Άλγεβρα (Β Λυκείου) - Βιβλίο Μαθητή
3.5 Βασικές τριγωνομετρικές εξισώσεις 3.7 Τριγωνομετρικοί αριθμοί της γωνίας 2α Επιστροφή στην αρχική σελίδα του μαθήματος

3.6 Τριγωνομετρικοί αριθμοί αθροίσματος γωνιών

Συνημίτονο αθροίσματος και διαφοράς γωνιών

Ας θεωρήσουμε δυο γωνίες α, β που οι τελικές τους πλευρές τέμνουν τον τριγωνομετρικό κύκλο στα σημεία Μ1, Μ2 αντιστοίχως (Σχ. 1).

Έστω επιπλέον και η γωνία α - β, που η τελική της πλευρά τέμνει τον τριγωνομετρικό κύκλο στο σημείο Μ. (Σχ. 2).

Εικόνα

Όπως είναι γνωστό, τα σημεία Μ1, Μ2, Α και Μ έχουν συντεταγμένες:

το Μ1    :

το Μ2    :

το Α      :

το Μ     :

τετμημένη

»

»

»

συνα

συνβ

1

συν(α - β)

και

»

»

»

τεταγμένη

»

»

»

ημα

ημβ

0

ημ(α - β)

Επειδή Εικόνα, θα είναι και (Μ2Μ1)=(ΑΜ). Άρα:

2Μ1)2=(ΑΜ)2

Αν τώρα χρησιμοποιήσουμε το γνωστό μας τύπο:

Εικόνα,

που δίνει την απόσταση δύο σημείων P1(x1,y1) και P2(x2,y2), έχουμε:

2Μ1)2  



=  (συνα - συνβ)2 + (ημα - ημβ)2

=  συν2α + συν2β - 2συνασυνβ + ημ2α + ημ2β - 2ημαημβ

=  2 - 2(συνασυνβ + ημαημβ)      και

(ΑΜ)2  




=  [συν(α - β) - 1]2 + [ημ(α - β) - 0]2

=  συν2(α - β) + 1 - 2συν(α - β) + ημ2(α - β)

=  2 - 2συν(α - β).

Έτσι η σχέση (Μ2Μ1)2=(ΑΜ)2 γράφεται

2 - 2(συνασυνβ +ημαημβ) = 2 - 2συν(α - β)

ή

συνασυνβ + ημαημβ = συν(α - β)

Επομένως:

(1)

συν(α - β) = συνασυνβ + ημαημβ

Η ισότητα αυτή, που αποδείξαμε για γωνίες α, β με 0 ≤ β < α < 360o, ισχύει και για οποιεσδήποτε γωνίες α, β.

Αν στην παραπάνω ισότητα αντικαταστήσουμε το β με το -β, έχουμε:

συν (α - (-β)) = συνασυν(-β) + ημαημ(-β) = συνασυνβ - ημαημβ

Επομένως:

(2)

συν(α + β) = συνασυνβ - ημαημβ

Με τη βοήθεια των τύπων (1) και (2) μπορούμε να υπολογίσουμε το συνημίτονο ορισμένων γωνιών, χωρίς να χρησιμοποιήσουμε τριγωνομετρικούς πίνακες ή υπολογιστικές μηχανές. Για παράδειγμα, έχουμε:

● συν15ο  


=  συν (45ο - 30ο) = συν45οσυν30ο + ημ45οημ30ο

=  22 · 32 + 22 · 12 = 2(√3 + 1)4

● συν75ο  


=  συν (45ο + 30ο) = συν45οσυν30ο - ημ45οημ30ο

=  22 · 32 - 22 · 12 = 2(√3 - 1)4

Ημίτονο αθροίσματος και διαφοράς γωνιών

Με τη βοήθεια του τύπου (1), που βρήκαμε προηγουμένως, θα υπολογίσουμε τώρα το ημίτονο του αθροίσματος δυο γωνιών.

Επειδή συν (π2 - x) = ημx και ημ (π2 - x) = συνx, έχουμε:

ημ (α + β)


=  συν (π2 - (α + β)) = συν ((π2 - α) - β)

=  συν (π2 - α)συνβ + ημ (π2 - α)ημβ = ημασυνβ + συναημβ

Επομένως:

(3)

ημ(α + β) = ημασυνβ + συναημβ

Αν στην παραπάνω ισότητα αντικαταστήσουμε το β με -β βρίσκουμε ότι:

(4)

ημ(α - β) = ημασυνβ - συναημβ

Σύμφωνα με τους τύπους αυτούς για παράδειγμα, έχουμε:

● ημ15ο  


=  ημ (45ο - 30ο) = ημ45οσυν30ο - συν45οημ30ο

=  22 · 32 - 22 · 12 = 2(√3 - 1)4

● ημ75ο  


=  ημ (45ο + 30ο) = ημ45οσυν30ο + συν45οημ30ο

=  22 · 32 + 22 · 12 = 2(√3 + 1)4

Εφαπτομένη αθροίσματος και διαφοράς γωνιών

Με τη βοήθεια των προηγούμενων τύπων θα υπολογίσουμε την εφαπτομένη του αθροίσματος α+β δυο γωνιών α, β, αν γνωρίζουμε την εφαπτομένη καθεμιάς.

