Άλγεβρα (Β Λυκείου) - Βιβλίο Μαθητή
4.1 Πολυώνυμα 4.3 Πολυωνυμικές εξισώσεις Επιστροφή στην αρχική σελίδα του μαθήματος

4.2 Διαίρεση πολυωνύμων

Αλγοριθμική διαίρεση

Γνωρίζουμε από το Γυμνάσιο την έννοια της Ευκλείδειας ή αλγοριθμικής διαίρεσης μεταξύ θετικών ακεραίων αριθμών. Συγκεκριμένα γνωρίζουμε ότι:

Για κάθε ζεύγος φυσικών αριθμών Δ και δ με δ ≠ 0, υπάρχουν δύο μοναδικοί φυσικοί αριθμοί π και υ, τέτοιοι ώστε

(1)

Δ = δπ + υ,            0 ≤ υ < δ

Η ισότητα αυτή είναι γνωστή ως ταυτότητα της Ευκλείδειας διαίρεσης. Ο Δ λέγεται διαιρετέος, ο δ διαιρέτης, ο π πηλίκο και ο υ υπόλοιπο της διαίρεσης.

Η έννοια της διαίρεσης των πολυωνύμων είναι ανάλογη με την Ευκλείδεια διαίρεση που αναφέραμε παραπάνω. Συγκεκριμένα ισχύει:

ΘΕΩΡΗΜΑ

 

(Ταυτότητα της διαίρεσης) Για κάθε ζεύγος πολυωνύμων Δ(x) και δ(x) με δ(x) ≠ 0 υπάρχουν δυο μοναδικά πολυώνυμα π(x) και υ(x), τέτοια ώστε:

 

(2)

Δ(x) = δ(x)π(x) + υ(x),

 

όπου το υ(x) ή είναι το μηδενικό πολυώνυμο ή έχει βαθμό μικρότερο από το βαθμό του δ(x).

Όπως και στη διαίρεση μεταξύ φυσικών αριθμών το Δ(x) λέγεται διαιρετέος, το δ(x) διαιρέτης, το π(x) πηλίκο και το υ(x) υπόλοιπο της διαίρεσης.

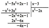
Για να προσδιορίσουμε το πηλίκο π(x) και το υπόλοιπο υ(x) της διαίρεσης ενός πολυωνύμου Δ(x) με ένα πολυώνυμο δ(x), ακολουθούμε μια διαδικασία, ανάλογη με εκείνη της διαίρεσης των θετικών ακεραίων. Στο παράδειγμα που ακολουθεί περιγράφεται βήμα προς βήμα η διαδικασία της διαίρεσης του πολυωνύμου x3 - 5x2 + 2x - 1 με το πολυώνυμο x - 3.

1.

Κάνουμε το σχήμα της διαίρεσης και γράφουμε τα δυο πολυώνυμα.

Εικόνα

2.

Βρίσκουμε τον πρώτο όρο x2 του πηλίκου διαιρώντας τον πρώτο όρο x3 του διαιρετέου με τον πρώτο όρο x του διαιρέτη.

Εικόνα

3.

Πολλαπλασιάζουμε το x2 με x - 3 και το γινόμενο x3 - 3x2 το αφαιρούμε από το διαιρετέο. Βρίσκουμε έτσι το πρώτο μερικό υπόλοιπο -2x2 + 2x - 1.

Εικόνα

4.

Επαναλαμβάνουμε τα βήματα 2 και 3 με νέο διαιρετέο το -2x2 + 2x - 1. Βρίσκουμε έτσι το δεύτερο μερικό υπόλοιπο -4x - 1.

Εικόνα

5.

Τέλος επαναλαμβάνουμε τα βήματα 2 και 3 με νέο διαιρετέο το -4x - 1. Βρίσκουμε έτσι το τελικό υπόλοιπο -13 και το πηλίκο x2 - 2x - 4.

Εικόνα

Παρατηρούμε ότι ισχύει η ισότητα:

x3 - 5x2 + 2x - 1 = (x - 3)·(x2 - 2x - 4) + (-13)

(διαιρετέος) = (διαιρέτης) · (πηλίκο) + (υπόλοιπο)

που εκφράζει την ταυτότητα της διαίρεσης.

Αν ακολουθήσουμε την παραπάνω διαδικασία για τα πολυώνυμα 4x4 + x2 - 3x - 1 και 2x2 + x, έχουμε:

Εικόνα

Παρατηρήστε ότι συμπληρώσαμε την δύναμη x3 με συντελεστή το μηδέν.

