Φυσική (Γ Λυκείου Θετικών Σπουδών) - Βιβλίο Μαθητή
1-6 ΕΞΑΝΑΓΚΑΣΜΕΝΕΣ ΤΑΛΑΝΤΩΣΕΙΣ ΣΥΝΟΨΗ Επιστροφή στην αρχική σελίδα του μαθήματος
1-7 ΣΥΝΘΕΣΗ ΤΑΛΑΝΤΩΣΕΩΝ

Το σώμα Σ του σχήματος 1.34 βρίσκεται πάνω σε οριζόντια βάση και είναι δεμένο στις άκρες δύο ελατηρίων, οι άλλες άκρες των οποίων είναι στερεωμένες σε ακίνητα σημεία. Το σώμα μπορεί να κινείται χωρίς τριβές. Αν το σώμα απομακρυνθεί από τη θέση ισορροπίας του και αφεθεί ελεύθερο θα εκτελέσει απλή αρμονική ταλάντωση (με περίοδο Τ1). Αν και η βάση πάνω στην οποία βρίσκεται το σώμα -με κατάλληλο μηχανισμό- εκτελεί αρμονική ταλάντωση (με περίοδο Τ2), το σώμα Σ κάνει ταυτόχρονα δυο αρμονικές ταλαντώσεις. Η ταλάντωση της βάσης δεν είναι απαραίτητο να γίνεται στη διεύθυνση της ταλάντωσης του σώματος.

Η κίνηση του σώματος Σ είναι, γενικά, πολύπλοκη. Η διεύθυνση, η συχνότητα, το πλάτος και η φάση της εξαρτώνται από τα αντίστοιχα χαρακτηριστικά των επί μέρους ταλαντώσεων.

Η κίνηση που κάνει το σώμα λέγεται σύνθετη ταλάντωση και η μελέτη της σύνθεση ταλαντώσεων.

Στη συνέχεια θα μελετήσουμε μερικές ειδικές περιπτώσεις σύνθεσης ταλαντώσεων.

  1. Α. Σύνθεση δύο απλών αρμονικών ταλαντώσεων της ίδιας συχνότητας, που γίνονται γύρω από το ίδιο σημείο στην ίδια διεύθυνση.

 

Έστω ότι ένα σώμα Σ κάνει ταυτόχρονα τις ταλαντώσεις με εξισώσεις

x1=A1ημωt                                                         (1.22)(Σχ.1.35α)

x2=Aημ(ωt+φ)                                                   (1.23)(Σχ.1.35β)

Σχ. 1.34 Το σώμα Σ εκτελεί ταυτόχρονα δυο ταλαντώσεις.

Σχ. 1.34 Το σώμα Σ εκτελεί ταυτόχρονα δυο ταλαντώσεις.
Σχ. 1.35 Το σώμα Σ κάνει ταυτόχρονα τις αρμονικές ταλαντώσεις (α) και (β). Η απομάκρυνσή του κάθε στιγμή είναι ίση με το αλγεβρικό άθροισμα των απομακρύνσεών του στις επιμέρους ταλαντώσεις στις οποίες μετέχει (γ).

 

 

 

 

Σχ. 1.36 (α) Από τη σύνθεση των ταλαντώσεων 1 και 2 που έχουν την ίδια φάση, προκύπτει η ταλάντωση 3. (β) Από τις ταλαντώσεις 1 και 2 που παρουσιάζουν διαφορά φάσης 180° προκύπτει η ταλάντωση 3.

Σχ. 1.36 (α) Από τη σύνθεση των ταλαντώσεων 1 και 2 που έχουν την ίδια φάση, προκύπτει η ταλάντωση 3. (β) Από τις ταλαντώσεις 1 και 2 που παρουσιάζουν διαφορά φάσης 180° προκύπτει η ταλάντωση 3.

 

Σχ. 1.35 Το σώμα Σ κάνει ταυτόχρονα τις αρμονικές ταλαντώσεις (α) και (β). Η απομάκρυνσή του κάθε στιγμή είναι ίση με το αλγεβρικό άθροισμα των απομακρύνσεών του στις επιμέρους ταλαντώσεις στις οποίες μετέχει (γ).

Σύμφωνα με την αρχή της επαλληλίας των κινήσεων, η απομάκρυνση του σώματος κάθε στιγμή θα είναι το άθροισμα των απομακρύνσεων που θα είχε αν έκανε την κάθε ταλάντωση ξεχωριστά (σχ. 1.35γ), δηλαδή

x=x1+x2                                        (1.24)


Αν λάβουμε υπόψη τις (1.22) και (1.23) η (1.24) γίνεται

x=A1ημωt+A2ημ(ωt+φ)               (1.25)


Η σχέση αυτή μπορεί να πάρει τη μορφή

x=Aημ(ωt+θ)                                    (1.26)  

όπου, Εικόνα         (1.27) 

 

και     Εικόνα                         (1.28)

 

 

Το συμπέρασμα που προκύπτει από την (1.26) είναι ότι το σώμα Σ κάνει απλή αρμονική ταλάντωση γύρω από το σημείο Ο, με την ίδια διεύθυνση και την ίδια συχνότητα. Το πλάτος και η αρχική φάση της ταλάντωσης εξαρτώνται από τα στοιχεία των επί μέρους ταλαντώσεων.

