Χημεία (Β Λυκείου) - Βιβλίο Μαθητή
3.2 Κορεσμένες μονοσθενείς αλκοόλες - Αιθανόλη 4.1 Κορεσμένα μονοκαρβοξυλικά οξέα - Αιθανικό οξύ Επιστροφή στην αρχική σελίδα του μαθήματος
(3.3)
Φαινόλες

Γενικά

Όπως αναφέραμε, φαινόλες ονομάζονται τα υδροξυπαράγωγα των αρωματικών υδρογονανθράκων που έχουν τουλάχιστον ένα υδροξύλιο ενωμένο με άνθρακα του αρωματικού δακτυλίου. Οι φαινόλες, ανάλογα με τον αριθμό των υδροξυλίων που είναι ενωμένα με τον αρωματικό δακτύλιο, διακρίνονται σε μονοσθενείς, δισθενείς, τρισθενείς κλπ.

εικόνα

υδροξυβενζόλιο ή φαινόλη (μονοσθενής)

υδροκινόνη (δισθενής)

φλωρογλυκίνη (τρισθενής)

Εμείς θα μελετήσουμε την απλούστερη από τις φαινόλες, τη φαινόλη.

Παρασκευές

Στη βιομηχανία:

α. Παλαιότερα η φαινόλη παρασκευαζόταν από τη λιθανθρακόπισσα με κλασματική απόσταξη.

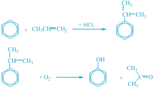
β. Σήμερα το μεγαλύτερο μέρος της φαινόλης παρασκευάζεται με πρώτη ύλη το πετρέλαιο. Όπως έχουμε αναφέρει, από την πυρόλυση των υδρογονανθράκων που περιέχονται στο πετρέλαιο, μεταξύ των άλλων σχηματίζονται βενζόλιο και προπένιο. Όταν αντιδράσουν το βενζόλιο και το προπένιο με καταλύτη AlCl3, σχηματίζεται ένας

αρωματικός υδρογονάνθρακας: το ισοπροπυλοβενζόλιο ή κουμόλιο. To κουμόλιο στη συνέχεια οξειδώνεται από O2 και δίνει φαινόλη και ακετόνη:

εικόνα

Φυσικές Ιδιότητες

Η φαινόλη είναι άχρωμο, υγροσκοπικό, κρυσταλλικό στερεό, ελάχιστα διαλυτό στο νερό, ενώ διαλύεται στην αιθανόλη και στο διαιθυλαιθέρα. Είναι ουσία τοξική και προσβάλλει το δέρμα γι' αυτό το λόγο πρέπει να αποφεύγεται η επαφή της με το δέρμα.

Χημικές Ιδιότητες

Η φαινόλη μπορεί να δώσει δύο κατηγορίες αντιδράσεων:

  • Αντιδράσεις του αρωματικού δακτυλίου. Οι αντιδράσεις αυτές είναι κυρίως η υποκατάσταση των υδρογόνων του δακτυλίου πχ. με αλογόνο.
  • Αντιδράσεις της πλευρικής ομάδας (υδροξύλιο).

α. Όξινος χαρακτήρας. Δηλαδή η φαινόλη είναι ένα ασθενές οξύ και στο νερό διίσταται, σύμφωνα με το σχήμα:

C6H5OH + H2O εικόνα C6H5O- + H3O+

Γι’ αυτό η φαινόλη αντιδρά με ηλεκτροθετικά μέταλλα π.χ. Na ή Κ (όπως οι αλκοόλες) και με διαλύματα βάσεων, π.χ. NaOH, KOH (σε αντίθεση με τις αλκοόλες που έχουν μικρότερη οξύτητα). Ωστόσο, η φαινόλη είναι ασθενέστερο οξύ από το ανθρακικό και γι’ αυτό δεν ελευθερώνει CO2 από τα ανθρακικά άλατα.

C6H5OH + NaOH → C6H5ONa + H2O

β. Σχηματίζει εστέρες, όπως και οι αλκοόλες,

γ. Σχηματίζει αιθέρες, όπως οι αλκοόλες

δ. Δεν οξειδώνεται, σε αντίθεση με τις πρωτοταγείς και δευτεροταγείς αλκοόλες.