Ομοίως για τα πολυώνυμα 2x3 + 2x2 - x - 1 και 2x2 - 1 έχουμε

Εικόνα

Παρατηρήστε ότι στα παραπάνω παραδείγματα η διαίρεση τελειώνει, όταν το υπόλοιπο γίνει μηδέν ή ο βαθμός του γίνει μικρότερος από το βαθμό του διαιρέτη.

Στο τελευταίο παράδειγμα βλέπουμε ότι το υπόλοιπο της διαίρεσης είναι 0, Στην περίπτωση αυτή λέμε ότι η διαίρεση είναι τέλεια.

Γενικά, αν σε μια διαίρεση είναι υ(x) = 0, τότε η διαίρεση λέγεται τέλεια και η ταυτότητα της διαίρεσης γράφεται

Δ(x) = δ(x)·π(x)

Στην περίπτωση αυτή λέμε ότι το δ(x) διαιρεί το Δ(x) ή ότι το δ(x) είναι παράγοντας του Δ(x) ή ότι το Δ(x) διαιρείται με το δ(x) ή ακόμη ότι το δ(x) είναι διαιρέτης του Δ(x). Έτσι για παράδειγμα το 2x2 - 1 είναι παράγοντας ή διαιρέτης του 2x3 + 2x2 - x - 1.

Διαίρεση πολυωνύμου με x - ρ.

Η ταυτότητα της διαίρεσης του πολυωνύμου Ρ(x) με το πολυώνυμο x - ρ γράφεται.

P(x) = (x - ρ)π(x) + υ(x)

Επειδή ο διαιρέτης x - ρ είναι πρώτου βαθμού, το υπόλοιπο της διαίρεσης θα είναι ένα σταθερό πολυώνυμο υ. Έτσι έχουμε:

P(x) = (x - ρ)π(x) + υ

και, αν θέσουμε x = ρ, παίρνουμε

P(ρ) = (ρ - ρ)π(ρ) + υ = 0 + υ = υ

Επομένως

P(x) = (x - ρ)π(x) + P(ρ)

 

P(x) = (x - ρ)π(x) + P(ρ)

Αποδείξαμε λοιπόν ότι:

ΘΕΩΡΗΜΑ
  Το υπόλοιπο της διαίρεσης ενός πολυωνύμου Ρ(x) με το x - ρ είναι ίσο με την τιμή του πολυωνύμου για x = ρ. Είναι δηλαδή
 

υ = P(ρ)

Για παράδειγμα, το υπόλoιπο της διαίρεσης του P(x) = x3 + 3x2 - 13x - 15 με το x - 2 είναι υ = P(2) = 23 + 3·22 - 13·2 - 15 = -21, ενώ με το x + 1 που γράφεται x - (-1), είναι υ = P(-1) = (-1)3 + 3·(-1)2 - 13·(-1) - 15 = 0. Παρατηρούμε ότι:

● P(-1) = 0, δηλαδή ότι το -1 είναι ρίζα του Ρ(x) και

● P(x) = (x + 1)π(x) + 0 = (x + 1)π(x), δηλαδή ότι το x + 1 είναι παράγοντας του Ρ(x).

Γενικά ισχύει το παρακάτω θεώρημα:

ΘΕΩΡΗΜΑ
  Ένα πολυώνυμο Ρ(x) έχει παράγοντα το x - ρ αν και μόνο αν το ρ είναι ρίζα του Ρ(x), δηλαδή αν και μόνο αν Ρ(ρ) = 0.

ΑΠΟΔΕΙΞΗ

Έστω ότι το x - ρ είναι παράγοντας του Ρ(x). Τότε

P(x) = (x - ρ)π(x)

Από την ισότητα αυτή για x = ρ παίρνουμε

P(ρ) = (ρ - ρ)π(ρ) = 0,

που σημαίνει ότι το ρ είναι ρίζα του Ρ(x).

Αντιστρόφως: Έστω ότι το ρ είναι ρίζα του Ρ(x), δηλαδή ισχύει Ρ(ρ) = 0. Τότε από τη σχέση

P(x) = (x - ρ)π(x) + P(ρ)

παίρνουμε

P(x) = (x - ρ)π(x),

που σημαίνει ότι το x - ρ είναι παράγοντας του Ρ(x).


