Φυσική (Γ Λυκείου Θετικών Σπουδών) - Βιβλίο Μαθητή
2-3 ΕΠΑΛΛΗΛΙΑ Ή ΥΠΕΡΘΕΣΗ ΚΥΜΑΤΩΝ 2-5 ΣΤΑΣΙΜΑ ΚΥΜΑΤΑ Επιστροφή στην αρχική σελίδα του μαθήματος
2-4 ΣΥΜΒΟΛΗ ΔΥΟ ΚΥΜΑΤΩΝ ΣΤΗΝ ΕΠΙΦΑΝΕΙΑ ΥΓΡΟΥ

Οι εικόνες 2.4α και 2.4β δείχνουν το αποτέλεσμα της συμβολής δύο
όμοιων κυμάτων στην επιφάνεια νερού. Τα κύματα προκαλούνται στην
επιφάνεια νερού από τις πηγές Α και Β.

Εικ. 2.4 Η συμβολή δύο κυμάτων στην επιφάνεια νερού

                           Εικ. 2.4 Η συμβολή δύο κυμάτων στην επιφάνεια νερού

 
Σχ. 2.12 Στα σημεία Φ0, Φ1, Φ2,... για τα οποία οι αποστάσεις από τις δύο πηγές διαφέρουν ακέραιο πολλαπλάσιο του μήκους κύματος έχουμε ενίσχυση.
Σχ. 2.12 Στα σημεία Φ0, Φ1, Φ2,... για τα οποία οι αποστάσεις από τις δύο πηγές διαφέρουν ακέραιο πολλαπλάσιο του μήκους κύματος έχουμε ενίσχυση.





Σχ. 2.13 Στα σημεία Σ1, Σ2,... για τα οποία οι αποστάσεις από τις δύο πηγές διαφέρουν περιττό πολλαπλάσιο του μισού μήκους κύματος έχουμε απόσβεση.
Σχ. 2.13 Στα σημεία Σ1, Σ2,... για τα οποία οι αποστάσεις από τις δύο πηγές διαφέρουν περιττό πολλαπλάσιο του μισού μήκους κύματος έχουμε απόσβεση.

Βλέπουμε ότι υπάρχουν σημεία (τα οποία μάλιστα σχηματίζουν γραμμές) που παραμένουν ακίνητα, ενώ άλλα ταλαντώνονται πολύ έντονα.

Στο σχήμα 2.12 το σημείο Φo είναι ένα σημείο στην επιφάνεια του νερού που απέχει εξίσου από τα σημεία Α και Β, (r1 = r2).

Επειδή τα δύο κύματα ξεκινούν ταυτόχρονα από τις πηγές και η απόσταση που διανύουν μέχρι να φτάσουν στο Φo είναι ίδια, όταν στο Φo φτάνει "όρος" από τη μια πηγή, θα φτάνει "όρος" και από την άλλη. Σύμφωνα με την αρχή της επαλληλίας, στο Φo θα δημιουργηθεί "όρος" με διπλάσιο ύψος. Μετά από χρόνο T/2 στο σημείο Φo θα φτάσουν ταυτόχρονα δύο "κοιλάδες", έτσι η κοιλάδα που θα δημιουργηθεί στο Φo θα έχει διπλάσιο βάθος. Στην περίπτωση αυτή λέμε ότι τα δύο κύματα συμβάλλουν ενισχυτικά.

Ενισχυτική συμβολή έχουμε και σε άλλα σημεία. Για παράδειγμα και στο σημείο Φ1, στο οποίο r1-r2=λ. Όταν στο σημείο Φ1 φτάνει "όρος" που προέρχεται από την πηγή Β, ταυτόχρονα φτάνει "όρος" που προέρχεται από την πηγή Α και δημιουργήθηκε μια περίοδο νωρίτερα. Το ίδιο συμβαίνει σε όλα εκείνα τα σημεία στα οποία η διαφορά των αποστάσεών τους από τις δύο πηγές είναι ακέραια πολλαπλάσια του μήκους κύματος.

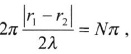
Ας εξετάσουμε τώρα την περίπτωση ενός σημείου Σ1 (σχ. 2.13), στο οποίο οι αποστάσεις r1 και r2 από τις πηγές Α και Β, διαφέρουν κατά λ/2. Όπως είπαμε τα "όρη" ξεκινούν ταυτόχρονα από τις δύο πηγές. Όταν στο σημείο Σ1 φτάνει όρος προερχόμενο από την πηγή Β, από την πηγή Α θα φτάνει κοιλάδα, με αποτέλεσμα τα δύο κύματα να αλληλοαναιρούνται. Μετά από χρόνο Τ/2, στο σημείο Σ1, θα φτάσει "κοιλάδα" από το Β και "όρος" από το Α. Το άθροισμά τους θα είναι πάλι μηδέν. Το σημείο Σ1 παραμένει διαρκώς ακίνητο. Το ίδιο συμβαίνει με όλα εκείνα τα σημεία, στην επιφάνεια του νερού, στα οποία η διαφορά των αποστάσεών τους από τις δύο πηγές είναι ίση με περιττό πολλαπλάσιο του λ/2. Επομένως

