Γεωμετρία (Β Λυκείου) - Βιβλίο Μαθητή (Εμπλουτισμένο)
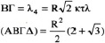
Κεφάλαιο 13: Στερεά σχήματα Επιστροφή στην αρχική σελίδα του μαθήματος
ΠΑΡΑΡΤΗΜΑ B'

Γεωμετρία της σφαίρας

1. ΕΙΣΑΓΩΓΗ

Στο Παράρτημα αυτό θα παρουσιαστεί μία σύντομη εισαγωγή στη Γεωμετρία της σφαίρας, θα μελετήσουμε δηλαδή, κατ' αναλογία με την γεωμετρία του επιπέδου, ιδιότητες σχημάτων στην επιφάνεια της σφαίρας.

2. ΒΑΣΙΚΟΙ ΟΡΙΣΜΟΙ ΚΑΙ ΠΡΟΤΑΣΕΙΣ

Σε μια σφαίρα κέντρου Ο (σχ. 1), υπάρχουν άπειροι μέγιστοι κύκλοι, που περνάνε από ένα σημείο της Α. Οι μέγιστοι αυτοί κύκλοι ορίζονται ως τομή της σφαίρας με τα επίπεδα που περνάνε από την ακτίνα OA. Παρατηρούμε όμως ότι αυτοί οι κύκλοι διέρχονται και από ένα δεύτερο σημείο Α', το αντιδιαμετρικό σημείο του Α.

εικόνα

Δύο σημεία Α και Β μη αντιδιαμετρικό στην επιφάνεια της σφαίρας (σχ. 2), ορίζουν έναν και μόνο ένα μέγιστο κύκλο που περιέχει τα σημεία αυτά. Αποδεικνύεται ότι το μικρότερο από τα δύο τόξα του μέγιστου κύκλου είναι η συντομότερη απόσταση μεταξύ των δύο αυτών σημείων, μετρημένη πάνω στην επιφάνεια της σφαίρας. Κάθε άλλη γραμμή που συνδέει τα δύο αυτά σημεία, πάνω στην επιφάνεια της σφαίρας έχει μήκος μεγαλύτερο από αυτό του τόξου ΑΒ. Έχουμε λοιπόν τις προτάσεις:

  • Από κάθε σημείο μιας σφαίρας διέρχονται άπειροι μέγιστοι κύκλοι.
  • Δύο τυχόντες μέγιστοι κύκλοι τέμνονται σε δύο αντιδιαμετρικό σημεία.
  • Δύο μη αντιδιαμετρικά σημεία σε μία σφαίρα ορίζουν ένα μέγιστο κύκλο.

Ονομάζουμε γωνιακή απόσταση ή απόσταση μεταξύ δύο σημείων Α και Β μιας σφαίρας το μικρότερο από τα δύο τόξα ΑΒ του μέγιστου κύκλου που αυτά ορίζουν. Είναι το ίδιο αν ορίσουμε την απόσταση ως την επίκεντρη κυρτή γωνία ΑÔΒ (σχ.2), που ορίζουν τα δύο σημεία Α και Β, με το κέντρο Ο της σφαίρας. Το τόξο ή η γωνία μπορεί να μετρηθεί σε ορθές, μοίρες ή ακτίνια. Εάν τα σημεία είναι αντιδιαμετρικά, τότε τα δύο τόξα του μέγιστου κύκλου είναι ίσα μεταξύ τους και επιλέγουμε ένα από τα δύο για να μετρήσουμε την απόσταση τους.

Ονομάζουμε γωνία δύο μέγιστων κύκλων τη δίεδρη γωνία που σχηματίζουν τα επίπεδα των δύο κύκλων. Άξονας ενός μέγιστου κύκλου λέγεται η ευθεία που είναι κάθετη στο επίπεδο του κύκλου, στο κέντρο της σφαίρας. Πόλοι ενός κύκλου λέγονται τα σημεία τομής ταυ άξονα του κύκλου με τη σφαίρα. Οι πόλοι είναι προφανώς αντιδιαμετρικά σημεία της σφαίρας.

Όταν αναφερόμαστε στον πόλο ενός μέγιστου κύκλου θα εννοούμε έναν από τους δύο πόλους.

 


Για τον προσδιορισμό της θέσης ενός σημείου επάνω στη σφαίρα, χρησιμοποιείται το εξής σύστημα αναφοράς. Θεωρούμε ένα μέγιστο κύκλο, που τον λέμε ισημερινό, τους παράλληλους μικρούς κύκλους και τους πόλους του Β και Ν (σχ.3). Ο ένας πόλος λέγεται βόρειος και ο άλλος νότιος. Οι μέγιστοι κύκλοι που περνάνε από τους πόλους Β και Ν λέγονται μεσημβρινοί.