Χρήσεις

Οι βιομηχανικές παρασκευές και οι χρήσεις της φαινόλης φαίνονται στον παρακάτω πίνακα.

Η φαινόλη στη βιομηχανία
εικόνα
εικόνα
εικόνα

Γνωρίζεις ότι...

Οι ψευδορμόνες

Στη δεκαετία του ’80, ένας Άγγλος παραγωγός ψαριών ειδοποίησε το Βρετανό καθηγητή John Sumpter από το Πανεπιστήμιο Brunel του Λονδίνου, για να παρατηρήσει ένα μυστήριο κατ’ αυτόν φαινόμενο: οι αρσενικές πέστροφες που εξέτρεφε γεννούσαν αυγά. Όταν ο Sumpter έψαξε το θέμα στη βιβλιογραφία, ανακάλυψε άρθρα για τη θηλυκοποίηση αρσενικών πουλιών, ερπετών, σαρκοβόρων και ψαριών σε πολλά μέρη του κόσμου.

Τελικά ο Sumpter κατάφερε να αποδείξει ότι οι πέστροφες μολύνθηκαν από απόνερα, που περιείχαν συνθετικές ορμόνες. Τα πειράματα που έγιναν στη συνέχεια σε ποντίκια, στα οποία έδωσαν νερό εμπλουτισμένο με τρεις χημικές ουσίες με θηλυκές ορμόνες, όμοιες με αυτές που κυκλοφορούν άφθονες στο περιβάλλον, επιβεβαίωσαν το παρακάτω συμπέρασμα: οι συνθετικές ορμόνες στο περιβάλλον μπορούν να αρρενοποιήσουν ή να θηλυκοποιήσουν, και αυτό όχι μόνο άμεσα, αλλά και έμμεσα, ακολουθώντας μη γνωστούς μεταβολικούς δρόμους.

Οι συνθετικές ορμόνες είναι χημικές ουσίες που έχουν παρόμοια χημική δομή με αυτή των αναπαραγωγικών ορμονών, των οιστρογόνων, οπότε επιδρούν στα ορμονικά συστήματα και διαταράσσουν τη γενετική διαδικασία. Στην εποχή της χημείας του πλαστικού και του χλωρίου, η εξάπλωση των ουσιών αυτών είναι τεράστια. Από τη βενζίνη μέχρι το σαμπουάν, τους φακούς επαφής, τις κονσέρβες, τα υλικά συσκευασίας τροφίμων και τα παρασιτοκτόνα, οι συνθετικές ορμόνες βρίσκονται παντού. Οι «ψευδορμόνες», όπως χαρακτηρίζονται, είναι στο σύνολό τους τοξικές ουσίες, που προσομοιάζουν με ορμόνες και εισέρχονται στις λειτουργίες του οργανισμού «ξεγελώντας» τους αμυντικούς μηχανισμούς του. Μερικές από αυτές τις ουσίες, καθώς και τα προϊόντα που τις περιέχουν αναφέρονται παρακάτω:

• Διφαινόλη Α: σε κονσερβοκούτια, φελλούς μπουκαλιών, σωλήνες ύδρευσης, πλαστικές ύλες, φακούς επαφής.

• Αλκυφαινόλες: σε απορρυπαντικά, αντιοξειδωτικά - αντιθολωτικά πλαστικών, σαμπουάν, καλλυντικά, βενζίνη.

• Χλωροενώσεις, όπως χλωριωμένα διφαινύλια PCB’s και διοξίνες στο περιβάλλον, στα λιπαρά τρόφιμα, όπως και στα προϊόντα γάλακτος, σοκολάτες και αλλαντικά.

• Πενταχλωροφαινόλη, σε προστατευτικές ουσίες του ξύλου, σε δερμάτινα είδη κ.ά.

Αποδείξεις για την επίδραση των συνθετικών ορμονών, μέχρι σήμερα, έχουμε μόνο στα ζώα, μέσω πειραμάτων, που για ηθικούς λόγους απαγορεύεται να γίνουν στους ανθρώπους.