Τα σημεία των οποίων οι αποστάσεις r1 και r2, από τις δύο πηγές, διαφέρουν κατά ακέραιο πολλαπλάσιο του μήκους κύματος λ

(δηλαδη r1-r2=Νλ όπου Ν=0, ±1, ±2...)
ταλαντώνονται με μέγιστο πλάτος. Τότε έχουμε ενίσχυση.
Τα σημεία των οποίων οι αποστάσεις r1 και r2, από τις δύο πηγές, διαφέρουν κατά περιττό πολλαπλάσιο του μισού μήκους κύματος (λ/2)

(δηλαδη r1-r2=(2N+1)λ/2 όπου Ν=0, ±1, ±2...)
μένουν διαρκώς ακίνητα. Τότε έχουμε απόσβεση.
Όλα τα υπόλοιπα σημεία κάνουν ταλάντωση με ενδιάμεσο πλάτος

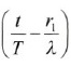
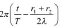
Τα συμπεράσματα αυτά μπορούν να γίνουν πιο πειστικά αν μελετήσουμε μαθηματικά το φαινόμενο. Έστω ότι ένα τυχαίο σημείο του μέσου στο οποίο διαδίδονται ταυτόχρονα κύματα που προέρχονται από τις πηγές Α και Β, απέχει από αυτές r1 και r2 αντίστοιχα. Μια τυχαία χρονική στιγμή t το σημείο αυτό έχει απομάκρυνση,
y1 = Aημ2πΕικόνα εξαιτίας του πρώτου κύματος και                    (2.5)


y2 = Aημ2πΕικόναεξαιτίας του δευτέρου                                      (2.6)

Σύμφωνα με την αρχή της επαλληλίας, η απομάκρυνση του σημείου αυτού από τη θέση ισορροπίας του τη χρονική στιγμή t θα είναι

y = y1 + y2


η οποία βάσει των (2.5) και (2.6) γίνεται

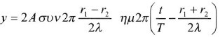
y = A [ ημ2πΕικόνα + ημ2πΕικόνα ]                            (2.7)
Κάνοντας χρήση της τριγωνομετρικής ταυτότητας
ημα + ημβ = 2συν Εικόνα η σχέση (2.7) γίνεται

Εικόνα
Επομένως το αποτέλεσμα της συμβολής είναι ταλάντωση που έχει πλάτος

Εικόνα
και φάση            Εικόνα
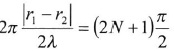
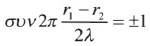
Σύμφωνα με τη (2.8), το πλάτος της ταλάντωσης γίνεται μέγιστο (A'=2A)
όταν          Εικόνα
ή όταν Εικόνα
δηλαδή στα σημεία για τα οποία
| r1 - r2| = Nλ          όπου Ν=0, 1, 2,..
Όταν          Εικόνα
δηλαδή         Εικόνα
ή                 | r1 - r2| = (2N+1)λ/2          όπου Ν=0, 1, 2,..

η (2.8) δίνει ότι Α' = 0 . Δηλαδή τα σημεία αυτά παραμένουν διαρκώς ακίνητα.

Ο γεωμετρικός τόπος των σημείων για τα οποία ισχύει r1 - r2=σταθ. είναι υπερβολή. Επομένως τα σημεία στα οποία έχουμε ενισχυτική συμβολή και τα σημεία στα οποία έχουμε απόσβεση, βρίσκονται πάνω σε υπερβολές.

Σημείωση : Η μελέτη του φαινομένου της συμβολής, όπως έγινε, αφορούσε στη συμβολή δύο κυμάτων των οποίων οι πηγές βρίσκονται σε φάση (δηλαδή δημιουργούν ταυτόχρονα μέγιστα και ελάχιστα). Τέτοιες πηγές ονομάζονται σύγχρονες. Συμβολή, όμως, έχουμε κάθε φορά που δύο κύματα διαδίδονται στο ίδιο μέσο.

ΠΑΡΑΔΕΙΓΜΑ 2-1

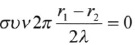
Δύο σημειακές πηγές ήχου Α και Β εκπέμπουν αρμονικό ήχο ίδιας συχνότητας και βρίσκονται σε φάση. Στο μέσο Μ της απόστασής τους, ο ήχος ακούγεται έντονος. Στο σημείο Γ, που βρίσκεται πάνω στην ευθεία ΑΒ, σε απόσταση x=4 cm από το σημείο Μ, ο ήχος μηδενίζεται για πρώτη φορά. Να βρεθεί η συχνότητα του ήχου που εκπέμπεται από τις δύο πηγές. Η ταχύτητα του ήχου στον αέρα είναι u=340 m/s.

Απάντηση :                                                                                                                        
                                                                                                                               
Απόσβεση έχουμε στα σημεία, της ευθείας ΑΒ, στα οποία ισχύει

| r1 - r2| = (2N+1)λ/2      όπου       Ν=0, ±1, ±2...
Στο σημείο Γ όπου για πρώτη φορά παρατηρείται απόσβεση Ν= 0 Επομένως       r1 - r2 = λ/2
Αν το σημείο Γ βρίσκεται πλησιέστερα στο Β τότε

AM + x - ( BM - x) = λ/2      ή      2x = λ/2      άρα      λ = 4x = 16cm
και                                    f =Εικόνα = 2125 Hz