Φυσική (Γ Λυκείου Θετικών Σπουδών) - Βιβλίο Μαθητή
2-1 ΕΙΣΑΓΩΓΗ 2-3 ΕΠΑΛΛΗΛΙΑ Ή ΥΠΕΡΘΕΣΗ ΚΥΜΑΤΩΝ Επιστροφή στην αρχική σελίδα του μαθήματος

Εικ. 2.1 Κύμα στην επιφάνεια της θάλασσας.

Εικ. 2.1 Κύμα στην επιφάνεια της θάλασσας.

Σχ. 2.1 Κατά τη διάδοση ενός κύματος σε ένα ελαστικό μέσο τα σημεία του μέσου κινούνται γύρω από μια θέση ισορροπίας. Κατά τη διάδοση του κύματος δε μεταφέρεται ύλη.

Σχ. 2.1 Κατά τη διάδοση ενός κύματος σε ένα ελαστικό μέσο τα σημεία του μέσου κινούνται γύρω από μια θέση ισορροπίας. Κατά τη διάδοση του κύματος δε μεταφέρεται ύλη.
2-2 ΜΗΧΑΝΙΚΑ ΚΥΜΑΤΑ

Αν προκληθεί μια διαταραχή σε ένα υλικό που ηρεμεί (ισορροπεί), τα μόριά του, στην περιοχή όπου προκλήθηκε η διαταραχή, μετατοπίζονται από τις θέσεις ισορροπίας τους. Επειδή όμως τα μόρια αυτά αλληλεπιδρούν με τα γειτονικά τους δέχονται δυνάμεις που τείνουν να τα επαναφέρουν στις αρχικές τους θέσεις ενώ στα διπλανά τους ασκούνται δυνάμεις που τείνουν να τα εκτρέψουν από τη θέση ισορροπίας. Έτσι, η διαταραχή διαδίδεται από τη μια περιοχή του υλικού στην άλλη και όλα τα σημεία του υλικού εκτελούν διαδοχικά την ίδια κίνηση. Η διάδοση αυτής της διαταραχής στο χώρο ονομάζεται κύμα.

Για τη δημιουργία ενός κύματος χρειάζονται η πηγή της διαταραχής ή πηγή του κύματος, δηλαδή η αιτία που θα προκαλέσει τη διαταραχή και ένα υλικό (μέσο) στο οποίο κάθε μόριο αλληλεπιδρά με τα γειτονικά του (ελαστικό μέσο).

Τα κύματα που διαδίδονται σε ένα ελαστικό μέσο ονομάζονται μηχανικά κύματα. Ο κυματισμός στην επιφάνεια της θάλασσας, η διάδοση των δονήσεων κατά μήκος ενός στερεού και ο ήχος είναι μερικά παραδείγματα μηχανικών κυμάτων.

Κατά τη διάδοση ενός κύματος δεν έχουμε μεταφορά ύλης από μια περιοχή του ελαστικού μέσου σε άλλη. Τα μόρια του ελαστικού μέσου κινούνται γύρω από τη θέση ισορροπίας τους.

Για να προκαλέσουμε την κυματική διαταραχή πρέπει να δώσουμε ενέργεια σε κάποια περιοχή του μέσου. Η ενέργεια αυτή μεταφέρεται με το κύμα σε άλλες περιοχές του μέσου. Κατά τη διάδοση ενός κύματος μεταφέρεται ενέργεια και ορμή από το ένα σημείο του μέσου στο άλλο, όχι όμως και ύλη.

Εικ. 2.2 Τα κύματα στη θάλασσα μεταφέρουν μεγάλα ποσά ενέργειας και συχνά προκαλούν καταστροφές στις ακτές.

Εικ. 2.2 Τα κύματα στη θάλασσα μεταφέρουν μεγάλα ποσά ενέργειας και συχνά προκαλούν καταστροφές στις ακτές.

Αν σε χρόνο t μια διαταραχή διαδίδεται σε απόσταση x από την πηγή παραγωγής της, το πηλίκο

Εικόνα                                                   (2.1)


είναι η ταχύτητα διάδοσης του κύματος.

