Άλγεβρα (Β Λυκείου) - Βιβλίο Μαθητή (Εμπλουτισμένο)
4.3 Πολυωνυμικές εξισώσεις 5.1 Εκθετική συνάρτηση Επιστροφή στην αρχική σελίδα του μαθήματος

4.4 ΕΞΙΣΩΣΕΙΣ ΚΑΙ ΑΝΙΣΩΣΕΙΣ
ΠΟΥ ΑΝΑΓΟΝΤΑΙ ΣΕ ΠΟΛΥΩΝΥΜΙΚΕΣ

Υπάρχουν εξισώσεις, οι οποίες δεν είναι πολυωνυμικές, αλλά με κατάλληλη διαδικασία η λύση τους ανάγεται στη λύση πολυωνυμικών. Τέτοιες εξισώσεις επιλύονται στα παραδείγματα που ακολουθούν.

ΠΑΡΑΔΕΙΓΜΑΤΑ

 

Να λυθεί η εξίσωση x2 +    2   2x-1 -      1     x(2x-1) = 0.

ΛΥΣΗ

Η εξίσωση ορίζεται για κάθε x ∈ ℝ με x ≠ 0 και x ≠ 12. Με αυτούς τους περιορισμούς έχουμε:

x2 +    2   2x-1 -      1     x(2x-1) = 0 





⇔ x(2x-1)x2 + x(2x-1)    2   2x-1 - x(2x - 1)      1     x(2x-1) = 0

⇔ 2x4 - x3 + 2x - 1 = 0

⇔ x3(2x - 1) + 2x - 1 = 0

⇔ (2x - 1)(x3 + 1) = 0

Η τελευταία εξίσωση έχει ρίζες τους αριθμούς 12 και -1. Λόγω των περιορισμών δεκτή είναι μόνο η x = -1.

2º 

Να λυθεί η εξίσωση √x = x - 2.

ΛΥΣΗ

Η εξίσωση ορίζεται για x ≥ 0. Αν υψώσουμε και τα δυο μέλη της στο τετράγωνο, προκύπτει η εξίσωση x = x2 - 4x + 4, η οποία γράφεται x2 - 5x + 4 = 0 και έχει ως ρίζες τις x1 = 4 και x2 = 1. Οι τιμές αυτές του x, αν και ικανοποιούν τον περιορισμό x ≥ 0 δεν είναι και οι δύο ρίζες της αρχικής εξίσωσης. Πράγματι αν θέσουμε τις τιμές αυτές στην αρχική εξίσωση, παίρνουμε:

Για x = 4 :     √4 = 4 - 2     που είναι αληθής ισότητα.

Για x = 1 :     √1 = 1 - 2     που δεν είναι αληθής ισότητα.

Άρα η αρχική εξίσωση έχει ως μοναδική ρίζα την x = 4.



ΣΧΟΛΙΟ Από το παραπάνω παράδειγμα προκύπτει ότι, αν υψώσουμε τα μέλη μιας εξίσωσης στο τετράγωνο, τότε η εξίσωση που προκύπτει μπορεί να έχει και άλλες ρίζες εκτός από τις ρίζες της αρχικής εξίσωσης. Είναι λοιπόν απαραίτητο σε τέτοιες περιπτώσεις να κάνουμε επαλήθευση των ριζών που βρίσκουμε και να απορρίπτουμε όσες από αυτές δεν επαληθεύουν την αρχική εξίσωση.

3º 

Να λυθεί η εξίσωση √2x + 7 - x = 2.

ΛΥΣΗ

Η εξίσωση ορίζεται για κάθε x ∈ ℝ με x ≥ - 72. Γι' αυτά τα x διαδοχικά έχουμε:

(απομονώνουμε το ριζικό)

2x + 7 = x + 2

(υψώνουμε στο τετράγωνο)

(√2x + 7)2 = (x + 2)2

2x + 7 = x2 + 4x + 4

x2 + 2x - 3 = 0

Η τελευταία εξίσωση έχει ως ρίζες τους αριθμούς -3 και 1. Από τις ρίζες αυτές διαπιστώνουμε με επαλήθευση ότι μόνο η x = l είναι ρίζα της αρχικής.

4º 

Να λυθεί η εξίσωση √2x + 6 - √x + 4 = 1.

