Φυσική (Γ Λυκείου Θετικών Σπουδών) - Βιβλίο Μαθητή
2-5 ΣΤΑΣΙΜΑ ΚΥΜΑΤΑ 2-7 Η ΜΕΤΑΔΟΣΗ ΚΑΙ ΛΗΨΗ ΣΗΜΑΤΩΝ ΜΕ ΗΛΕΚΤΡΟΜΑΓΝΗΤΙΚΑ ΚΥΜΑΤΑ Επιστροφή στην αρχική σελίδα του μαθήματος
2-6 ΠΑΡΑΓΩΓΗ ΗΛΕΚΤΡΟΜΑΓΝΗΤΙΚΩΝ ΚΥΜΑΤΩΝ

Στο κεφάλαιο αυτό θα ασχοληθούμε με την παραγωγή και τα χαρακτηριστικά του ηλεκτρομαγνητικού κύματος. Τα κύματα που γνωρίσαμε (μηχανικά) αφορούσαν στη διάδοση μιας υλικής διαταραχής. Με τρόπο ανάλογο, όπως θα δούμε, διαδίδεται και μια ηλεκτρομαγνητική διαταραχή.

Γνωρίζουμε ότι ένα σύστημα δύο φορτίων +Q και -Q δημιουργεί ηλεκτρικό πεδίο (σχ. 2.18α) και ότι ένας αγωγός που διαρρέεται από ρεύμα δημιουργεί γύρω του μαγνητικό πεδίο (σχ. 2.1 8β) Αν συνδέσουμε δυο μεταλλικούς αγωγούς στους πόλους μιας πηγής συνεχούς τάσης, οι αγωγοί φορτίζονται με φορτία +Q και -Q, αντίστοιχα (σχ. 2.18γ). Οι ίδιοι αγωγοί, αν συνδεθούν με γεννήτρια εναλλασσόμενης τάσης, όπως φαίνεται στο σχήμα 2.18δ, αποκτούν ετερόσημα φορτία, +q και -q, που

Σχ. 2.18 (α) Ηλεκτρικό πεδίο δύο σημειακών φορτίον. (β) Μαγνητικό πεδίο ευθύγραμμου αγωγού, (γ) Μεταλλικοί αγωγοί συνδέονται με πηγή συνεχούς τάσης. Οι αγωγοί φορτίζονται με φορτία ±Q. (δ) Οι αγωγοί συνδέονται με γεννήτρια εναλλασσόμενης τάσης. Το φορτίο των αγωγών μεταβάλλεται ημιτονοειδώς με το χρόνο. Η διάταξη διαρρέεται από εναλλασσόμενο ρεύμα.
Σχ. 2.18 (α) Ηλεκτρικό πεδίο δύο σημειακών φορτίον. (β) Μαγνητικό πεδίο ευθύγραμμου αγωγού, (γ) Μεταλλικοί αγωγοί συνδέονται με πηγή συνεχούς τάσης. Οι αγωγοί φορτίζονται με φορτία ±Q. (δ) Οι αγωγοί συνδέονται με γεννήτρια εναλλασσόμενης τάσης. Το φορτίο των αγωγών μεταβάλλεται ημιτονοειδώς με το χρόνο. Η διάταξη διαρρέεται από εναλλασσόμενο ρεύμα.
 


μεταβάλλονται ημιτονοειδώς με το χρόνο. Αυτό σημαίνει ότι οι δύο αγωγοί διαρρέονται από εναλλασσόμενο ρεύμα. Το σύστημα αυτών των αγωγών ονομάζεται ταλαντούμενο ηλεκτρικό δίπολο.

Θα δούμε στη συνέχεια ότι το ταλαντούμενο ηλεκτρικό δίπολο αποτελεί την κεραία εκπομπής των ηλεκτρομαγνητικών κυμάτων σε ραδιοφωνικούς και τηλεοπτικούς σταθμούς.