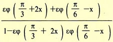
Όπως ξέρουμε, για να ορίζονται οι: εφ(α + β), εφα και εφβ, πρέπει συν(α + β) ≠ 0, συνα ≠ 0 και συνβ ≠ 0. Με την προϋπόθεση αυτή έχουμε:

Εικόνα

Επομένως έχουμε:

(5)

εφ(α + β) = εφα + εφβ1 - εφαεφβ

Αν τώρα στην παραπάνω ισότητα αντικαταστήσουμε το β με το -β, βρίσκουμε ότι:

(6)

εφ(α - β) =  εφα - εφβ 1 + εφαεφβ

Τέλος με ανάλογο τρόπο αποδεικνύεται ότι:

(8)

σφ(α - β) = σφασφβ + 1σφβ - σφα

(7)

σφ(α + β) = σφασφβ - 1σφβ + σφα

Σύμφωνα με τους παραπάνω τύπους για παράδειγμα, έχουμε:

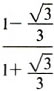
● εφ15ο  



=  εφ(45ο - 30ο) =  εφ45ο - εφ30ο 1 + εφ45οεφ30ο = Εικόνα = 3 - √33 + √3

=   (3 - √3)(3 - √3(3 + √3)(3 - √3) = 12 - 6√36 = 2 - √3

● εφ75ο  




=  εφ(45ο + 30ο) =  εφ45ο + εφ30ο 1 - εφ45οεφ30ο = Εικόνα = 3 + √33 - √3

=  (3 + √3)(3 + √3)(3 - √3)(3 + √3) = 12 + 6√36 = 2 + √3

ΠΑΡΑΔΕΙΓΜΑΤΑ - ΕΦΑΡΜΟΓΕΣ

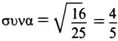
Αν ημα = - 35, με 2 < α < 2π και συνβ = - 1213, με π < β < 2, να υπολογιστούν οι τριγωνομετρικοί αριθμοί του α+β.

ΛΥΣΗ

Επειδή ημ(α + β) = ημασυνβ + συναημβ και συν(α + β) = συνασυνβ - ημαημβ αρκεί να υπολογίσουμε το συνα και το ημβ.

Έχουμε λοιπόν:

συν2α = 1 - ημ2α = 1 - 925 = 1625, οπότε Εικόνα, αφού 2 < α < 2π και

ημ2β = 1 - συν2β = 1 - 144169 = 25169, οπότε Εικόνα, αφού π < β < 2

Επομένως

ημ(α + β) = (- 35)(- 1213) + 45(- 513) = 1665

συν(α + β) = 45(- 1213) - (- 35)(- 513) = - 6365,

οπότε:

εφ(α + β) = - 1663 και σφ(α + β) = - 6316

 

Να αποδειχθεί ότι ημ(α + β)·ημ(α - β) = ημ2α - ημ2β.

ΑΠΟΔΕΙΞΗ

ημ(α + β)ημ(α - β)



=  (ημασυνβ + συναημβ)(ημασυνβ - συναημβ)

=  ημ2ασυν2β - συν2αημ2β = ημ2α(1 - ημ2β) - (1 - ημ2α)ημ2β

=  ημ2α - ημ2αημ2β - ημ2β + ημ2αημ2β = ημ2α - ημ2β

Να λυθεί η εξίσωση: 2συνx = ημ(x + π6).

ΛΥΣΗ

2συνx = ημ(x + π6)












⇔  2συνx = ημxσυν π6 + συνxημ π6

⇔  2συνx = 32ημx + 12συνx

⇔  4συνx = √3ημx + συνx

⇔  3συνx = √3ημx

[αφού συνx ≠ 0]

⇔  εφx = √3

⇔  εφx = εφ π3

⇔  x = κπ + π3,     κ ∈ Z

 

Να αποδειχθεί ότι σε κάθε μη ορθογώνιο τρίγωνο ΑΒΓ ισχύει:

εφΑ + εφΒ + εφΓ = εφΑεφΒεφΓ

ΑΠΟΔΕΙΞΗ

Αφού το τρίγωνο δεν είναι ορθογώνιο, ορίζονται οι εφΑ, εφΒ, εφΓ. Επειδή επιπλέον A + B = π - Γ ≠ π2, ορίζεται η εφ(Α + Β) και έχουμε διαδοχικά:

εφ(Α + Β) = εφ(π - Γ)

εφΑ + εφΒ1 - εφΑεφΒ = -εφΓ

εφΑ + εφΒ = -εφΓ + εφΑεφΒεφΓ

εφΑ + εφΒ + εφΓ = εφΑεφΒεφΓ

 

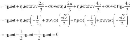
Θεωρούμε έναν αγωγό από τον οποίο διέρχονται τρία εναλλασσόμενα ρεύματα της ίδιας κυκλικής συχνότητας ω με στιγμιαίες εντάσεις I1 = ημωt, I2 = ημ(ωt + 3) και I3 = ημ(ωt + 3). Να αποδειχθεί ότι η ολική ένταση I = I1 + I2 + I3 του ρεύματος που διέρχεται από τον αγωγό είναι μηδέν.