ΛΥΣΗ


Η εξίσωση ορίζεται για τα x ∈ ℝ, για τα οποία ισχύουν 2x + 6 ≥ 0 και x + 4 ≥ 0, δηλαδή για τα x ≥ -3. Γι' αυτά τα x διαδοχικά έχουμε:

(απομονώνουμε το ριζικό)

2x + 6 = 1 + √x + 4

(υψώνουμε στο τετράγωνο)

(√2x + 6)2 = (1 + √x + 4)2

2x + 6 = 1 + 2√x + 4 + x + 4

x + 1 = 2√x + 4

(υψώνουμε στο τετράγωνο)

(x + 1)2 = 4(x + 4)

x2 - 2x + 15 = 0

Η τελευταία εξίσωση έχει ως ρίζες τους αριθμούς -3 και 5. Από τις ρίζες αυτές διαπιστώνουμε με επαλήθευση ότι μόνο η x = 5 είναι ρίζα της αρχικής.

 


ΣΧΟΛΙΟ Εξισώσεις όπως αυτές των παραδειγμάτων 2, 3 και 4, όπου παραστάσεις του x βρίσκονται κάτω από ριζικά, ανήκουν σε μια κατηγορία εξισώσεων που λέγονται άρρητες.

Ανισώσεις της μορφής   $\dfrac{Α(x)}{B(x)}$ > 0 (<0)

Όπως γνωρίζουμε το πηλίκο και το γινόμενο δύο αριθμών είναι ομόσημα.

Επομένως :

Εικόνα

αφού, καμία από τις λύσεις της A(x) • B(x) > 0 και της A(x) • B(x) < 0 δεν μηδενίζει το Β(x).

Για παράδειγμα, έστω ότι θέλουμε να λύσουμε την ανίσωση

(x ‒ 1) (2x2 +x + 1 )x2 +x ‒ 6 > 0

Η ανίσωση αυτή είναι ισοδύναμη με την

(x ‒ 1)(x2 + x ‒ 6)(2x2 + x +1) > 0 ,

δηλαδή με την P(x)> 0 , η οποία, από τον πίνακα προσήμου του P(x) αληθεύει όταν x ∈ (3,1)∪(2,+∞) .

 

ΣΧΟΛΙΟ Μία ανίσωση της μορφής $\dfrac{Α(x)}{B(x)}$ ≥ 0 αληθεύει για εκείνους τους πραγματικούς αριθμούς x για τους οποίους ισχύουν συγχρόνως

A(x) • B(x) ≥ 0   και   B(x) ≠ 0 .

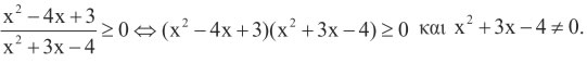
Έστω για παράδειγμα η ανίσωση $\dfrac{x^2-4x+3}{x^2+3x-4}$≥ 0. Έχουμε:

Εικόνα

Οι ρίζες του τριωνύμου x2 ‒ 4x + 3 είναι οι 1 και 3 , ενώ του τριωνύμου x2 + 3x ‒ 4 είναι οι 1 και −4 .

Συντάσσουμε τον πίνακα προσήμου του γινομένου :

P(x) = (x2 ‒ 4x + 3)(x2 + 3x ‒ 4)

Εικόνα

Άρα η ανίσωση αληθεύει όταν x ( −∞, 4) ∪[3,+∞ ).

ΑΣΚΗΣΕΙΣ

   Α′ ΟΜΑΔΑΣ

1.

Να λύσετε τις εξισώσεις:

 

i) 3x2 - 1x - 1 -    2   x2 - x = x2 - 3x + 2x

ii)   x2  x - 1 -    2   x + 1 =    4   x2 - 1

 

2.

Να λύσετε την εξίσωση 2ημ3x + συν2x + 2ημx - 2 = 0

3.

Να λύσετε τις εξισώσεις:

 

i) $\sqrt{x^3} = -4x$

ii)3x - 2 = 4

iii)5x - 1 = -4

 

iv)x + 3 = x + 1

v)x + 3 = √10 - x + 1

vi)x + √x - 20 = 10

 

vii)x = x - 82√x + 3

 

viii)$\sqrt{1 + 2\sqrt{x}} = \sqrt{x + 1}$

  Μικροπείραμα Πείραμα    

4.

Να λύσετε τις ανισώσεις:

 

i) $\dfrac{x - 2}{x + 1} > 0$

ii) $\dfrac{2x + 1}{x - 3} \le 0$

iii) $\dfrac{x^2 - x - 2}{x^2 + x - 2} \le 0$

5.

Να λύσετε τις ανισώσεις:

 

i) $\dfrac{2x + 3}{x - 1} > 4$

ii) $\dfrac{x - 2}{3x + 5} \le 4$

iii) $\dfrac{x^2 - 3x - 10}{x - 1} + 2 \le 0$

 

iv) $\dfrac{x}{3x - 5} \le \dfrac{2}{x - 1}$

v) $\dfrac{x}{2x - 1} \ge \dfrac{3}{x + 2}$

6.