Η Ενωμένη Ευρώπη και οι βιομηχανίες της αποφάσισαν να επενδύσουν εκατοντάδες εκατομμύρια ECU στην έρευνα για τις συνέπειες της μη ορθολογικής διαχείρισης του περιβάλλοντος και ειδικά για την επικίνδυνη δράση των ψευδορμονών.

εικόνα

Γνωρίζεις ότι...

Το οινόπνευμα και οι συνέπειές του

Σύμφωνα με τη λαϊκή παράδοση, το κλήμα μεταφέρθηκε για πρώτη φορά από την Ιωνία στην Ελλάδα από το Διόνυσο, το θεό του κρασιού. Ο Διόνυσος, όμως, είχε πρόβλημα στη μεταφορά του κλήματος από τη μακρινή Ιωνία. Έκοψε λοιπόν ένα μικρό μόσχευμα και έψαξε να βρει ένα μέσο να το μεταφέρει. Το πρώτο πράγμα που βρήκε ήταν ένα κρανίο πουλιού. Το γέμισε με χώμα, στρίμωξε μέσα το μόσχευμα και άρχισε το ταξίδι του.

Στη διάρκεια του ταξιδιού όμως, το μόσχευμα μεγάλωσε και δε χωρούσε στο κρανίο του πουλιού. Ο Διόνυσος έψαξε ξανά γύρω του και τελικά βρήκε ένα μεγαλύτερο κρανίο, το κρανίο ενός γαϊδάρου. Αυτό ήταν αρκετά μεγάλο και χώρεσε το κλήμα και το κρανίο του πουλιού. Ο Διόνυσος πρόσθεσε κι άλλο χώμα και συνέχισε το ταξίδι του για την Ελλάδα. Όταν και το κρανίο του γαϊδάρου αποδείχτηκε μικρό για το κλήμα που όλο και μεγάλωνε, ο Διόνυσος έψαξε και βρήκε το κρανίο ενός λιονταριού. Πρόσθεσε και σ’ αυτό λίγο χώμα και έφερε έτσι το κλήμα στην Αθήνα. Για το λόγο αυτό, η παράδοση λεει πως, όταν πίνει κανείς κρασί, στην αρχή κελαηδάει σαν πουλάκι. Όσο περισσότερο πίνει, φέρεται σαν γάιδαρος και στο τέλος αποκτά το κουράγιο και τη δύναμη ενός λιονταριού και αρχίζει τις απειλές και τους καβγάδες.

Το οινόπνευμα είναι μια κατασταλτική ουσία, που μειώνει το άγχος, την υπερένταση και τους ανασταλτικούς μηχανισμούς. Σε χαμηλές δόσεις το οινόπνευμα μπορεί να δράσει ως διεγερτικό, ενώ σε υψηλές δόσεις δρα ως κατασταλτικό. Και στις δύο περιπτώσεις μεταβάλλει σημαντικά τη διάθεση και τη συμπεριφορά του ατόμου. Ακόμα διεγείρει την όρεξη, προκαλεί απώλεια θερμότητας και αφυδάτωση. Αν είναι κανείς νηστικός και πιει ένα δυνατό ποτό, όπως ούζο, ουίσκι, ή τσίπουρο μέσα σε 30΄ περίπου το οινόπνευμα απορροφάται από το στομάχι και το έντερό του, φτάνει στο συκώτι και γρήγορα στον εγκέφαλό του. Το οινόπνευμα στο συκώτι με την επίδραση κάποιων ενζύμων μεταβολίζεται σε ακεταλδεΰδη, η οποία είναι δηλητηριώδης ουσία.

CH3CH2OH + ½O2εικόνα CH3CHO + H2O

Η ακεταλδεΰδη στη συνέχεια, με την επίδραση του ενζύμου αφυδρογονάση της ακεταλδεΰδης, μετατρέπεται σε οξικό οξύ, το οποίο χρησιμοποιείται από τον οργανισμό ως πηγή ενέργειας.