Στο σχήμα 2.19 απεικονίζεται η διαδικασία παραγωγής ηλεκτρομαγνητικού κύματος από ένα ταλαντούμενο ηλεκτρικό δίπολο. Τη χρονική στιγμή μηδέν οι αγωγοί είναι αφόρτιστοι (σχ.2.19α). Καθώς η εναλλασσόμενη τάση μεταβάλλεται, στον επάνω αγωγό εμφανίζεται αρνητικό φορτίο -q, ενώ στον άλλο εμφανίζεται θετικό φορτίο +q, με συνέπεια να δημιουργείται γύρω από αυτούς ηλεκτρικό πεδίο. Τη χρονική στιγμή t=T/4 τα φορτία στους αγωγούς έχουν πάρει τη μέγιστη τιμή. Το ηλεκτρικό πεδίο που είχε δημιουργηθεί από τη στιγμή μηδέν μέχρι τη στιγμή T/4  έχει απομακρυνθεί από τους αγωγούς (σχ. 2.19β). Από τη στιγμή αυτή, τα φορτία στους αγωγούς μειώνονται. Αυτό συνεπάγεται μείωση της έντασης του ηλεκτρικού πεδίου που δημιουργούν. Ένα τέταρτο της περιόδου αργότερα τα φορτία έχουν μηδενισθεί. Εν τω μεταξύ το ηλεκτρικό πεδίο που είχε δημιουργηθεί μέχρι τότε απομακρύνεται από τους αγωγούς, με ταχύτητα c (σχ. 2.19γ). Στη συνέχεια, καθώς η πολικότητα της πηγής αλλάζει, στον επάνω αγωγό εμφανίζεται θετικό φορτίο και στον κάτω αρνητικό. Τα φορτία παίρνουν τη μέγιστη τιμή τους τη στιγμή 3T/4, και μηδενίζονται τη στιγμή Τ. Το φαινόμενο επαναλαμβάνεται συνεχώς.

Σχ. 2.19 Ο κύκλος λειτουργίας ταλαντούμενου ηλεκτρικού δίπολου. Στο σχήμα απεικονίζεται μόνο το ηλεκτρικό πεδίο που δημιουργείται. Το σχέδιο δεν ανταποκρίνεται στις πραγματικές διαστάσεις.

Σχ. 2.19 Ο κύκλος λειτουργίας ταλαντούμενου ηλεκτρικού δίπολου. Στο σχήμα απεικονίζεται μόνο το ηλεκτρικό πεδίο που δημιουργείται. Το σχέδιο δεν ανταποκρίνεται στις πραγματικές διαστάσεις.

 

Στο ίδιο χρονικό διάστημα δημιουργείται και μαγνητικό πεδίο διότι οι αγωγοί διαρρέονται από εναλλασσόμενο ρεύμα. Η ένταση του ρεύματος - επομένως και το μαγνητικό πεδίο- έχει τη μέγιστη τιμή τη χρονική στιγμή μηδέν (σχ. 2.20). Το ρεύμα μηδενίζεται τη στιγμή Τ/4. Στο μεταξύ το μαγνητικό πεδίο που είχε δημιουργηθεί απλώνεται στο χώρο. Τη στιγμή T/2 οι αγωγοί διαρρέονται πάλι από ρεύμα, μέγιστης έντασης. Αυτή τη φορά, όμως, ή φορά του ρεύματος- και των γραμμών του μαγνητικού πεδίου- είναι αντίθετη από την αρχική. Γύρω από τους αγωγούς έχει δημιουργηθεί εκ νέου μαγνητικό πεδίο. Το μαγνητικό πεδίο γύρω από τους αγωγούς μεταβάλλεται με τη συχνότητα με την οποία μεταβάλλεται το ρεύμα στους αγωγούς.

Αυτό που έχει σημασία είναι ότι, καθώς τα ηλεκτρικά φορτία ταλαντώνονται, το ηλεκτρικό και το μαγνητικό πεδίο που συνεχώς δημιουργούν απομακρύνονται από το δίπολο (διαδίδονται) με την ταχύτητα του φωτός (c).