Να λύσετε την ανίσωση: $x^2 + \dfrac{2}{2x - 1} \ge \dfrac{1}{x(2x - 1)}$

   B′ ΟΜΑΔΑΣ

1.

Να λύσετε τις ανισώσεις:

 

i)2x + 3 < √1 - 3x

ii)x - 3 > x - 5

2.

Να λύσετε τις εξισώσεις:

 

i) x + 3√x - 10 = 0

ii)$\sqrt[3]{x^2} + \sqrt[3]{x} - 6 = 0$

3.

Ομοίως τις εξισώσεις:

 

i) $x^2 + x - 4 = \sqrt{x^2 + x - 2}$

ii)x - 1 + √x - 4 = √x + 4

4.

Ομοίως τις εξισώσεις:

 

i)x - 1 = α

ii)$\sqrt{4x^2 + 1} = 2x - λ$

  Μικροπείραμα Πείραμα Μικροπείραμα Πείραμα

5.

Να λύσετε την εξίσωση 2ημ4x - 3ημ3x - 3συν2x - 3ημx + 4 = 0

ΓΕΝΙΚΕΣ ΑΣΚΗΣΕΙΣ (Γ′ ΟΜΑΔΑΣ)

1.

Με τη βοήθεια της (x2 + x + 1)(x - 1) = x3 - 1, να αποδείξετε ότι το πολυώνυμο P(x) = x + x3μ+1 + x3ρ+2 διαιρείται με το πολυώνυμο x2 + x + l (ν, μ, ρ θετικοί ακέραιοι).

2.

Να αποδείξετε ότι το πολυώνυμο:

 

i) 

f(x) = νxν+1 - (ν + 1)xν + 1 διαιρείται με το (x - 1)2. Να βρείτε το πηλίκο της διαίρεσης.

  Μικροπείραμα Πείραμα
 

ii) 

g(x) = (ν - 2)xν - νxν-1 + νx - ν + 2 διαιρείται με το (x - 1)3.

3.

Να λύσετε τις εξισώσεις:

 

i) x4 + 2x3 + 2x + 1 = 0

ii) x4 + x3 - 4x2 + x + 1 = 0

 

(Οι εξισώσεις αυτές είναι της μορφής αx4 + βx3 + γx2 + βx + α = 0, α ≠ 0. Εξισώσεις της μορφής αυτής ανήκουν σε μια κατηγορία εξισώσεων που λέγονται αντίστροφες).

 

Υπόδειξη: Να διαιρέσετε τα μέλη των εξισώσεων με x2 και στη συνέχεια να θέσετε x + 1x = y.

4.

Να λύσετε τις εξισώσεις:

 

i) x4 + x3 - 16x2 - 2x + 4 = 0

ii) x4 + 8x3 + 13x2 - 8x + 1 = 0

5.

Να λύσετε την εξίσωση (x2 + 2x - 1)2 - 3(x2 + 2x + 3) + 14 = 0

 

Υπόδειξη. Να θέσετε x2 + 2x - 1 = y.

6.

Να βρείτε τα α, β ∈ ℝ για τα οποία το πολυώνυμο x5 + 3x2 + αx + β, διαιρούμενο με το x2 - 2, δίνει υπόλοιπο 5x + 8.

7.

Αν P(x) = x17 - 12x16 + 12x15 - 12x14 + … + 12x - 1, να υπολογιστούν οι τιμές Ρ(11) και Ρ(13).

8.

Ο ήλιος ενός πλανητικού συστήματος με την πάροδο του χρόνου γίνεται άλλοτε θερμότερος και άλλοτε ψυχρότερος. Έχει εκτιμηθεί ότι η θερμοκρασία Τ σε oC στην επιφάνεια ενός πλανήτη του συστήματος, μετά από x εκατομμύρια χρόνια θα είναι T = 10x3 - 100x2 + 270x - 180.