CH3CHO + ½O2εικόνα CH3COOH

Το οινόπνευμα έρχεται εύκολα στην κυκλοφορία του αίματος και στον εγκέφαλο, ο ακριβής όμως μηχανισμός της δράσης του στον εγκέφαλο δεν είναι γνωστός. Πολλοί επιστήμονες πιστεύουν ότι η αλληλεπίδραση του οινοπνεύματος με τις ουσίες που δρουν ως ηρεμιστικά στον εγκέφαλο (π.χ. γ-αμινοβουτυρικό οξύ), οδηγεί στη δυνατότητα του οινοπνεύματος να μειώνει το άγχος. Έχει υπολογιστεί ότι 4 εκατομμύρια άτομα κάνουν κατάχρηση οινοπνεύματος και άλλα 11 εκατομμύρια έχουν εξάρτηση από αυτό. Γενετικοί και περιβαλλοντικοί παράγοντες συμβάλλουν στην ανάπτυξη του αλκοολισμού, αλλά δεν υπάρχει ένας παράγοντας ή συνδυασμός παραγόντων που να επιτρέπει στους γιατρούς να προβλέπουν ποιο άτομο θα γίνει αλκοολικό.

Η μακροχρόνια έκθεση του ήπατος στη χημική επίδραση της ακεταλδεΰδης μπορεί να προκαλέσει κίρρωση του ήπατος και βλάβες σε άλλα όργανα. Και η βραχυχρόνια όμως, έκθεση στην επίδραση της ακεταλδεϋδης μπορεί να προκαλέσει κάποια πάθηση, αν η συγκέντρωση σε κάποιο όργανο είναι μεγάλη.

εικόνα

Γνωρίζεις ότι...

Οινοπνευματώδη ποτά

Τα οινοπνευματώδη ποτά διακρίνονται ανάλογα με την πρώτη ύλη, την περιεκτικότητα σε αλκοόλη, τον τρόπο παρασκευής και την προσθήκη άλλων ουσιών σε αυτά. Μπορούν δε να χωριστούν στις εξής κατηγορίες:

(α) Μη αποσταζόμενα (β) Αποσταζόμενα και (γ) Ηδύποτα.

• Τα μη αποσταζόμενα λαμβάνονται απευθείας με αλκοολική ζύμωση διαφόρων σακχαρούχων υγρών. Τα σπουδαιότερα ποτά αυτής της κατηγορίας είναι ο οίνος (κρασί) και ο ζύθος (μπύρα).

• Τα αποσταζόμενα αλκοολούχα ποτά λαμβάνονται με απόσταξη αλκοολούχων διαλυμάτων ενώ προστίθενται σε αυτά και αρωματικές ύλες. Έχουν μεγάλη περιεκτικότητα σε οινόπνευμα (30-70% v/v). Τα πιο γνωστά από αυτά είναι το κονιάκ, το μπράντι, το ούζο, η ρακή, το ουίσκι, η βότκα, κ. ά.

• Τα ηδύποτα (λικέρ) λαμβάνονται είτε με κατεργασία φρούτων ή αρωματικών υλών με αλκοόλη και προσθήκη σιροπιού είτε με ανάμιξη οινοπνεύματος, νερού, ζάχαρης και αιθέριων ελαίων (φυσικών ή τεχνητών). Γνωστότερα ηδύποτα (λικέρ) είναι το τσέρι, το πίππερμαν, το βερμούτ, το καμπάρι, κ.ά.

Κρασιά. Γενικά χαρακτηριστικά για τα κρασιά είναι η περιεκτικότητά τους σε οινόπνευμα (που συνήθως κυμαίνεται από 10% έως 15% v/v), το άρωμα, το χρώμα τους (κόκκινο, λευκό, ροζέ) και η προέλευση των σταφυλιών. Τα κρασιά διακρίνονται στις παρακάτω κατηγορίες.