Η ταχύτητα με την οποία διαδίδεται ένα κύμα σε ένα μέσον εξαρτάται μόνο από τις ιδιότητες του μέσου που διαταράσσεται και όχι από το πόσο ισχυρή είναι η διαταραχή. Λόγου χάρη ο ήχος, σε θερμοκρασία 20°C, διαδίδεται στον αέρα με ταχύτητα 344 m/s, ανεξάρτητα από το αν είναι ισχυρός ή ασθενής. Στα στερεά ο ήχος διαδίδεται με μεγαλύτερη ταχύτητα.

Στο σημείο αυτό να επισημάνουμε τη διάκριση ανάμεσα στην ταχύτητα του κύματος, που είναι σταθερή, και την ταχύτητα με την οποία κινούνται τα σημεία του μέσου γύρω από τη θέση ισορροπίας τους, που δεν είναι σταθερή.

Με κριτήριο τη διεύθυνση στην οποία κινούνται τα σημεία του ελαστικού μέσου, τα κύματα διακρίνονται σε εγκάρσια και σε διαμήκη.
Τα εγκάρσια κύματα διαδίδονται στα στερεά. Τα διαμήκη διαδίδονται τόσο στα στερεά όσο και στα υγρά και τα αέρια.

Εγκάρσια ονομάζονται τα κύματα στα οποία όλα τα σημεία του ελαστικού μέσου ταλαντώνονται κάθετα στη διεύθυνση διάδοσης του κύματος. Τέτοια κύματα διαδίδονται κατά μήκος μιας χορδής. Τα κύματα που διαδίδονται στην επιφάνεια των υγρών μπορούν να θεωρηθούν κατά προσέγγιση εγκάρσια.

Διαμήκη ονομάζονται τα κύματα στα οποία τα σημεία του ελαστικού μέσου ταλαντώνονται παράλληλα στη διεύθυνση διάδοσης του κύματος. Τέτοιο είναι το κύμα που διαδίδεται κατά μήκος του ελατηρίου στο σχήμα 2.3.

Αν η πηγή εκτελεί περιοδική κίνηση τα σωματίδια του μέσου κινούνται επίσης περιοδικά. Το κύμα που προκύπτει τότε είναι ένα περιοδικό κύμα. Ειδικότερα, αν η κίνηση της πηγής είναι απλή αρμονική ταλάντωση όλα τα σωματίδια του μέσου εκτελούν επίσης απλή αρμονική ταλάντωση και το κύμα ονομάζεται ημιτονοειδές ή αρμονικό. Τα αρμονικά κύματα έχουν απλή μαθηματική περιγραφή και παίζουν έναν ιδιαίτερα σπουδαίο ρόλο. Οποιαδήποτε κυματική διαταραχή, όσο περίπλοκη και να είναι, μπορεί να θεωρηθεί ότι προέρχεται από το άθροισμα ενός αριθμού αρμονικών κυμάτων.

Η περίοδος (Τ) του κύματος είναι το χρονικό διάστημα στο οποίο ένα σωματίδιο του μέσου ολοκληρώνει την κίνησή του (αρμονική ταλάντωση). Εάν φωτογραφίζαμε το μέσο στο οποίο διαδίδεται ένα αρμονικό κύμα δυο χρονικές στιγμές που διαφέρουν κατά μια περίοδο θα βλέπαμε ότι όλα τα σωματίδια του μέσου, έχοντας εκτελέσει μια πλήρη ταλάντωση, βρίσκονται πάλι στις αρχικές τους θέσεις. Έτσι, παρόλο που το κύμα θα έχει προχωρήσει, η κυματική εικόνα που θα πάρουμε θα είναι ίδια. Επομένως περίοδος του κύματος είναι επίσης το χρονικό διάστημα στο οποίο η κυματική εικόνα επαναλαμβάνεται.