Στην ειδική περίπτωση που φ = 0 (σχ. 1.36α). οι σχέσεις (1.27) και (1.28) δίνουν Α=Α12 και θ=0 δηλαδή το πλάτος της ταλάντωσης είναι ισο με το άθροισμα των πλατών και η φάση της είναι ίδια με τη φάση των επιμέρους ταλαντώσεων.

Όταν φ=180o, πάλι από (1.27) και (1.28), προκύπτει ότι A=|Α12| και θ = 0 ή θ=180o (σχ. 1.36β), δηλαδή το πλάτος είναι ίσο με τη διαφορά των πλατών και η φάση ίση με τη φάση της ταλάντωσης που έχει το μεγαλύτερο πλάτος.

  1. Β.Σύνθεση δύο αρμονικών ταλαντώσεων ίδιας διεύθυνσης, που γίνονται γύρω από το ίδιο σημείο, με το ίδιο πλάτος και διαφορετικές συχνότητες.


Έστω ότι το σώμα Σ μετέχει στις ταλαντώσεις

x1=Aημωt                                                         (1.29)(Σχ.1.35α)

x2=Aημ(ωt+φ)                                                   (1.30)(Σχ.1.35β)


Και στην περίπτωση αυτή, η απομάκρυνση του σώματος κάποια στιγμή θα είναι

x=x1+x2                                                              (1.31)(Σχ.1.35γ)


η οποία από τις (1.29) και (1.30) γίνεται

x=Aημω1t+Aημω2t                                     (1.32)


Με βάση την τριγωνομετρική ταυτότητα

Εικόνα


η (1.32) γίνεται

aaa                (1.33)

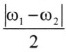
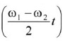
Από τη σχέση αυτή φαίνεται ότι η κίνηση του σώματος είναι πολύπλοκη. Ενδιαφέρον παρουσιάζει η κίνηση στην περίπτωση που οι δύο επιμέρους γωνιακές συχνότητες διαφέρουν πολύ λίγο. Τότε ο παράγοντας

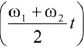
A' = 2Aσυν Εικόνα                                                    (1.34)

της σχέσης (1.33) μεταβάλλεται με το χρόνο πολύ πιο αργά από τον παράγοντα Εικόνα ο οποίος μεταβάλλεται με γωνιακή συχνότητα aaa ίση με τη μέση τιμή των ω1 και ω2 ειδή αυτές διαφέρουν ελάχιστα μπορούμε να γράψουμε ααα

Επομένως η (1.33) μπορεί να γραφεί

x = A'ημωt                                                                            (1.35)

Η σχέση (1.35) περιγράφει μια ιδιόμορφη ταλάντωση που έχει την ίδια περίπου συχνότητα με τις επί μέρους ταλαντώσεις.

Το πλάτος |Α′|  της κίνησης του Σ μεταβάλλεται, με αργό ρυθμό, από μηδέν μέχρι 2Α. Λέμε ότι η κίνηση του Σ παρουσιάζει διακροτήματα (σχ. 1.37).

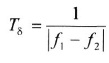
Ο χρόνος ανάμεσα σε δύο διαδοχικούς μηδενισμούς (ή δύο διαδοχικές μεγιστοποιήσεις) του πλάτους ονομάζεται περίοδος (Τδ)  των διακροτημάτων.

Σχ. 1.37 Από τη σύνθεση δύο ταλαντώσεων που οι συχνότητές τους διαφέρουν πολύ λίγο (πράσινη και μπλε γραμμή) προκύπτει ιδιόμορφη περιοδική κίνηση (κόκκινη γραμμή) που παρουσιάζει διακροτήματα.

Σχ. 1.37 Από τη σύνθεση δύο ταλαντώσεων που οι συχνότητές τους διαφέρουν πολύ λίγο (πράσινη και μπλε γραμμή) προκύπτει ιδιόμορφη περιοδική κίνηση (κόκκινη γραμμή) που παρουσιάζει διακροτήματα.
 

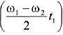
Υπολογισμός της περιόδου των διακροτημάτων
Το πλάτος Α' μηδενίζεται όταν συν Εικόνα = 0.
Αυτό συμβαίνει όταν                Εικόναt = (2K+1) Εικόνα
όπου Κ = 0,1,2,………………….

Δύο διαδοχικές χρονικές στιγμές που αποτελούν λύσεις της εξίσωσης είναι οι t1 και t2 (σχ. 1.37) για τις οποίες

Εικόναt1 = Εικόνα      ή       t1 = Εικόνα
και                                 Εικόναt2 = 3Εικόνα     ή       t2 = 3Εικόνα
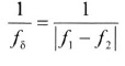
Η διαφορά t2 - t1είναι η περίοδος των διακροτημάτων.


Είναι επομένως Εικόνα


ή Εικόνα              ή              Εικόνα


και τελικά

 

fδ=|f1-f2|