εικόνα

Το σημείο τομής Α του ισημερινού με έναν συγκεκριμένο μεσημβρινό θεωρείται αρχή των μετρήσεων. Ένα σημείο της σφαίρας Μ βρίσκεται στην τομή ενός παραλλήλου και ενός μεσημβρινού (σχ.3). Το τόξο ΓΜ από τον ισημερινό μέχρι τον παράλληλο του σημείου Μ λέγεται πλάτος ενώ το τόξο επί του ισημερινού από την αρχή Α των μεσημβρινών μέχρι του μεσημβρινού ΓΜ του σημείου Μ λέγεται μήκος. Το πλάτος παίρνει τιμές από -90" (νότιος πόλος) μέχρι +90° (βόρειος πόλος) ενώ το μήκος +180° προς τη μία κατεύθυνση του ισημερινού και - 180ο προς την άλλη. Το σύστημα αυτό χρησιμοποιείται στη Γεωγραφία την Αστρονομία και τα Μαθηματικά με διάφορα ονόματα.

Προτάσεις

  • Η γωνία δύο μέγιστων κύκλων ισούται με τη γωνία των εφαπτομένων των μέγιστων κύκλων σ' ένα σημείο τομής και έχει μέτρο ίσο με το τόξο του μέγιστου κύκλου που έχει ως πόλους τα κοινά σημεία των δύο κύκλων (σχ 4).
  • Η γωνία δύο μέγιστων κύκλων ισούται με την απόσταση των πόλων τους (σχ 4).
  • Δύο μέγιστοι κύκλοι είναι κάθετοι αν και μόνον αν καθένας από αυτούς περιέχει τον πόλο του άλλου.
  • Από τον πόλο ενός μέγιστου κύκλου άγονται άπειρα τόξα, κάθετα στο μέγιστο κύκλο.
3. ΑΤΡΑΚΤΟΙ ΚΑΙ ΟΝΥΧΕΣ

Το μέρος της επιφάνειας της σφαίρας που περιέχεται μεταξύ δύο ημιπεριφερειών μέγιστων κύκλων λέγεται άτρακτος (σχ 5). Η γωνία των ημιπεριφερειών λέγεται γωνία του άτρακτου. Σφαιρικός όνυχας λέγεται το μέρος του όγκου της σφαίρας που περιέχεται μεταξύ των δύο ημικυκλίων μέγιστων κύκλων. Βάση του σφαιρικού όνυχα λέγεται ο άτρακτος που περιέχεται μεταξύ των ημικυκλίων.

εικόνα

ΠΑΡΑΡΤΗΜΑ B'

Γωνία σφαιρικού όνυχα λέγεται η γωνία της βάσης του όνυχα.

Αποδεικνύονται οι εξής προτάσεις:

  • Δύο άτρακτοι, στην ίδια σφαίρα, με ίσες γωνίες είναι ίσοι.
  • Ο λόγος των εμβαδών δύο ατράκτων στην ίδια σφαίρα, ισούται με το λόγο των γωνιών τους.
4. ΣΦΑΙΡΙΚΑ ΤΡΙΓΩΝΑ

Σφαιρικό τρίγωνο λέγεται το μέρος της σφαίρας το οποίο περικλείεται μεταξύ των τόξων τριών μέγιστων κύκλων, με την προϋπόθεση ότι τα τόξα είναι μικρότερα από ημικύκλια.

Παράδειγμα

Το σχήμα ΑΒΓ (σχ.6), είναι ένα σφαιρικό τρίγωνο. Τα σημεία τομής των μέγιστων κύκλων Α, Β, Γ λέγονται κορυφές και τα τόξα ΑΒ, ΒΓ, ΓΑ λέγονται πλευρές του σφαιρικού τριγώνου. Οι γωνίες που σχηματίζουν οι τρεις μέγιστοι κύκλοι ανά δύο λέγονται γωνίες του σφαιρικού τριγώνου και τις συμβολίζουμε συνήθως με τα γράμματα των κορυφών Α, Β, Γ. Τις πλευρές του τριγώνου τις συμβολίζουμε συνήθως με τα μικρά γράμματα των απέναντι κορυφών, δηλαδή συμβολίζουμε με α, β, γ τις πλευρές ΒΓ, ΓΑ, ΑΒ αντίστοιχα.