Σχ. 2.2 Τα κύματα στην επιφάνεια του νερού είναι κατά προσέγγιση εγκάρσια
Σχ. 2.2 Τα κύματα στην επιφάνεια του νερού είναι κατά προσέγγιση εγκάρσια


Σχ. 2.3 Διάμηκες κύμα

Σχ. 2.3 Διάμηκες κύμα


Σχ. 2.4 Στιγμιότυπο εγκάρσιου αρμονικού κύματος.

Σχ. 2.4 Στιγμιότυπο εγκάρσιου αρμονικού κύματος.
Σχ. 2.5 Μετά από χρόνο μιας περιόδου η κυματική εικόνα επαναλαμβάνεται

 

 

 

 

 

 

 

 

Σχ. 2.6 (α) Σε χρόνο Δt μια κορυφή του κύματος μετακινείται κατά uΔt. (β) Σε μια περίοδο μετακινείται κατά λ.

 

 

 

 

 

 

 


Σχ. 2.5 Μετά από χρόνο μιας περιόδου η κυματική εικόνα επαναλαμβάνεται

Η συχνότητα (f) με την οποία ταλαντώνονται τα σημεία του μέσου ονομάζεται και συχνότητα του κύματος. Η συχνότητα του κύματος δείχνει τον αριθμό των κορυφών (αν πρόκειται για εγκάρσιο κύμα) ή των πυκνωμάτων (αν πρόκειται για διάμηκες) που φτάνουν σε κάποιο σημείο του μέσου στη μονάδα του χρόνου κατά τη διάδοση του κύματος.

Η απόσταση στην οποία διαδίδεται το κύμα σε χρόνο μιας περιόδου ονομάζεται μήκος κύματος και συμβολίζεται με λ .

Στο σχήμα 2.6α βλέπουμε δύο στιγμιότυπα ενός εγκάρσιου αρμονικού κύματος σε χρονικές στιγμές που διαφέρουν κατά Δt. Σ' αυτό το χρονικό διάστημα μια κορυφή του κύματος μετακινήθηκε κατά υ Δt. Σε χρονικό διάστημα μιας περιόδου μια κορυφή (έστω αυτή με το βελάκι) θα έχει μετακινηθεί κατά ένα μήκος κύματος (σχ. 2.6β). Επομένως η απόσταση δύο διαδοχικών κορυφών είναι ίση με λ .
aaa

Θα μπορούσαμε, να ορίσουμε το μήκος κύματος ως την απόσταση μεταξύ δύο διαδοχικών σημείων του μέσου που απέχουν το ίδιο από τη θέση ισορροπίας τους και κινούνται κατά την ίδια φορά.

Αν στη σχέση (2.1) αντικαταστήσουμε το t με την περίοδο του κύματος η απόσταση x στην οποία διαδίδεται το κύμα είναι λ και η σχέση παίρνει τη μορφή

aaa                                             (2.2)


Επειδή Εικόνα η σχέση , τελικά, γίνεται

u=λf                                                 (2.3)   

 

Η σχέση αυτή ονομάζεται θεμελιώδης εξίσωση της κυματικής.

Η μαθηματική περιγραφή του αρμονικού κύματος

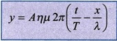
Ας υποθέσουμε ότι η πηγή αρμονικής διαταραχής Ο αρχίζει να ταλαντώνεται τη χρονική στιγμή t0 = 0 και ότι η ταλάντωσή της περιγράφεται από τη σχέση y = Αημωt. Ένα σημείο Μ του ελαστικού μέσου θα αρχίσει να ταλαντώνεται τη χρονική στιγμή t1 = Εικόνα. Επομένως τη χρονική στιγμή t, το σημείο Μ θα ταλαντώνεται επί χρόνο t - t1= t -Εικόνακαι, με την προϋπόθεση ότι το πλάτος της ταλάντωσης του Μ είναι ίσο με το πλάτος ταλάντωσης του Ο,1 η εξίσωση της κίνησής του θα είναι

y = Aημω ( t - Εικόνα)       ή       y = AημΕικόνα ( t - Εικόνα)
ή       y = Aημπ Εικόνα

ή, επειδή υ Τ = λ ,    Εικόνα    (2.4)

Αν το κύμα διαδίδεται κατά την αντίθετη φορά τότε

Εικόνα

Η (2.4) αποτελεί την εξίσωση του κύματος και δίνει κάθε στιγμή την απομάκρυνση που έχουν τα σημεία του ελαστικού μέσου από τη θέση ισορροπίας τους.