 

i) 

Μετά πόσο χρόνο θα έρθει το τέλος των παγετώνων στον πλανήτη;

ii) 

Πότε θα αρχίσει ο επόμενος παγετώνας και πόσο θα διαρκέσει;

Εικόνα

ΙΣΤΟΡΙΚΟ ΣΗΜΕΙΩΜΑ

Οι ιστορικές ρίζες της μελέτης των πολυωνύμων βαθμού κυρίως 1 και 2 βρίσκονται στην κοιλάδα του Τίγρη και του Ευφράτη, τη Μεσοποταμία όπως λεγόταν, που βρίσκεται στο σημερινό Ιράκ. Οι αρχαίοι Βαβυλώνιοι που ζούσαν στην περιοχή αυτή και δημιούργησαν έναν από τους αρχαιότερους πολιτισμούς γύρω στο 2000 π.Χ. ήξεραν να βρίσκουν τις ρίζες πολυωνύμων 1ου και 2ου βαθμού και ήξεραν να υπολογίζουν προσεγγιστικά τετραγωνικές ρίζες αριθμών. Ο συμβολισμός τους ήταν πρωτόγονος και οι διατυπώσεις των προβλημάτων και των λύσεών τους γινόταν κυρίως με λόγια. Αξίζει να σημειωθεί ότι για τα Μαθηματικά επιτεύγματα των Βαβυλωνίων, που ήταν πολύ αξιόλογα για τα μέτρα εκείνης της εποχής, υπήρχε σχεδόν απόλυτη άγνοια μέχρι πολύ τελευταία και μόλις γύρω στο 1930 μελέτες του Otto Neugebauer μας διαφώτισαν γύρω από τα μαθηματικά εκείνης της περιόδου.

Το επόμενο μεγάλο βήμα οφείλεται στους αρχαίους Έλληνες. Οι Πυθαγόρειοι στον 5ο αιώνα π.Χ. αποδεικνύουν ότι οι τετραγωνικές ρίζες, που συναντώνται αναγκαστικά στη μελέτη πολυωνύμων 2ου βαθμού, οδηγούν σε ένα νέο είδος αριθμών, που κανείς μέχρι τότε δεν υποπτευόταν την ύπαρξή τους. Οι βαβυλώνιοι είχαν βρει την πολύ ακριβή προσέγγιση ότι √2 = 1,414213, όμως δεν είχαν διερωτηθεί αν υπάρχει ο √2, δηλαδή αν υπάρχει κλάσμα αβ, τέτοι ώστε α2β2 = 2. Αυτό είναι ένα πολύ βαθύτερο ερώτημα στο οποίο δε

μπορούμε να απαντήσουμε οσοδήποτε ακριβείς υπολογισμούς και να κάνουμε. Η ανακάλυψη των Πυθαγορείων, ότι δεν υπάρχει τέτοιο κλάσμα, είναι μια από τις πρώτες μαθηματικές αποδείξεις όπου η αυστηρή λογική μας δείχνει ότι η απλή εμπειρία και διαίσθηση είναι δυνατόν να μας εξαπατήσουν. Σε βιβλία του Ευκλείδη δίνεται η γεωμετρική λύση εξισώσεων 1ου και 2ου βαθμού, δηλαδή η κατασκευή των ριζών με κανόνα και διαβήτη. Η άλλη μεγάλη Ελληνική συνεισφορά προς την κατεύθυνση αυτή ήταν η βελτίωση του αλγεβρικού συμβολισμού που εκτίθεται στα Αριθμητικά του Διόφαντου (περί το 250 π.Χ.). Τα Αριθμητικά του Διόφαντου είναι για την Άλγεβρα ότι είναι τα Στοιχεία του Ευκλείδη για τη Γεωμετρία και η επίδρασή τους στους επόμενους αιώνες ήταν πολύ μεγάλη.

Από τους αρχαίους Έλληνες τη σκυτάλη παρέλαβαν οι Άραβες, οι οποίοι βελτίωσαν αποφασιστικά τον Αλγεβρικό λογισμό, δεν έλυσαν όμως εξισώσεις 3ου βαθμού παρ' όλο ότι εργάσθηκαν προς την κατεύθυνση αυτή με βασικό κίνητρο τη μελέτη τριγωνομετρικών ζητημάτων. Αξίζει να σημειωθεί ότι η λέξη Άλγεβρα προέρχεται από παραφθορά του τίτλου ενός βιβλίου του αστρονόμου Mohammed ibn Musa al-khowarizmi (περί το 825), που ήταν Al-jabr w'almuqabala.

