημείο Β, είναι:

pic144

Όταν έχουμε μείωση του εισοδήματος από το σημείο Ε στο σημείο Δ, η εισοδηματική ελαστικότητα είναι:

pic145

Είναι φανερό ότι η εισοδηματική ελαστικότητα δεν είναι ανάγκη να είναι (δια σε όλα τα επίπεδα του εισοδήματος.

Τιμές της εισοδηματικής ελαστικότητας για κανονικά και κατώτερα αγαθά

Τα αγαθά των οποίων η ζήτηση αυξάνεται, όταν το εισόδημα των καταναλωτών αυξάνεται , ονομάζονται κανονικά αγαθά. Η εισοδηματική ελαστικότητα των αγαθών αυτών είναι θετική.

Τα αγαθά των οποίων η ζήτηση μειώνεται, όταν το εισόδημα των καταναλωτών αυξάνεται, ονομάζονται κατώτερα αγαθά. Η εισοδηματική ελαστικότητα των αγαθών αυτών είναι αρνητική.

Κατώτερα χαρακτηρίζονται τα αγαθά χαμηλής ποιότητας, για τα οποία υπάρχουν υποκατάστατα ανώτερης ποιότητας, δηλαδή τα κανονικά αγαθά. Οι καταναλωτές με χαμηλά εισοδήματα ικανοποιούν τις ανάγκες τους κυρίως με κατώτερα αγαθά. Όταν όμως αυξάνεται το εισόδημά τους, αρχίζουν να υποκαθιστούν τα αγαθά αυτά με άλλα ανώτερης ποιότητας. Για παράδειγμα, αρχίζουν να καταναλώνουν βούτυρο αντί για φτηνή μαργαρίνη, νωπά ψάρια αντί για κατεψυγμένα κτλ.

Σχόλια
Οι μεταβολές της τιμής ενός αγαθού μεταβάλλουν τη ζητούμενη ποσότητα του αγαθού, σύμφωνα με το νόμο της ζήτησης, ενώ οι μεταβολές όλων των άλλων προσδιοριστικών παραγόντων της ζήτησης (π.χ. το εισόδημα), μεταβάλλουν τη ζήτηση του αγαθού, δηλαδή, ολόκληρη τη συνάρτηση ζήτησης. Ο υπολογισμός της εισοδηματικής ελαστικότητας προϋποθέτει μεταβολή του εισοδήματος με σταθερή την τιμή του αγαθού και αμετάβλητους τους λοιπούς προσδιοριστικούς παράγοντες της ζήτησης.

ΚΕΦΑΛΑΙΟ ΔΕΥΤΕΡΟ
Ερωτήσεις - Ασκήσεις

1. Να σημειωθεί η σωστή απάντηση στην πρόταση:

Η ζήτηση ενός κατώτερου αγαθού αυξάνεται, όταν:

(α) Αυξάνεται η τιμή του.
(β) Μειώνεται η τιμή του.
(γ) Αυξάνεται το εισόδημα των καταναλωτών.
(δ) Μειώνεται το εισόδημα των καταναλωτών.
(ε) Μειώνεται η τιμή ενός υποκατάστατου.
2. Στο διάγραμμα δίνεται η ευθεία καμπύλη ζήτησης ΑΒ και το μέσο της ευθείας Μ. Στην τιμή Ρ1 η ζητούμενη ποσότητα είναι Q1 και η συνολική δαπάνη P1 Q1 ενώ στη τιμή P2 η ζητούμενη ποσότητα είναι Q2. Ποια συνολική δαπάνη είναι μεγαλύτερη; pic146
 
3. Στο διάγραμμα δίνονται δύο παράλληλες καμπύλες ζήτησης D1 και D2. Στην τιμή Ρ1 ποια καμπύλη έχει τη μεγαλύτερη ελαστικότητα ζήτησης ως προς την τιμή; pic147
 