Ξηρά (sec) ή επιτραπέζια κρασιά. Χαρακτηριστικό τους είναι ότι όλη η ποσότητα του αρχικού σακχάρου που περιείχε ο μούστος έχει μετατραπεί σε οινόπνευμα

Ημίγλυκα και γλυκά κρασιά. Αυτά χαρακτηρίζονται από την παρουσία μέτριας ή σημαντικής ποσότητας σακχάρου αντίστοιχα. Συνήθως τα πιο εκλεκτά από αυτά παρασκευάζονται από σταφύλια που έχουν ξηραθεί στον ήλιο και δίνουν μούστο μεγάλης περιεκτικότητας σε σάκχαρο. Μέρος τους σακχάρου ζυμώνεται και δίνει αλκοόλη, ενώ το υπόλοιπο περισσεύει και δίνει τη γλυκύτητα στο κρασί.

Αφρώδη ή καμπανίτες (Champagne). Οι αφρώδεις οίνοι περιέχουν CO2, το οποίο προέρχεται είτε από τη ζύμωση και παραμένει με ειδική διεργασία στο κρασί είτε προστίθεται από έξω (τεχνητοί αφρώδεις οίνοι).

Ανακεφαλαίωση

  1. Αν αντικαταστήσουμε ένα ή περισσότερα άτομα υδρογόνου άκυκλου υδρογονάνθρακα με υδροξύλιο, προκύπτουν ενώσεις που ονομάζονται αλκοόλες.
  2. Αν αντικαταστήσουμε ένα η περισσότερα άτομα υδρογόνου του βενζολικού δακτυλίου αρωματικού υδρογονάνθρακα με υδροξύλιο, προκύπτουν ενώσεις που ονομάζονται φαινόλες.
  3. Η σπουδαιότερη κορεσμένη μονοσθενής αλκοόλη είναι η αιθανόλη ή οινόπνευμα (C2H5OH). Μεγάλες ποσότητες αιθανόλης παρασκευάζονται σε πετροχημικά εργοστάσια από το αιθυλένιο.
  4. Οι σπουδαιότερες χημικές ιδιότητες της αιθανόλης είναι η καύση, η εστεροποίηση, η οξείδωση, η αφυδάτωση και η αντίδραση με ισχυρά μέταλλα όπως το Na.
  5. Η αιθανόλη χρησιμοποιείται κυρίως στα αλκοολούχα ποτά καθώς και ως πρώτη ύλη στη βιομηχανία για την σύνθεση οργανικών ενώσεων.
  6. Η φαινόλη ή υδροβενζόλιο είναι η απλούστερη αρωματική αλκοόλη και τα μεγαλύτερα ποσά της σήμερα παρασκευάζονται από το πετρέλαιο.
  7. Η φαινόλη δίνει δύο κατηγορίες αντιδράσεων, τις αντιδράσεις του αρωματικού δακτυλίου και της πλευρικής ομάδας που είναι το υδροξύλιο.
  8. Η φαινόλη χρησιμοποιείται στη βιομηχανία πλαστικών (βακελίτης, nylon), ως αντισηπτικό κλπ.

Λέξεις - Κλειδιά

  • αλκοόλες
  • φαινόλες
  • αιθανόλη (οινόπνευμα)
  • γλυκόζη
  • ζύμωση
  • αιθυλένιο
  • εστεροποίηση
  • οξείδωση
  • αφυδάτωση
  • αλκοξείδια
  • φαινόλη
  • κουμόλιο

Ερωτήσεις - Ασκήσεις - Προβλήματα

Ερωτήσεις Επανάληψης

  1. Πώς προκύπτουν οι αλκοόλες και πώς οι φαινόλες; Να δώσετε από ένα παράδειγμα.
  2. Ποιος είναι ο γενικός τύπος των κορεσμένων μονοσθενών αλκοολών; Πώς θεωρούμε ότι προέρχονται οι αλκοόλες αυτές;
  3. Τι είναι η αλκοολική ζύμωση; Τι είναι η ζυμάση;
  4. Να αναφέρετε μερικές φυσικές ιδιότητες των κορεσμένων μονοσθενών αλκοολών.
  5. Πώς παρασκευαζόταν η φαινόλη στη βιομηχανία παλαιότερα και πώς παρασκευάζεται σήμερα;

