Μαθηματικά (Γ Λυκείου Θετικών Σπουδών / Οικονομίας & Πληροφορικής)- Βιβλίο Μαθητή
A1: ΕΡΩΤΗΣΕΙΣ ΚΑΤΑΝΟΗΣΗΣ A2.1: Η ΕΝΝΟΙΑ ΤΟΥ ΜΙΓΑΔΙΚΟΥ ΑΡΙΘΜΟΥ Επιστροφή στην αρχική σελίδα του μαθήματος
ΙΣΤΟΡΙΚΟ ΣΗΜΕΙΩΜΑ

 

Οι "γραμμοπράξεις" σ' ένα κινέζικο πρόβλημα του 3ου αιώνα π.Χ.

Το επόμενο πρόβλημα προέρχεται από μια αρχαία κινεζική συλλογή προβλημάτων με τίτλο "Εννέα κεφάλαια στη μαθηματική τέχνη". Η λύση που δίνεται εκεί συμπίπτει ουσιαστικά με τη σύγχρονη μέθοδο του "επαυξημένου πίνακα" και των "γραμμοπράξεων".

3 δεμάτια μιας καλής συγκομιδής, 2 δεμάτια μιας μέτριας συγκομιδής και
1 δεμάτι μιας κακής συγκομιδής δίνουν 39 dou σιτάρι.
2 δεμάτια της καλής, 3 δεμάτια της μέτριας και 1 δεμάτι της κακής συγκομιδής δίνουν 34 dou σιτάρι.
1 δεμάτι της καλής, 2 δεμάτια της μέτριας και 3 δεμάτια της κακής συγκομιδής δίνουν 26 dou σιτάρι.
Να βρεθεί πόσο σιτάρι δίνει ένα δεμάτι από κάθε είδος συγκομιδής.


Το πρόβλημα αυτό ανάγεται σήμερα στην επίλυση ενός γραμμικού συστήματος τριών εξισώσεων με τρεις αγνώστους x, y, z:

Εικόνα

Στο αρχαίο κείμενο, στο οποίο δεν υπάρχουν καθόλου σύμβολα, δίνονται οδηγίες για την τοποθέτηση των αριθμών στις κατακόρυφες στήλες ενός άβακα σύμφωνα με τον εξής τρόπο:

Εικόνα

Η παραπάνω διάταξη μετασχηματίζεται στη συνέχεια ως εξής:

Η 2η στήλη πολλαπλασιάζεται επί 3 και κατόπιν αφαιρείται απ' αυτήν 2 φορές η 3η στήλη, με αποτέλεσμα:

Εικόνα

Κατόπιν η 1η στήλη πολλαπλασιάζεται επί 3 και απ' αυτήν αφαιρείται η 3η στήλη, με αποτέλεσμα:

Εικόνα

Τέλος, η 1η στήλη πολλαπλασιάζεται επί 5 και απ' αυτήν αφαιρείται 4 φορές η 2η στήλη, με αποτέλεσμα

Εικόνα

Το αρχικό σύστημα έχει λοιπόν μετασχηματιστεί στο

Εικόνα

από το οποίο υπολογίζεται αμέσως ο z και με διαδοχικές αντικαταστάσεις, οι x, y. Στο αρχαίο κείμενο, με μια ανάλογη διαδικασία που εκτελείται πάνω στον άβακα, προσδιορίζεται η λύση του προβλήματος:

Εικόνα

 

Στο έργο "Αριθμητικά", του Έλληνα μαθηματικού της Αλεξανδρινής περιόδου Διόφαντου, υπάρχουν πολλά προβλήματα που ανάγονται στην επίλυση γραμμικών συστημάτων. Στο επόμενο, που είναι το πρόβλημα 19 του πρώτου βιβλίου, ο τρόπος επίλυσης βρίσκεται πολύ κοντά προς το σύγχρονο αλγεβρικό τρόπο σκέψης:

Ευρείν τέσσαρας αριθμούς όπως οι τρεις λαμβανόμενοι του λοιπού υπερέχωσιν επιταχθέντι αριθμώ. (Να βρεθούν 4 αριθμοί έτσι ώστε λαμβανόμενοι ανά τρεις να ξεπερνούν τον άλλο κατά δοθέντα αριθμό).