ΠΑΡΑΔΕΙΓΜΑΤΑ - ΕΦΑΡΜΟΓΕΣ

1º 

Να εξεταστεί αν τα πολυώνυμα x + 2 και x - 1 είναι παράγοντες του πολυωνύμου P(x) = x3 + x2 - x + 2.

ΛΥΣΗ

Το x + 2 γράφεται x - (-2). Επειδή P(-2) = (-2)3 + (-2)2 - (-2) + 2 = 0, το -2 είναι ρίζα του Ρ(x). Επομένως, σύμφωνα με το παραπάνω θεώρημα, το x + 2 είναι παράγοντας του Ρ(x).

Επειδή P(1) = 13 + 12 - 1 + 2 = 3 ≠ 0, το 1 δεν είναι ρίζα του Ρ(x). Επομένως το x - 1 δεν είναι παράγοντας του Ρ(x).

2º 




Για ποιες τιμές του λ ∈ R:

i) Το υπόλοιπο της διαίρεσης του P(x) = x3 - 3x2 + 3x - 1 με το x + λ είναι το μηδέν.

ii) Το υπόλοιπο της διαίρεσης του Q(x) = λ2x4 + 3λx2 - 3 με το x - 1 είναι το 1.

ΛΥΣΗ

i) Επειδή x + λ = x - (-λ), το υπόλοιπο της διαίρεσης του Ρ(x) με το x + λ είναι υ = Ρ(-λ). Επομένως, για να είναι υ = 0 αρκεί:

P(-λ) = 0 







⇔ (-λ)3 - 3(-λ)2 + 3(-λ) - 1 = 0

⇔ -λ3 - 3λ2 - 3λ - 1 = 0

⇔ λ3 + 3λ2 + 3λ + 1 = 0

⇔ (λ + 1)3 = 0

⇔ λ = -1

ii) Το υπόλοιπο της διαίρεσης του Q(x) με το x - 1 είναι υ = Q(l). Επομένως, για να είναι υ = 1 αρκεί:

Q(1) = 1 



⇔ λ214 + 3λ12 - 3 = 1

⇔ λ2 + 3λ - 4 = 0

⇔ λ = 1       ή       λ = -4

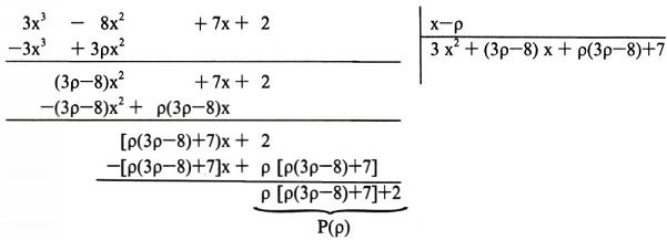
Σχήμα Horner (Χόρνερ)

Έστω ότι θέλουμε να βρούμε το πηλίκο και το υπόλοιπο της διαίρεσης ενός πολυωνύμου, π.χ. του P(x) = 3x3 - 8x2 + 7x + 2 με ένα πολυώνυμο της μορφής x - ρ. Η Ευκλείδεια διαίρεση του Ρ(x) με το x-ρ είναι η ακόλουθη:

Εικόνα

Η παραπάνω διαίρεση μπορεί να παρουσιασθεί εποπτικά με τον ακόλουθο πίνακα που είναι γνωστός ως σχήμα του Horner

Συντελεστές του P(x)

3

-8

7

2

ρ

 

(3ρ - 8)ρ

[(3ρ - 8)ρ + 7]ρ

 

3

3ρ - 8

(3ρ - 8)ρ + 7

[(3ρ - 8)ρ + 7]ρ + 2

 

Συντελεστές Πηλίκου

Υπόλοιπο

 

Για την κατασκευή του πίνακα αυτού εργαζόμαστε ως εξής:

- Στην πρώτη γραμμή γράφουμε τους συντελεστές του πολυωνύμου Ρ(x) και στην πρώτη θέση της τρίτης γραμμής τον πρώτο συντελεστή του Ρ(x).

Στη συνέχεια ο πίνακας συμπληρώνεται ως εξής:

- Κάθε στοιχείο της δεύτερης γραμμής προκύπτει με πολλαπλασιασμό του αμέσως προηγούμενου στοιχείου της τρίτης γραμμής επί ρ.