Ασκήσεις - Προβλήματα

  1. Να συμπληρώσετε τις παρακάτω προτάσεις:
    α. Κορεσμένες είναι οι αλκοόλες ……………
    β. Ακόρεστες είναι οι αλκοόλες ……………
    γ. Μονοσθενείς είναι οι αλκοόλες ……………
    δ. Δισθενείς είναι οι αλκοόλες ……………
    ε. Πρωτοταγείς είναι οι αλκοόλες ……………
    στ. Τριτοταγείς είναι οι αλκοόλες ……………
    ζ. Δισθενείς είναι οι φαινόλες ……………
  2. Να γράψετε τις χημικές αντιδράσεις παρασκευής της αιθανόλης από τη γλυκόζη.
  3. Να συμπληρώσετε τις παρακάτω προτάσεις:
    Η αιθανόλη είναι …………, άχρωμο με ……… …… γεύση και σχετικά ευχάριστη ……… . Η αιθανόλη αναμιγνύεται με το ……… σε οποιαδήποτε αναλογία και κατά την ανάμιξη παρατηρείται …………… και εκλύεται ………… .
*9.
Να συμπληρώσετε τις παρακάτω αντιδράσεις:
α. CH3CH2CH2OH + |O| →……… (A) + ………
β. (A) + |O| → ……… (B)
γ. CH3CH=CH2 + H2O → ……… (Γ)
δ. (Γ) + |O| → ……… (Δ) + ………
ε. (B) + (Γ) → ………. (Ε) + ………
Οι ουσίες (Α), (Β), (Γ), (Δ) και (Ε) είναι οργανικές χημικές ενώσεις. Να δώσετε τις ονομασίες των παραπάνω οργανικών ενώσεων.
  1. Να γράψετε τις χημικές εξισώσεις της αφυδάτωσης της 2-προπανόλης παρουσία H2SO4: α) στους 170 °C, β) στους 140 °C. Να δώσετε τις ονομασίες των οργανικών προϊόντων.
*11.
Από το πετρέλαιο παίρνουμε αιθυλένιο. Το αιθυλένιο θερμαίνεται με υδρατμούς παρουσία οξέος και μετατρέπεται σε ένωση (Α). Ορισμένη ποσότητα της (Α) χωρίζεται σε δύο μέρη. Το ένα μέρος οξειδώνεται πλήρως και παίρνουμε μία μόνο οργανική ουσία (Β). Οι ουσίες (Α) και (Β) αντιδρούν μεταξύ τους παρουσία οξέος και παίρνουμε την (Γ). Να
  1. γράψετε τις χημικές εξισώσεις των αντιδράσεων που αναφέρθηκαν, τις συνθήκες που πραγματοποιούνται και να δώσετε τις ονομασίες των ουσιών (Α), (Β), (Γ).
*12.
Από την πυρόλυση κλασμάτων του πετρελαίου παίρνουμε βενζόλιο και προπένιο. Οι δύο αυτοί υδρογονάνθρακες αντιδρούν μεταξύ τους παρουσία AlCl3 και σχηματίζεται ένας αρωματικός υδρογονάνθρακας που, όταν οξειδώνεται, μας δίνει μία αρωματική αλκοόλη και μία καρβονυλική ένωση. Να γράψετε τις χημικές εξισώσεις των αντιδράσεων που αναφέρθηκαν δίνοντας και τις ονομασίες των οργανικών ενώσεων.
  1. Να δώσετε τις χημικές εξισώσεις των αντιδράσεων με τις οποίες μπορούν να παρασκευασθούν:
    α) ένα οξύ από μία αλκοόλη,
    β) ένας εστέρας από μία αλκοόλη,
    γ) μία αλκοόλη από ένα αλκένιο,
    δ) μία αλδεΰδη από ένα αλκίνιο.
  2. Πώς θα διαπιστώσουμε ότι το υγρό περιεχόμενο ενός δοχείου, που είναι οργανική ένωση και έχει μοριακό τύπο C3H8O, είναι μία αλκοόλη ή ένας αιθέρας; Να γράψετε την αντίστοιχη χημική εξίσωση.
*15.
α)Υδατικό διάλυμα φαινόλης χρωματίζει το χαρτί ηλιοτροπίου κόκκινο. Να δώσετε μία χαρακτηριστική αντίδραση που εξηγεί το γεγονός αυτό.
β) Τι πρέπει να προσθέσουμε στο διάλυμα, ώστε μετά το χαρτί του ηλιοτροπίου να μην γίνεται κόκκινο; Να γράψετε την αντίστοιχη χημική εξίσωση.
*16.
Να δείξετε δύο διαφορετικούς τρόπους παρασκευής του οξικού οξέος από πρώτη ύλη ακετυλένιο και ανόργανα υλικά.
*17.