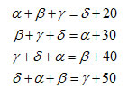
Ο Διόφαντος παρουσιάζει τη λύση του προβλήματος μέσα από μια ειδική περίπτωση (που γενικεύεται άμεσα). Έστω, γράφει, ότι οι α, β, γ ξεπερνούν τον δ κατά 20, οι β, γ, δ ξεπερνούν τον α κατά 30, οι γ, δ, α ξεπερνούν τον β κατά 40 και οι δ, α, β ξεπερνούν τον γ κατά 50. Το πρόβλημα, όπως είναι φανερό, ανάγεται στην επίλυση του γραμμικού συστήματος :

Εικόνα

Ο Διόφαντος, ο οποίος δε χρησιμοποιεί ειδικά σύμβολα για την πρόσθεση και την ισότητα, λύνει το πρόβλημα με την εισαγωγή ενός βοηθητικού αγνώστου, που εκφράζει το άθροισμα των 4 ζητούμενων αριθμών. Η μέθοδός του, με σύγχρονο συμβολισμό, συνοψίζεται ως εξής:
Αν α + β + γ + δ = 2x, τότε από α + β + γ = δ + 20 την έχουμε α + β + γ + δ = 2δ + 20   ή   2x = 2δ + 20 ή
δ = x − 10 . Όμοια, από τις άλλες εξισώσεις παίρνουμε α = x − 15, β = x − 20 και γ = x − 25. Από τις 4 τελευταίες ισότητες, με πρόσθεση παίρνουμε α + β + γ + δ = 4x − 70 ή 2x = 4x − 70 ή x = 35 και άρα οι ζητούμενοι αριθμοί είναι

Εικόνα


Η πρώτη εμφάνιση μιας "ορίζουσας " σε πρόβλημα απαλοιφής

Ο G.W. Leibniz, σε μια επιστολή του προς τον l' Hospital στις 28-4-1693, πρότεινε μια μέθοδο χρησιμοποίησης των αριθμών για την έκφραση γενικών σχέσεων, όπως ακριβώς γίνεται με τη χρήση των γραμμάτων. Ως παράδειγμα έδωσε ένα γραμμικό σύστημα 3 εξισώσεων με 2 αγνώστους, γραμμένο στη μορφή:

Εικόνα

Οι συντελεστές του συστήματος δεν εκφράζουν εδώ αριθμούς αλλά λειτουργούν όπως και οι διπλοί δείκτες που χρησιμοποιούνται σήμερα για την παράσταση των στοιχείων ενός πίνακα. Αυτοί οι "ψευδοαριθμοί" (όπως τους αποκαλεί ο Leibniz) δείχνουν με το πρώτο ψηφίο τους την εξίσωση στην οποία βρίσκονται και με το δεύτερο, το γράμμα στο οποίο ανήκουν. Χρησιμοποιώντας τη μέθοδο των αντίθετων συντελεστών, ο Leibniz απαλείφει τον άγνωστο y, αρχικά από την 1η και 2η εξίσωση και κατόπιν από την 1η και 3η. Έτσι προκύπτουν οι εξισώσεις:

Εικόνα

Στη συνέχεια απαλείφει το x από τις δυο τελευταίες εξισώσεις (λύνοντας καθεμιά ως προς x και εξισώνοντας τα αποτελέσματα) και φτάνει στην ισότητα:

Εικόνα

Δηλαδή σ' αυτό που σήμερα αποτελεί την αναγκαία συνθήκη για να έχει λύση το σύστημα (1) (ο μηδενισμός της ορίζουσας του επαυξημένου πίνακα του συστήματος).
Το προηγούμενο αποτέλεσμα του Leibniz έχει κυρίως τη σημασία της απαλείφουσας ενός γραμμικού συστήματος, δηλαδή της σχέσης μεταξύ των συντελεστών η οποία προκύπτει όταν γίνεται απαλοιφή όλων των αγνώστων. Στην ίδια επιστολή ο Leibniz δίνει και ένα γενικό κανόνα για τον υπολογισμό της απαλείφουσας ενός οποιουδήποτε γραμμικού συστήματος, που έχει επαρκή αριθμό εξισώσεων για την απαλοιφή όλων των αγνώστων.


Οι ορίζουσες και οι πίνακες ως ανεξάρτητες έννοιες

Η χρησιμοποίηση των οριζουσών για την επίλυση γραμμικών συστημάτων έγινε πρώτη φορά από τον C. MacLaurin το 1729, αλλά η μέθοδος αυτή έμεινε γνωστή με το όνομα του G. Cramer, ο οποίος την παρουσίασε στο βιβλίο του "Εισαγωγή στην ανάλυση των αλγεβρικών καμπύλων γραμμών" (1750). Θέλοντας να προσδιορίσει μια καμπύλη που διέρχεται από 5 γνωστά σημεία και έχει εξίσωση της μορφής