- Κάθε άλλο στοιχείο της τρίτης γραμμής προκύπτει ως άθροισμα των αντίστοιχων στοιχείων της πρώτης και δεύτερης γραμμής.

Το τελευταίο στοιχείο της τρίτης γραμμής είναι το υπόλοιπο της διαίρεσης του Ρ(x) με το (x - ρ), δηλαδή η τιμή του πολυωνύμου Ρ(x) για x = ρ. Τα άλλα στοιχεία της τρίτης γραμμής είναι οι συντελεστές του πηλίκου της διαίρεσης.

Ας εργασθούμε τώρα με το σχήμα Horner για να βρούμε το πηλίκο και το υπόλοιπο της διαίρεσης του P(x) = 3x5 + 3x4 + 6x - 13 με το x - 2.

3

3

0

0

6

-13

ρ = 2

 

6

18

36

72

156

 

3

9

18

36

78

143

 

[Συμπληρώσαμε με 0 τους συντελεστές των δυνάμεων του x που δεν υπάρχουν.]

Επομένως το πηλίκο της διαίρεσης είναι π(x) = 3x4 + 9x3 + 18x2 + 36x + 78 και το υπόλοιπο υ = Ρ(2) = 143.



 

ΣΧΟΛΙΟ Στο παραπάνω παράδειγμα, αν αντί για το σχήμα Horner εκτελέσουμε τη διαίρεση, θα διαπιστώσουμε ότι οι πράξεις που απαιτούνται είναι αρκετά πιο επίπονες. Το ίδιο θα συμβεί, αν δοκιμάσουμε να υπολογίσουμε το Ρ(2) θέτοντας όπου x το 2. Το σχήμα Horner είναι ιδιαίτερα χρήσιμο στις περιπτώσεις όπου το ρ ή ο βαθμός του Ρ(x) είναι μεγάλος αριθμός. Για το λόγο αυτό, τόσο στις διαιρέσεις με το x - ρ όσο και στον υπολογισμό της τιμής Ρ(ρ), θα χρησιμοποιούμε συνήθως το σχήμα Horner.

ΠΑΡΑΔΕΙΓΜΑΤΑ

 

Να βρεθεί το πηλίκο και το υπόλοιπο της διαίρεσης (4x2 - 8αx + 4α2) : (x - α).

ΛΥΣΗ

Το σχήμα Horner με διαιρετέο το 4x2 - 8αx + 4α2 και διαιρέτη το x - α δίνει:

4

-8α

2

α

 

-4α2

 

4

-4α

0

 

Άρα π(x) = 4x - 4α και υ(x) = 0

2º 

Αν ν είναι ένας θετικός ακέραιος, να αποδειχθεί η ταυτότητα:

(xν - αν) = (x - α)(xν-1 + xν-2α + xν-3α2 + … + αν-1)

ΑΠΟΔΕΙΞΗ

Το σχήμα Horner με διαιρετέο το xν - αν και διαιρέτη το x - α δίνει

1

0

0

……

0

ν

ρ = α

 

α

α2

……

αν-1

αν

 

1

α

α2

……

αν-1

0

 

Επομένως το υπόλοιπο της διαίρεσης (xν - αν) : (x - α) είναι μηδέν, ενώ το πηλίκο είναι το πολυώνυμο

π(x) = xν-1 + αxν-2 + α2xv-3 + … + αν-1

Τέλος, από την ταυτότητα της διαίρεσης προκύπτει ότι: xν - αν = (x - α)π(x) + 0 ή

xν - αν = (x - α)(xν-1 + xν-2α + xν-3α2 + … + αν-1)

3º 

Να εξεταστεί για ποιες τιμές του φυσικού αριθμού ν το x + α είναι παράγοντας του xν + αν, α ≠ 0. Γι' αυτές τις τιμές του ν, το xν + αν να γίνει γινόμενο της μορφής (x + α)π(x).

ΛΥΣΗ

Αν θέσουμε P(x) = xν + αν, τότε P(-α) = (-α)ν + αν. Διακρίνουμε τις περιπτώσεις:

● 

Αν ν άρτιος, τότε P(-α) = αν + αν = 2αν ≠ 0, που σημαίνει ότι το -α δεν είναι ρίζα του Ρ(x). Επομένως το x + α δεν είναι παράγοντας του xν + αν.

● 

Αν ν περιττός, τότε P(-α) = -αν + αν = 0, που σημαίνει ότι το -α είναι ρίζα του Ρ(x). Επομένως το x + α είναι παράγοντας του xν + αν.