Θα μπορούσατε ποτέ να σκεφθείτε πώς από σταφύλια θα παρασκευάσετε πλαστικά είδη από πολυαιθυλένιο; Δώστε με λόγια και αντιδράσεις τη σκέψη σας. ΠΡΟΣΟΧΗ!
Η σκέψη σας είναι ασύμφορη οικονομικά, δηλαδή κοστίζει ακριβά. Γιατί;
  1. Πόσα γραμμάρια ανθρακασβεστίου χρειάζονται για να παρασκευαστούν με κατάλληλες αντιδράσεις 22 g αιθανάλης (ακεταλδεΰδης);
*19.
40 g διαλύματος γλυκόζης 50% w/w ζυμώνονται κατά 90% παρουσία ζυμάσης. Πόσα mL αλκοόλης πυκνότητας 0,8 g/mL σχηματίζονται;
*20.
Βάζουμε περίσσεια νερού σε ανθρακασβέστιο και παράγεται υδρογονάνθρακας που με σειρά αντιδράσεων μετατρέπεται σε CH3COOH. Να γράψετε τις χημικές εξισώσεις των αντιδράσεων και να υπολογίσετε την ποσότητα του CaC2 καθαρότητας 80% που απαιτείται για να παραχθούν 400 g διαλύματος οξικού οξέος 60% w/w.
*21.
Πόση ποσότητα γλυκόζης χρησιμοποιήθηκε κατά την παρασκευή 20 L αλκοολικού διαλύματος 14° (αλκοολικών βαθμών); ραλκοόλης = 0,8 g/mL.
  1. Πόσα λίτρα νερού πρέπει να προσθέσουμε σε 25 L ενός κρασιού 12°, για να παρασκευάσουμε κρασί 10°;
  1. Σε τρία δοχεία Α, Β και Γ τοποθετούνται αντιστοίχως 6,4 g μεθανόλης, 4,6 g αιθανόλης και 7,4 g 1-βουτανόλης και επιδρούμε με μεταλλικό νάτριο. Το υδρογόνο που εκλύεται μαζεύεται και μετράται ο όγκος του σε θερμοκρασία 25° C και πίεση 740 mmHg. Πόσος είναι ο όγκος του Η2;
*24.
Να γραφούν οι συντακτικοί τύποι των κορεσμένων μονοσθενών αλκοολών που έχουν Μr=60. Να γράψετε τις αντιδράσεις οξείδωσης τους και τις αντιδράσεις εστεροποίησης με το αιθανικό οξύ. Να ονομάσετε τις αλκοόλες, τα προϊόντα οξείδωσης και τα προϊόντα εστεροποίησης.
*25.
Με την επίδραση μιας κορεσμένης μονοσθενούς αλκοόλης στο αιθανικό οξύ προκύπτει εστέρας με Μr=116. Αν είναι γνωστό ότι η αλκοόλη αυτή δεν μπορεί να οξειδωθεί, να γράψετε το συντακτικό τύπο του εστέρα.
*26.
Κορεσμένη μονοσθενής αλκοόλη (Α) αντιδρά με το αιθανικό (οξικό οξύ) και δίνει εστέρα (Β) που έχει Μr=102. Αν η (Α) οξειδώνεται σε κετόνη (Γ) να βρείτε το συντακτικό τύπο και τα ονόματα των (Α), (Β) και (Γ).
*27.
Μεταλλικό νάτριο επιδρά σε μία κορεσμένη μονοσθενή αλκοόλη, οπότε εκλύεται υδρογόνο. Από 6,61 g της αλκοόλης αυτής παίρνουμε 1 L υδρογόνου μετρημένο σε STP. Να βρείτε: α) το μοριακό τύπο της αλκοόλης   και β) τη σχετική μοριακή μάζα της.
*28.
Μίγμα αιθανόλης και αιθανάλης βάρους 45 g οξειδώνεται πλήρως. Το προϊόν για να εξουδετερωθεί χρειάζεται 500 mL διαλύματος ΝaΟΗ συγκέντρωσης 2 Μ. Να βρείτε την κατά βάρος σύσταση του μίγματος.
*29.
2,3 g κορεσμένης μονοσθενούς αλκοόλης οξειδώνονται πλήρως σε οξύ με τον ίδιο αριθμό ατόμων C. Το οξύ εξουδετερώνεται από διάλυμα NaOH. Το άλας που προκύπτει θερμαίνεται με NaOH και δίνει 1,12 L αερίου σε STP. Ποιος είναι ο μοριακός τύπος και η ονομασία της αλκοόλης;
*30.
Μία κορεσμένη μονοσθενής αλκοόλη (Α) κατά την οξείδωσή της δίνει το αντίστοιχο οξύ που έχει μάζα κατά 18,9% μεγαλύτερη από τη μάζα της αλκοόλης. Ποιοι είναι οι συντακτικοί τύποι της αλκοόλης και οι ονομασίες τους;