Μια διαταραχή που διαδίδεται ονομάστηκε κύμα. Η κατάλληλη ονομασία για αυτού του είδους τις διαταραχές (ηλεκτρικών και μαγνητικών πεδίων) που διαδίδονται είναι "ηλεκτρομαγνητικό κύμα".
Σχ. 2.20 Το ταλαντούμενο ηλεκτρικό δίπολο διαρρέεται από εναλλασσόμενο ρεύμα και δημιουργεί γύρω του μεταβαλλόμενο μαγνητικό πεδίο

Σχ. 2.20 Το ταλαντούμενο ηλεκτρικό δίπολο διαρρέεται από εναλλασσόμενο ρεύμα και δημιουργεί γύρω του μεταβαλλόμενο μαγνητικό πεδίο
  1. Ηλεκτρομαγνητικό κύμα είναι η ταυτόχρονη διάδοση ενός ηλεκτρικού καιενός μαγνητικού πεδίου. Τα ηλεκτρομαγνητικά κύματα διαδίδονται στο κενό με την ταχύτητα του φωτός. Σε όλα τα υλικά διαδίδονται με μικρότερη ταχύτητα.

Από τη μελέτη των ηλεκτρομαγνητικών κυμάτων διαπιστώθηκε ότι

Το ηλεκτρομαγνητικό κύμα είναι εγκάρσιο. Τα διανύσματα του ηλεκτρικού και του μαγνητικού πεδίου είναι κάθετα μεταξύ τους και κάθετα στη διεύθυνση διάδοσης του κύματος.
Κάθε στιγμή το πηλίκο των μέτρων των εντάσεων του ηλεκτρικού και του μαγνητικού πεδίου ισούται με την ταχύτητα του φωτός Εικόνα
Τα ηλεκτρομαγνητικά κύματα - όπως και τα μηχανικά - υπακούουν στην αρχή της επαλληλίας.

Τα ηλεκτρομαγνητικά κύματα δημιουργούνται από μεταβαλλόμενα ηλεκτρικά και μαγνητικά πεδία. Ένα σταθερό ηλεκτρικό πεδίο ή ένα σταθερό μαγνητικό πεδίο δεν παράγει ηλεκτρομαγνητικό κύμα. Αυτό σημαίνει ότι τα ακίνητα φορτία καθώς και τα φορτία που κινούνται με σταθερή ταχύτητα (σταθερά ρεύματα) δε μπορούν να δημιουργήσουν ηλεκτρομαγνητικό κύμα. Μόνο ηλεκτρικά φορτία που επιταχύνονται δημιουργούν ηλεκτρομαγνητικά κύματα.

Η αιτία δημιουργίας του ηλεκτρομαγνητικού κύματος είναι η επιταχυνόμενη κίνηση των ηλεκτρικών φορτίων.

 
 

Οι κεραίες των ραδιοφωνικών ή τηλεοπτικών σταθμών είναι ταλαντούμενα ηλεκτρικά δίπολα. Κατά την ταλάντωση του φορτίου στην κεραία παράγεται ηλεκτρομαγνητικό κύμα. Το ρεύμα στην κεραία γίνεται μέγιστο όταν τα φορτία στα άκρα της μηδενίζονται ενώ όταν τα φορτία έχουν μέγιστη τιμή, το ρεύμα μηδενίζεται Αυτό σημαίνει ότι, κοντά στην κεραία, το ηλεκτρικό και το μαγνητικό πεδίο έχουν διαφορά φάσης 90° (όταν το ένα είναι μέγιστο το άλλο είναι μηδέν). Σε μεγάλη όμως απόσταση από την κεραία τα δύο πεδία είναι σε φάση.

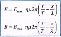
Οι εξισώσεις που περιγράφουν το ηλεκτρικό και το μαγνητικό πεδίο ενός αρμονικού ηλεκτρομαγνητικού κύματος που διαδίδεται κατά τη διεύθυνση x είναι

Εικόνα

Στο σχήμα (2.21) φαίνεται το στιγμιότυπο ενός αρμονικού ηλεκτρομαγνητικού κύματος.

Σχ. 2.21 Στιγμιότυπο αρμονικού ηλεκτρομαγνητικού κύματος, διαδιδόμενου κατά τη διεύθυνση χ.

Σχ. 2.21 Στιγμιότυπο αρμονικού ηλεκτρομαγνητικού κύματος, διαδιδόμενου κατά τη διεύθυνση x.