ΑΠΟΔΕΙΞΗ

Είναι I = ημωt + ημ(ωt + 3) + ημ(ωt + 3)

Εικόνα

ΑΣΚΗΣΕΙΣ

   Α′ ΟΜΑΔΑΣ

1.

Να υπολογίσετε, χωρίς τη χρήση υπολογιστών τσέπης, την τιμή των παραστάσεων:

 

i) συν π12 συν π4 - ημ π12 ημ π4

ii) συν170oσυν50o + ημ170oημ50o

 

iii) ημ110oημ70o - συν110oσυν70o

iv) συν 12 συν π12 + ημ 12 ημ π12

2.

Να γράψετε σε απλούστερη μορφή τις παραστάσεις:

 

i) συν3xσυν(-2x) - ημ3xημ(-2x)

ii) συν (x + π4) συνx + ημ (x + π4) ημx

3.

Να αποδείξετε ότι:

 

i) συν (x + π4) + συν (x - π4) = √2 συνx

ii) συν2(x - π4) - συν2(x + π4) = 2ημxσυνx

4.

Να υπολογίσετε, χωρίς τη χρήση υπολογιστών τσέπης, την τιμή των παραστάσεων:

 

i) ημ 17π18 συν 9 - συν 17π18 ημ 9

ii) ημ70oσυν20o + συν70oημ20o

 

iii) Εικόνα

iv) εφ165o + εφ15o1 - εφ165oεφ15o

5.

Να γράψετε σε απλούστερη μορφή τις παραστάσεις:

 

i) ημ2xσυνx + συν2xημx

ii) ημ (x + π6) συνx - συν (x + π6) ημx

 

iii)  εφx - εφ2x 1 + εφxεφ2x

iv) Εικόνα

6.

Να αποδείξετε ότι:

 

i) ημ (x + π3) + ημ (x - π3) = ημx

 

ii) (ημα + συνα)(ημβ + συνβ) = ημ(α + β) + συν(α - β)

7.

Να υπολογίσετε, χωρίς τη χρήση υπολογιστών τσέπης, τους τριγωνομετρικούς αριθμούς των 105o και 195o.

8.

Να αποδείξετε ότι:

 

i) εφα + εφβ = ημ(α + β)συνασυνβ

ii) σφα + σφβ = ημ(α + β)ημαημβ

9.

Να αποδείξετε ότι για τις γωνίες α, β του διπλανού σχήματος ισχύει:

Εικόνα

  i) ημ (α + β) = 6365
  ii) συν (α + β) = 1665

10.

Να υπολογίσετε τους τριγωνομετρικούς αριθμούς της γωνίας α + β, αν:

 

i) ημα = 35, συνβ = - 513, 0 < α < π2 και π2 < β < π

 

ii) συνα = - 35, ημβ = - 45, π < α < 2 και 2 < β < 2π

11.

Να λύσετε τις εξισώσεις:

 

i) ημx = συν (x + π6)

ii) εφx + εφ (π4 + x) = -2

 

iii) εφ(x - α) = -2, αν εφα = -3



   B′ ΟΜΑΔΑΣ

1.

Να αποδείξετε ότι: ημ(α - β)συνασυνβ + ημ(β - γ)συνβσυνγ + ημ(γ - α)συνγσυνα = 0

2.

Αν συν(α + β) = 0, να αποδείξετε ότι: ημ(α + 2β) = ημα

3.

Αν εφα = -3, να λύσετε στο [0, 2π] την εξίσωση: ημ(x - α) = -2ημ(x + α)

4.

Αν α + β = π4 να αποδείξετε ότι: (1 + εφα)(1 + εφβ) = 2

5.

Αν στο διπλανό σχήμα είναι ΑΓ = 3·ΑΔ, να αποδείξετε ότι:

Εικόνα

 

i) εφω =   2εφΒ  3 + εφ2B, όπου Εικόνα

 

ii) Η ΒΔ είναι διχοτόμος της γωνίας Β, αν Β = 60o

6.

Αν σε ένα τρίγωνο ΑΒΓ ισχύει ημΑ + ημ(Β - Γ)συν(Β - Γ) = εφΒ, να αποδείξετε ότι Α = π2 και αντιστρόφως.

7.

Να αποδείξετε ότι σε κάθε τρίγωνο ΑΒΓ ισχύει:

 

i) σφΑσφΒ+σφΒσφΓ+σφΓσφΑ = 1,

ii)  συνΑ ημΒημΓ +  συνB ημΓημΑ +  συνΓ ημΑημΒ = 2

8.

Να λυθεί στο διάστημα [0, π] η εξίσωση: εφ (π4 + x) - εφ (π4 - x) = 2√3

9.

Αν 0 < x, y, z < π2 με εφx = 12, εφy = 15 και εφz = 18, να αποδείξετε ότι: x + y + z = π4