Δραστηριότητα

Αλκοτέστ και μεταβολισμός αλκοόλης

Η ποσότητα της αλκοόλης που καταναλώνει ένα άτομο περνά μέσα από το γαστρεντερικό του σύστημα στο αίμα. Από εκεί πρακτικά μεταφέρεται σε όλους τους ιστούς του σώματος περιλαμβανομένου και του εγκεφάλου. Το μέγιστο της ποσότητας της αλκοόλης ανιχνεύεται στο αίμα 60 έως 90 λεπτά μετά την κατανάλωση (με άδειο στομάχι). Ένα περίπου 10% της ποσότητας αυτής αποβάλλεται μέσω της αναπνοής, της διαπνοής και της ούρησης. Το υπόλοιπο 90% μεταβολίζεται από το συκώτι με έναν ορισμένο ρυθμό.

Ένας ενήλικας βάρους περί τα 70 kg καταναλώνει 6 ποτήρια κρασί 12 αλκοολικών βαθμών. Μετά από 1 h το επίπεδο αλκοόλης στο αίμα προσδιορίζεται και είναι ίσο με 0,15 g /100 mL. Με βάση τα παραπάνω, να υπολογίσετε:

  1. Έναν μέσο ρυθμό μεταβολισμού της αλκοόλης.
  2. Ποια ποσότητα μπίρας θα έφερνε το ίδιο αποτέλεσμα; Αν πρόκειται για «σκληρό ποτό», ποια είναι η αντιστοιχία;
  3. Αν το άτομο αυτό συλληφθεί και υποβληθεί σε αλκοτέστ με ποια κατηγορία θα προσαχθεί σε δίκη; Υπενθυμίζεται ότι ανάλογα με την ποσότητα αλκοόλης στο αίμα οι κατηγορίες είναι: οδήγηση κάτω από την επήρεια και οδήγηση σε κατάσταση μέθης. Ποια είναι τα αντίστοιχα όρια;

    Να αναζητήσετε τα απαραίτητα δεδομένα και τις σταθερές από την βιβλιογραφία. Μην ξεχνάτε ότι οι υπολογισμοί που κάνετε είναι «κατ΄ εκτίμηση».

Aπαντήσεις στις ασκήσεις πολλαπλής επιλογής και
σωστού λάθους

  1. Α: προπανάλη
    Β: προπανικό οξύ
    Γ: 2- προπανόλη
    Δ: προπανόνη
    Ε: προπανικός ισοπροπυλεστέρας
  1. A: αιθανόλη (αιθυλική αλκοόλη)
    Β: αιθανικό (οξικό) οξύ
    Γ: αιθανικός αιθυλεστέρας