Εικόνα

ο Cramer καταλήγει σ' ένα γραμμικό σύστημα 5 εξισώσεων με αγνώστους τα A, B, C, D, E. Για να λύσει αυτό το σύστημα, περιγράφει μια μέθοδο υπολογισμού των αγνώστων με κατασκευή κλασμάτων, των οποίων ο κοινός παρονομαστής και οι αριθμητές προσδιορίζονται από τους συντελεστές του συστήματος σύμφωνα με γενικούς κανόνες. Αυτή είναι ουσιαστικά η σημερινή μέθοδος των οριζουσών αλλά ο Cramer δε χρησιμοποιεί κάποιο ειδικό όνομα ή σύμβολο για την έννοια της ορίζουσας.
Ο λατινικός όρος determinantem (ορίζουσα) χρησιμοποιήθηκε για πρώτη φορά από τον C.F. Gauss το 1801 αλλά όχι με τη σημερινή σημασία. Η πρώτη συστηματική διαπραγμάτευση της θεωρίας των οριζουσών έγινε από τον A.L. Cauchy σε μια εργασία του που δημοσιεύτηκε το 1815. Η λέξη "ορίζουσα" χρησιμοποιείται εκεί με τη σημερινή σημασία ενώ εισάγεται και η τετραγωνική διάταξη των στοιχείων της με τη βοήθεια των διπλών δεικτών :

Εικόνα

(οι 2 κάθετες γραμμές για το συμβολισμό μιας ορίζουσας, χρησιμοποιήθηκαν για πρώτη φορά από τον A. Cayley το 1841).

Σε αντίθεση από τη σημερινή λογική σειρά παρουσίασης, η έννοια του πίνακα υπήρξε, ιστορικά, μεταγενέστερη από την έννοια της ορίζουσας.

Το γεγονός ότι η ορίζουσα δεν είναι μόνο ένας αριθμός αλλά συσχετίζει αυτόν τον αριθμό με μια τετραγωνική διάταξη στοιχείων, οδήγησε βαθμιαία στη μελέτη αυτής της ίδιας της διάταξης, ανεξάρτητα από την τιμή της ορίζουσας. Ο όρος matrix (μήτρα, καλούπι), που σήμερα χρησιμοποιείται διεθνώς για την έννοια του πίνακα, πρωτοεμφανίστηκε σε μια εργασία του J.J. Sylvester το 1850, για να διαχωριστεί η έννοια της ορίζουσας από την τετραγωνική διάταξη των στοιχείων που την παράγει. Το 1855 ο Α. Cayley εισήγαγε για πρώτη φορά τους πίνακες στη μελέτη των γραμμικών μετασχηματισμών, ενώ το 1858 στην εργασία του "Μια πραγματεία στη θεωρία των μητρών", ανέπτυξε συστηματικά όλη τη βασική θεωρία. Όπως γράφει ο Cayley, στην ιδεά του πίνακα έφτασε τόσο από την έννοια της ορίζουσας όσο και από την ανάγκη ενός βολικού τρόπου έκφρασης των εξισώσεων xʹ = αx + by,    yʹ = cx + dy ενός μετασχηματισμού, ο οποίος απεικονίζει το σημείο (x , y) στο σημείο (xʹ, yʹ). Ως ένα τέτοιο τρόπο έκφρασης, ο Cayley εισάγει τον πίνακα

Εικόνα

και με βάση τις ιδιότητες των μετασχηματισμών ορίζει τις πράξεις των πινάκων και προσδιορίζει τις ιδιότητές τους. Π.χ., αν τον προηγούμενο μετασχηματισμό από το (x, y) στο (xʹ, yʹ) ακολουθήσει ένας νέος μετασχηματισμός από το (xʹ, yʹ) στο (xʹʹ, yʹʹ) και με εξισώσεις xʹʹ = exʹ + fyʹ,   yʹʹ = gxʹ + hyʹ τότε, όπως εύκολα μπορεί να αποδειχθεί, ισχύει:

Εικόνα

Έτσι ο Cayley ορίζει τον πολλαπλασιασμό πινάκων, με βάση το πρότυπο της διαδοχικής εκτέλεσης των δυο μετασχηματισμών, ως εξής:

Εικόνα

Στην ίδια εργασία επισημαίνει επίσης ότι αυτός ο πολλαπλασιασμός είναι μια πράξη μη αντιμεταθετική καθώς και το γεγονός ότι υπάρχουν μη μηδενικοί πίνακες που έχουν ως γινόμενο το μηδενικό πίνακα. Ο λογισμός των πινάκων αναπτύχθηκε τα επόμενα χρόνια σε μια αυτοτελή μαθηματική θεωρία, που αποτελεί μέρος ενός ευρύτερου κλάδου των Μαθηματικών, της Γραμμικής Άλγεβρας. Το 1925, ο W. Heisenberg (βραβείο Νόμπελ Φυσικής 1932) χρησιμοποίησε τη θεωρία των πινάκων για να εκφράσει τα μη αντιμεταθετικά Μαθηματικά που περιγράφουν τα φαινόμενα της κβαντικής μηχανικής, ενώ αργότερα η χρήση των πινάκων επεκτάθηκε και σε άλλες επιστήμες.