εικόνα

Πρέπει να τονίσουμε ότι η γεωμετρία στη σφαίρα δεν επηρεάζεται από την ακτίνα της, διότι όλα τα μετρούμενα μεγέθη, μήκη πλευρών και γωνίες κορυφών, μετρώνται με τόξα μέγιστων κύκλων και όχι με μήκη.

Είδη σφαιρικών τριγώνων

Ένα σφαιρικό τρίγωνο χαρακτηρίζεται αναλόγως των πλευρών ή των γωνιών του ως εξής:

εικόνα

Θεωρούμε ως μονάδα μέτρησης γωνιών και πλευρών την ορθή γωνία και ως μονάδα μέτρησης των εμβαδών αυτό του τρισορθογώνιου σφαιρικού τριγώνου, δηλαδή το 18 της σφαίρας.

 


  • Το εμβαδόν ενός ατράκτου ισούται με το διπλάσιο της γωνίας του.

Απόδειξη
Θεωρούμε τον άτρακτο ΒΟΑ, σχ. 5, με γωνία φ και τον ορθογώνιο άτρακτο ΒΟΓ. Ο λόγος των εμβαδών τους είναι όπως ο λόγος των γωνιών τους, δηλαδή:

εικόνα

Αλλά ο άτρακτος ΒΟΓ ισούται με δύο τρισορθογώνια σφαιρικά τρίγωνα, επομένως, η σχέση (1) γράφεται: ατρ(ΒΟΑ)=2φ.
Σφαιρική υπεροχή ενός τριγώνου ΑΒΓ λέγεται η διαφορά (Α+Β+Γ-2).

  • Το εμβαδόν ενός σφαιρικού τριγώνου ισούται με τη σφαιρική υπεροχή του τριγώνου.

Απόδειξη
Ο άτρακτος που σχηματίζει η γωνία A του τριγώνου ΑΒΓ, (σχ.6), χωρίζεται από τη ΒΓ σε δύο τρίγωνα, επομένως, για τα εμβαδά τους ισχύει:
ατρ. A =εμ.(ΑΒΓ)+εμ.(Α'ΒΓ)     (1)
Ομοια:
ατρ. Β = εμ.(ΑΒΓ)+ εμ.(ΑΒ'Γ)     (2)
ατρ. Γ = εμ.(ΑΒΓ)+εμ.(ΑΒΓ')=εμ.(ΑΒΓ)+εμ.(Α'Β'Γ)     (3)

Προσθέτοντας κατά μέλη έχουμε:
ατρ. A +ατρ Β +ατρ Γ =ημισφ ΑΒ + 2 εμ.(ΑΒΓ),
και επειδή η μονάδα είναι η ορθή γωνία, έχουμε:
2Α+2Β+2Γ=4+2εμβ.(ΑΒΓ) ⇒ εμ.(ΑΒΓ) = Α+Β+Γ - 2.

Σε κάθε σφαιρικό τρίγωνο ισχύουν οι εξής προτάσεις:

  • κάθε πλευρά είναι μικρότερη του αθροίσματος των δύο άλλων.
  • το άθροισμα των τριών πλευρών είναι μικρότερο των τεσσάρων ορθών.
  • το άθροισμα των γωνιών του είναι μεγαλύτερο των δύο ορθών.
  • απέναντι άνισων πλευρών βρίσκονται ομοίως άνισες γωνίες.
  • αν είναι ισοσκελές έχει τις γωνίες που βρίσκονται απέναντι των ίσων πλευρών ίσες. Επίσης, η διάμεσος είναι ύψος και διχοτόμος.
  • αν είναι ισόπλευρο είναι και ισογώνιο.
  • τα κάθετα τόξα μέγιστων κύκλων στα μέσα των πλευρών του (μεσοκάθετοι), περνάνε από το ίδιο σημείο. Το σημείο αυτό ισαπέχει από τις κορυφές του τριγώνου.
  • τα τόξα μέγιστων κύκλων που διχοτομούν τις γωνίες ενός σφαιρικού τριγώνου (διχοτόμοι), περνάνε από το ίδιο σημείο. Το σημείο αυτό ισαπέχεια από τις πλευρές του τριγώνου.
  • τα τόξα μέγιστων κύκλων που περνάνε από τις κορυφές και είναι κάθετα στις απέναντι πλευρές (ύψη) περνάνε από το ίδιο σημείο.
  • ισχύουν τα Θεωρήματα του συνημιτόνου και ημιτόνου:
    εικόνα
ΠΑΡΑΡΤΗΜΑ B'

5. ΕΦΑΡΜΟΓΕΣ

Η Σφαιρική Γεωμετρία έχει εφαρμογές στην Αστρονομία, Ναυσιπλοία, Χαρτογραφία και αλλού.