4. Το αγαθό Χ είναι υποκατάστατο του αγαθού Ψ. Η ελαστικότητα ζήτησης ως προς την τιμή για το αγαθό Χ είναι - 0,8 και για το αγαθό Ψ είναι - 0,6. Αν αυξηθεί η τιμή του αγαθού Χ, ποιες από τις ακόλουθες προτάσεις είναι σωστές;
 

(α) Αύξηση της συνολικής δαπάνης των καταναλωτών για το αγαθό Χ.
(β) Αύξηση της συνολικής δαπάνης των καταναλωτών για το αγαθό Ψ.
(γ) Αύξηση της ζητούμενης ποσότητας του αγαθού Ψ.
(δ) Μείωση της ζητούμενης ποσότητας του αγαθού Χ.
(ε) Αύξηση της ζήτησης του αγαθού Ψ.

5. Το αγαθό Κ είναι συμπληρωματικό του αγαθού Α. Η ελαστικότητα ζήτησης ως προς την τιμή για το αγαθό Κ είναι -1,3 και για το αγαθό Λ είναι -1,2. Αν αυξηθεί η τιμή του αγαθού Κ, ποιες από τις ακόλουθες προτάσεις είναι σωστές;
 

(α) Αύξηση της συνολικής δαπάνης των καταναλωτών για το αγαθό Κ.
(β) Αύξηση της συνολικής δαπάνης των καταναλωτών για το αγαθό Α.
(γ) Αύξηση της ζητούμενης ποσότητας του αγαθού Λ.
(δ) Μείωση της ζητούμενης ποσότητας του αγαθού Κ.
(ε) Μείωση της ζήτησης του αγαθού Λ.

6. Να συμπληρωθεί ο παρακάτω πίνακας , όταν:
Η ελαστικότητα ζήτησης από το Α στο Β είναι -0,4 και από το Γ στο Β είναι -0,5.
 
 
Ρ
Τιμή
QD
Ζητούμενη Ποσότητα
Α 50 150
Β 60  
Γ   100
 
7. Η ζήτηση ενός αγαθού δίνεται από τη συνάρτηση QD = 300 - 2Ρ. Να βρεθεί η ελαστικότητα ζήτησης ως προς την τιμή, όταν η τιμή του αγαθού αυξάνεται από 50 ευρώ σε 60 ευρώ
8. Με τα δεδομένα του πίνακα να βρεθούν οι ελαστικότητες ζήτησης ως προς το εισόδημα και οι ελαστικότητες ζήτησης ως προς την τιμή. Πόσες καμπύλες ζήτησης μπορούν να γίνουν με τα δεδομένα του πίνακα;
 
 
Ρ
Τιμή
Q
Ζητούμενη Ποσότητα
γ
Εισόδημα
Α 100 50 200.000
Β 100 120 250.000
Γ 80 200 300.000
Δ 150 30 200.000
Ε 150 80 250.000
 
9. Η αρχικά ζητούμενη ποσότητα είναι 400 κιλά. Αν αυξηθεί το εισόδημα 15% (εισοδηματική ελαστικότητα 0,8) και μετά αυξηθεί η τιμή 10% ( ελαστικότητα ζήτησης ως προς την τιμή -0,5), ποια είναι η τελικά ζητούμενη ποσότητα;
    [ΑΠ: 425,6]
10. Η ελαστικότητα ζήτησης ως προς την τιμή ενός αγαθού είναι -0,4. Αν μειωθεί η τιμή του κατά 10%, ποια είναι η ποσοστιαία μείωση της συνολικής δαπάνης των καταναλωτών;
    [ΑΠ: - 6,4%]
lorem
Άλφρεντ Μάρσαλ (1842-1924) άσκησε μεγάλη επίδραση
στην ανάπτυξη και εξέλιξη της οικονομικής σκέψης
κυρίως στο πρόβλημα του
προσδιορισμού των τιμών.
Κύριο έργο του είναι οι αρχές της οικονομικής.