Το Α ονομάζεται πλάτος του κύματος και είναι η μέγιστη τιμή που μπορεί να πάρει η απομάκρυνση ενός σημείου του μέσου κατά την αρμονική ταλάντωση που εκτελεί.

Η γωνία 2πaaaονομάζεται φάση και μετριέται σε ακτίνια.
Επειδή η φάση εξαρτάται από την απόσταση x από την πηγή προκύπτει ότι τα σημεία του ελαστικού μέσου την ίδια χρονική στιγμή έχουν διαφορετικές φάσεις.

Γραφική παράσταση του κύματος

Από τη σχέση (2.4) φαίνεται ότι η απομάκρυνση y κάποιου σημείου του μέσου είναι συνάρτηση δύο μεταβλητών, του χρόνου t και της απόστασης x του σημείου από την πηγή. Για το λόγο αυτό δεν είναι δυνατό η σχέση (2.4) να παρασταθεί γραφικά σε επίπεδο σχήμα. Αν όμως η μια από τις δύο μεταβλητές θεωρηθεί σταθερή, η απομάκρυνση είναι συνάρτηση μόνο της άλλης μεταβλητής και είναι δυνατή η γραφική της παράσταση.


_____________________
1
Η προϋπόθεση αυτή εκπληρώνεται στην περίπτωση κυμάτων που διαδίδονται σε γραμμικά ελαστικά μέσα (π.χ. χορδές) χωρίς απώλειες ενέργειας.

Σχ. 2.7 Το σημείο Μ απέχει απόσταση .ν από την πηγή Ο του κύματος.
Σχ. 2.7 Το σημείο Μ απέχει απόσταση ν από την πηγή Ο του κύματος.
Σχ. 2.8 Ένα στιγμιότυπο του κύματος. Τα σημεία Β και Γ που έχουν διαφορά φάσης 2π, απέχουν ένα μήκος κύματος.
Σχ. 2.8 Ένα στιγμιότυπο του κύματος. Τα σημεία Β και Γ που έχουν διαφορά φάσης 2π, απέχουν ένα μήκος κύματος.
Σχ. 2.9 Γραφική παράσταση της κίνησης ενός σημείου του ελαστικού μέσου σε συνάρτηση με το χρόνου.
Σχ. 2.9 Γραφική παράσταση της κίνησης ενός σημείου του ελαστικού μέσου σε συνάρτηση με το χρόνου.

Α) Στιγμιότυπο του κύματος

Για δεδομένη χρονική στιγμή (t=t1) η σχέση (2.4) παίρνει τη μορφή

y = Aημ2π [ σταθ - Εικόνα]

και δίνει την απομάκρυνση κάθε σημείου του μέσου συναρτήσει της απόστασής του από την πηγή. Το διάγραμμα αυτής της συνάρτησης (σχ. 2.8), δίνει τη θέση των διαφόρων σημείων του μέσου μια ορισμένη χρονική στιγμή και ονομάζεται στιγμιότυπο του κύματος.

Β) Ταλάντωση ενός σημείου του μέσου

Για ορισμένη απόσταση από την πηγή (x=x1 ), η σχέση (2.4) παίρνει τη μορφή

y = Aημ2π [ Εικόνα - σταθ ]

και δίνει την απομάκρυνση ενός συγκεκριμένου σημείου του μέσου συναρτήσει του χρόνου.

Η γραφική παράσταση της σχέσης αυτής (σχ. 2.9) είναι η γνωστή μας γραφική παράσταση της απλής αρμονικής ταλάντωσης.