Στην Αστρονομία, εφαρμόζεται στη μελέτη προβλημάτων που δεν μας ενδιαφέρει η απόσταση των ουρανίων σωμάτων από τη Γη αλλά η θέση τους στον ουράνιο θόλο που θεωρείται σφαιρικός με κέντρο το κέντρο της Γης.

Η Γη θεωρείται κατά προσέγγιση σφαιρική, επομένως η σφαιρική γεωμετρία έχει εφαρμογές και στις επιστήμες που σχετίζονται με το σχήμα της Γης. Μία από αυτές είναι η Ναυσιπλοία και χρησιμεύει για να γίνονται υπολογισμοί πορείας.

Είναι γνωστό από την αρχαιότητα ότι η επιφάνεια της σφαίρας δεν είναι δυνατόν να αναπτυχθεί στο επίπεδο. Δηλαδή, δεν μπορούμε να αναπτύξουμε τη σφαίρα στο επίπεδο όπως κάναμε με τον κύλινδρο και τον κώνο. Εάν προσπαθήσουμε να κάνουμε αυτό το ανάπτυγμα, θα τσαλακώσουμε ή θα σκίσουμε την επιφάνεια της σφαίρας. Αυτό συμβαίνει διότι η σφαίρα έχει καμπυλότητα που διαφέρει ποιοτικά από αυτήν του κυλίνδρου ή του κώνου. Λόγω αυτής της ιδιότητας οι χάρτες δεν μπορεί να είναι ακριβείς.


6. ΠΑΡΑΤΗΡΗΣΗ

Παρατηρούμε ότι στη γεωμετρία της σφαίρας, το άθροισμα των γωνιών ενός σφαιρικού τριγώνου είναι μεγαλύτερο από δύο ορθές, σε αντίθεση με την Ευκλείδεια Γεωμετρία όπου το άθροισμα των γωνιών ενός τριγώνου ισούται με δύο ορθές. Η ιδιότητα αυτή είναι ισοδύναμη με την μη ύπαρξη παράλληλων «ευθειών», δηλαδή κάθε δύο μέγιστοι κύκλοι τέμνονται. Η γεωμετρία αυτή λέγεται σφαιρική ή Ελλειπτική Γεωμετρία.

Υπάρχουν επίσης γεωμετρίες στις οποίες το άθροισμα των γωνιών των τριγώνων τους είναι μικρότερο από δύο ορθές, που είναι ισοδύναμο με την ύπαρξη πολλών παράλληλων ευθειών που άγονται από σημείο εκτός ευθείας. Οι γεωμετρίες αυτές λέγονται Υπερβολικές Γεωμετρίες.

 

 

 

 

ΥΠΟΔΕΙΞΕΙΣ ΤΩΝ ΑΣΚΗΣΕΩΝ
ΚΕΦΑΛΑΙΟ 7

§7.1 - 7.6

Ασκήσεις εμπέδωσης
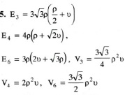
1. A =80°, Β = 60°, Γ = 40° 2. ω = 45° 3. α=30 cm, β=20 cm, γ=15cm
Αποδεικτικές ασκήσεις
1. A=100°, Β= 60°, Γ = 20°
2. Να λάβετε υπόψη σας τις ιδιότητες των αναλογιών
3.
εικόνα

§7.7

Ασκήσεις εμπέδωσης
1. Θεώρημα Θαλή
2. i) Θεώρημα Θαλή (ΖΓ\\ΑΔ), ii) Θεώρημα Θαλή (ΑΔ\\ΒΖ και ΑΒ\\ΔΗ)
3. Θεώρημα Θαλή (ΑΒ\\ΓΔ και ΒΕ\\ΑΓ)
4. Θεώρημα Θαλή και ΒΜ=ΜΓ
εικόνα

8. Αρκεί ΖΔΖΕ = ΗΔΗΕ
9. h = 8m.
Αποδεικτικές ασκήσεις
1. Να εξετάσετε 2 περιπτώσεις. Το Γ μεταξύ Ο και Β ή Ο και Α
2. Αρκεί x = y = ω , όπου μ αυθαίρετο τμήμα
3. Αρκεί ΖΒ = ΗΓ
4. Θεώρημα Θαλή (ΔΖ\\ΒΓ) και ιδιότητες αναλογιών
5. Θεώρημα Θαλή (ΔΕ\\ΒΓ)
6. i) Αρκεί ΑΚ=2ΜΚ
ii) ME = ΜΚΑΚ
7. Αρκεί ΔΕΔΓ = ΖΓΔΓ