Όπως γνωρίζουμε, οι ρίζες μιας δευτεροβάθμιας εξίσωσης αx2 + βx + γ = 0 δίνονται από τον τύπο Εικόνα που βρίσκεται σχετικά εύκολα και με πολλούς τρόπους (βλέπε ιστορικό σημείωμα του 5ου Κεφαλαίου της Άλγεβρας της Α' Λυκείου). Ο σκοπός των μαθηματικών ήταν να βρουν ανάλογους τύπους για εξισώσεις 3ου και μεγαλύτερου βαθμού. Μετά από άκαρπες προσπάθειες αιώνων ο Scipio del Ferro και ο Niccolo Fontana στις αρχές του 16ου αιώνα εργαζόμενοι ανεξάρτητα, βρήκαν ως τύπο επίλυσης της εξίσωσης x3 + αx + β(∗) τον

Εικόνα

Ο τύπος αυτός φέρει το όνομα του Cardano που τον δημοσίευσε στην εργασία του Ars Magna το 1545 και τον αποδίδει στον Fontana. Στην ίδια εργασία υπάρχει μια μέθοδος αναγωγής μιας εξίσωσης 4ου βαθμού σε επίλυση εξίσωσης 3ου βαθμού. Έχει μείνει ιστορική η διαμάχη των Cardano, του Niccolo del Ferro και του Ludovico Ferrari για την πατρότητα των τύπων αυτών.

Όλες οι προσπάθειες που έγιναν στη συνέχεια και για τρεις περίπου αιώνες, με σκοπό να βρεθούν τύποι για εξισώσεις βαθμού μεγαλύτερου του 4, απέτυχαν. Είναι χαρακτηριστικό ότι με το πρόβλημα αυτό ασχολήθηκαν οι μεγάλοι μαθηματικοί της εποχής εκείνης, όπως ο Lagrange και ο Gauss. Αυτοί, μολονότι δεν έφθασαν σε συμπέρασμα για το αν οι ρίζες τέτοιων εξισώσεων μπορούν να εκφρασθούν με τύπους όπως οι παραπάνω, εν τούτοις στην προσπάθεια τους αυτή έκαναν σημαντικές ανακαλύψεις στην Άλγεβρα.

Η μεγαλύτερη συμβολή στην τελική επίλυση του προβλήματος των αλγεβρικών εξισώσεων δόθηκε τελικά στις αρχές του 19ου αιώνα από τους νεαρούς μαθηματικούς Abel και Galois. Ο Νορβηγός Niels Η. Abel (1802- 1829) απέδειξε το 1824, σε ηλικία 22 ετών, ότι δεν υπάρχουν τύποι, όπως στην περίπτωση 2ου, 3ου και 4ου βαθμού, που να δίνουν τις ρίζες μιας γενικής εξίσωσης 5ου βαθμού. Οπωσδήποτε χρησιμοποίησε τα αποτελέσματα των προηγουμένων του και κυρίως του Lagrange. Το γενικό πρόβλημα που παρέμενε ήταν να βρεθούν οι συνθήκες, ώστε μια εξίσωση να μπορεί να επιλυθεί. Ο Abel πέθανε το 1829 σε ηλικία 27 ετών από τις κακουχίες και τη φυματίωση, χωρίς να ολοκληρώσει τη λύση του προβλήματος. Κατά τους βιογράφους του ταξίδευε στην Ευρώπη πεζός, για να συναντήσει τους μεγάλους μαθηματικούς της εποχής.



Κάθε εξίσωση 3ου βαθμού: x3 + αx2 + βx + γ = 0 με τη βοήθεια του μετασχηματισμού x = y - α3 παίρνει τη μορφή x3 + Αx = Β

Το γενικό πρόβλημα έλυσε λίγο αργότερα ο νεαρός Γάλλος μαθηματικός Evariste Galois (1811-1832), που έδωσε τις συνθήκες, ώστε μια εξίσωση να έχει ρίζες που να εκφράζονται με τους συντελεστές.

Η ζωή του Galois απασχόλησε πολλούς ιστορικούς και οι βιογραφίες του είναι μεταξύ μύθου και πραγματικότητας. Ο Galois έζησε σε μια εποχή που η Γαλλία ταραζόταν από πολιτικές αναταραχές. Αφού απέτυχε στις εισαγωγικές εξετάσεις για την École Polytechnique το 1829 λόγω ελλιπούς προπαρασκευής, γράφτηκε στην École Preparatoire. Εκεί η ζωή του σημαδεύτηκε από αποβολές, ασθένειες και φυλακίσεις για πολιτικούς λόγους. Τελικά έλαβε μέρος σε μια μονομαχία, όπου τραυματίσθηκε θανάσιμα και πέθανε στις 31 Μαΐου του 1832, πριν συμπληρώσει τα 21 χρόνια του. Τις ανακαλύψεις του ο Galois τις έγραψε την τελευταία νύχτα της ζωής του πριν από τη μονομαχία σε ένα δυσανάγνωστο χειρόγραφο 31 σελίδων, το οποίο έμεινε στην αφάνεια, μέχρι που ο Γάλλος ακαδημαϊκός Joseph Liouville το παρουσίασε στη Γαλλική Ακαδημία στις 4 Ιουλίου 1843.