Στη συνέχεια, αν εργαστούμε όπως στο παράδειγμα 2 για ν περιττό βρίσκουμε την ταυτότητα:

xν + αν = (x + α)(xν-1 - xν-2α + xν-3α2 - … + αν-1)

ΑΣΚΗΣΕΙΣ

   Α′ ΟΜΑΔΑΣ

1.

Να κάνετε τις παρακάτω διαιρέσεις και να γράψετε την ταυτότητα της διαίρεσης σε κάθε περίπτωση.

 

i) (3x3 + 6x2 - 17x + 20) : (x + 3)

ii) (x4 - 81) : (x - 3)

 

iii) (24x5 + 20x3 - 16x2 - 15) : (6x2 + 5)

iv) (2x4 + 4x3 - 5x2 + 3x - 2) : (x2 + 2x - 3)

 

v) x4 : (x - 1)3

vi) (x5 + 7) : (x3 - 1)

2.

Να βρείτε το υπόλοιπο της διαίρεσης (18x80 - 6x50 + 4x20 - 2) : (x + 1).

3.

Να βρείτε τις τιμές του k, για τις οποίες το x - 1 είναι παράγοντας του g(x) = k2x4 + 3kx2 - 4.

4.

Με τη βοήθεια του σχήματος Horner να βρείτε τα πηλίκα και τα υπόλοιπα των διαιρέσεων:

 

i) (-x3 + 75x - 250) : (x + 10)

ii) (x3 + 512) : (x + 8)

 

iii) (x5 + 1) : (x - 1)

iv) -3x4 : (x - 2)

 

v) (4x3 + 16x2 - 23x - 15) : (x + 12)

 

5.

Αν P(x) = -2x3 - 2x2 - x + 2409 να βρείτε το Ρ(-11).

6.

Να αποδείξετε ότι τα πολυώνυμα της μορφής x - ρ που δίνονται σε κάθε περίπτωση, είναι παράγοντες του Ρ(x).

 

i) P(x) = x4 - 25x2 + 144,

x + 3

 

ii) P(x) = 16x4 - 8x3 + 9x2 + 14x - 4,

x - 14

 

iii) P(x) = x3 - 3x2 + 2,

x - 1 - √3

7.

Αν ν είναι ένας άρτιος θετικός ακέραιος, να αποδείξετε ότι το x + y είναι παράγοντας του xν - yv.

8.

Να αποδείξετε ότι τα παρακάτω πολυώνυμα δεν έχουν παράγοντα της μορφής x - ρ.

 

i) P(x) = 4x4 + 7x2 + 12

ii) Q(x) = -5x6 - 3x2 -4

9.

Αν ο ν είναι περιττός θετικός ακέραιος, τότε το x + 1 είναι παράγοντας του xν + 1. Να γράψετε την ταυτότητα της διαίρεσης (xν + 1) : (x + 1).

10.

Να κάνετε τις διαιρέσεις:

 

i) (3x2 - 2αx - 8α2) : (x - 2α)

ii) (x3 + αx2 - α2x - α3) : (x + α)



   B′ ΟΜΑΔΑΣ

1.

Να αποδείξετε ότι, αν το ν είναι παράγοντας του μ, τότε και το xν - αν είναι παράγοντας του xμ - αμ, (μ, ν θετικοί ακέραιοι).

2.

i) 

Να αποδείξετε ότι το υπόλοιπο της διαίρεσης ενός πολυωνύμου Ρ(x) με το αx + β, α ≠ 0 είναι υ = P(- βα)

 

ii) 

Να βρείτε τις συνθήκες, για τις οποίες το πολυώνυμο αx3 + β διαιρείται με το αx + β.

3.

Με τη βοήθεια του σχήματος Horner μόνο, να αποδείξετε ότι το πολυώνυμο P(x) = 2x4 - 6x3 + 5x2 - 3x + 2 διαιρείται με το (x - 1)(x - 2) και να βρείτε το πηλίκο.

4.

Να αποδείξετε ότι το πολυώνυμο P(x) = (x + 1) - x - 2x - 1, ν ≠0 έχει παράγοντες όλους τους παράγοντες του 2x3 + 3x2 + x.

5.

Να υπολογίσετε τους α, β ∈ R για τους οποίους το P(x) = αxν+1 + βxν + 1 έχει παράγοντα το (x - 1)2.