   Σύνθετα θέματα
1. Φέρουμε ΔΖ\\ΒΓ
2. Φέρουμε ΑΕ\\ΒΓ
3. Θεώρημα Θαλή (BE\\OA και BZ\\OA)
4. Φέρουμε ΔΗ\\ΒΖ. Από θεώρημα Θαλή προκύπτει ότι ΖΓ = κ.λλ+1

5. Να αποδείξετε ότι ΚΓΚΒ = ΜΓΜΔ

§7.8 - 7.9

Ασκήσεις εμπέδωσης
1. Θεώρημα διχοτόμου στα τρίγ. ΑΒΜ και ΑΜΓ
2. ΔΕ=ΔΒ+ΕΒ=….
3. Παρατηρήστε ότι ΜΕ εξωτερική διχοτόμος του τριγ. ΑΜΓ
4. Αρκεί ΔΒ = ΕΓ
5. Θεώρημα διχοτόμου για τις ΑΔ,ΒΕ και ΓΖ
6. Αποδείξτε ότι BE διχοτόμος της ΒΔΓ.
7. Παρατηρήστε ότι ΟΓ,ΟΔ διχοτόμοι
8. Είναι ΔΒ

Αποδεικτικές ασκήσεις
1. Παρατηρείστε ότι OA εξωτερική διχοτόμος του τριγ. ΟΒΔ
2. Θεώρημα Θαλή (ΑΔ\\ΕΜ) και ΑΔ διχοτόμος
3. i) Η BI διχοτόμος στο τριγ. ΑΒΔ και ΒΔ = ΒΔ = αγβ+γ , ii) Αρκεί ΑΙΙΔ = ΚΜ
iii) Προκύπτει από το (ii)
4. Θεώρημα διχοτόμου και τριγωνική ανισότητα
5. i) Θεώρημα διχοτόμου στο τρίγωνο ΟΔΓ και Θαλή ii) όμοια

   Σύνθετα θέματα
1. Αποδείξτε ότι ΑΚ, ΑΛ διχοτόμοι στο τρίγ. ΕΑΖ
2. Θεώρημα διχοτόμου. Για το αντίστροφο αν η διχοτόμος της A τέμνει την ΒΔ στο Ε αρκεί ΓΕ διχοτόμος της Γ. 3. Φέρουμε τη διχοτόμο ΜΔ του τριγ. ΑΜΒ, που τέμνει τον κύκλο στο Ε
4. Αν η ΔΖ τέμνει τη ΒΓ στο Κ αρκεί ΗΚΗΔ = ΚΓΔΓ
5. Η άγνωστη κορυφή ανήκει σε ευθεία και κύκλο
Γενικές ασκήσεις
1. Να λάβετε υπόψη σας ότι ΚΔ\\ΑΒ\\ΛΕ
2. Φέρουμε Αx\\ΒΓ. Να λάβετε υπόψη σας την ιδιότητα του βαρυκέντρου
3. i) Φέρουμε ΓΉ\\ΑΒ ii) Εφαρμόζουμε το (i) για το τρίγ. ΑΒΔ και την ευθεία ΖΓ
4. Θεώρημα Θαλή (ΑΔ\\ΒΖ) και διχοτόμου (ΑΖ διχοτόμος)
5. Αποδείξτε ότι οι ΕΜ και ΖΜ είναι διχοτόμοι
6. i) Να εκφράσετε τα τμήματα ως συνάρτηση των ΟΑ,ΟΓ,ΟΔ ii) Όμοια με το (i)
7. Αν η ΒΔ τέμνει την ΑΓ στο Ζ, το Ζ προσδιορίζεται
8. Αν η παράλληλη από το Α προς την Οx τέμνει την Oy στο Δ, το Δ προσδιορίζεται (και στις τρεις περιπτώσεις).
9. Φέρουμε τα αποστήματα των χορδών
10. Να λάβετε υπόψη σας, ότι το άθροισμα δυο αντίστροφων θετικών αριθμών είναι μεγαλύτερο ή ίσο του δύο.
ΚΕΦΑΛΑΙΟ 8

Ασκήσεις εμπέδωσης
1. Παρατηρήστε ότι ΑΒΓ ≈ ΔΕΓ.
2. Παρατηρήστε ότι ΑΒΓ ≈ ΑΔΕ.
3. Το τρίγωνο που προκύπτει είναι όμοιο με το αρχικό (πλευρές ανάλογες).
4. Παρατηρήστε ότι σχηματίζονται δύο όμοια ορθογώνια τρίγωνα.
5. Παρατηρήστε ότι ΑΒΔ ≈ ΑΔΓ και ΑΒΔ ≈ ΑΒΓ.
6. Παρατηρήστε ότι ΑΒΔ ≈ ΑΕΓ.
Αποδεικτικές Ασκήσεις
1. Παρατηρήστε ότι σχηματίζονται δύο όμοια ορθογώνια τρίγωνα.
2. Αποδείξτε ότι έχουν ίσες γωνίες και ανάλογες πλευρές.
3. Παρατηρήστε ότι ΑΒΑ1 ≈ ΑΒΑ2.
4. Παρατηρήστε ότι ΗΑΕ ≈ ΗΒΔ και ΗΒΖ ≈ ΗΕΓ.
5. Παρατηρήστε ότι ΜΔΖ ≈ ΜΔ'Ζ'.
6. Παρατηρήστε ότι ΑΒΔ ≈ ΔΑΓ.
Σύνθετα θέματα
1. Φέρτε παράλληλες ώστε να δημιουργηθούν δύο παραλληλόγραμμα και δύο τρίγωνα.
2. Παρατηρήστε ότι σχηματίζεται εγγράψιμο τετράπλευρο.
3. Εφαρμόστε θεώρημα διχοτόμων και παρατηρήστε ότι ΑΒΔ ≈ ΑΔΓ.
4. Αποδείξτε ότι ΑΔΒ ≈ ΑΔΓ.
5. Παρατηρήστε ότι ΑΒΔ ≈ ΑΕΓ και ABE ≈ ΒΔΕ.
Γενικές Ασκήσεις
1. Παρατηρήστε ότι ΑΒΤ ≈ ΑΓΤ.
2. Παρατηρήστε ότι ΑΒΔ ≈ ΑΒΕ, ΑΔΓ ≈ ΑΕΓ.
3. Παρατηρήστε ότι ΒΔΕ ≈ ΓΔΖ, ΑΒΕ ≈ ΑΓΖ.
4. Χρησιμοποιήστε το θεώρημα Θαλή στις παραλληλίες που προκύπτουν από τα κάθετα τμήματα.
5. (i) Χρησιμοποιήστε την Εφαρμογή 4. (ii) Θεωρήστε το αντιδιαμετρικό σημείο του Μ (iii) Χρησιμοποιήστε τα (i), (ii).
6. Θεωρήστε σημείο Ε της ΑΓ, ώστε: ΕΔΓ = ΑΔΒ.
  
ΚΕΦΑΛΑΙΟ 9

§9.1 - 9.2

Ασκήσεις εμπέδωσης
1. Εφαρμόστε το Πυθαγόρειο θεώρημα.
2. Παρατηρήστε ότι Γ = 30°
3. Να συγκρίνετε τα ΑΔ και ΓΔ.
Αποδεικτικές Ασκήσεις
1. Εφαρμόστε το Πυθαγόρειο θεώρημα.
2. Παρατηρήστε ότι ΑΓΒ=ΑΔΒ=1 ∟. ΑΓΒ = ΑΔΒ = 1∟
3. Σχηματίστε τη ΒΔ και εργασθείτε στα τρίγωνα ΕΒΔ και ΕΓΔ.
4. (i) Χρησιμοποιήστε το Πυθαγόρειο στα ΑΒΔ και Α'Β'Δ'.
5. Εφαρμόστε το Πυθαγόρειο Θεώρημα και παρατηρήστε ότι β = γ.
Σύνθετα θέματα
1. Εργαστείτε στα τρίγωνα ΔΑΒ και ΔΑΓ. 2. i) Θεωρήστε ΛΔ ⊥ ΚΒ ii) Χρησιμοποιήστε το i)
3. Αποδείξτε ότι το ΑΒΚΔ είναι ορθογώνιο, (ii) Εφαρμόστε το Πυθαγόρειο.
4. Χρησιμοποιήστε ότι μα = α2
5. Θεωρήστε τις προβολές των Γ και Δ στην ΑΒ.
6. Παρατηρήστε ότι ΔΑΒ ≈ ΑΒΓ και ΔΑΓ ≈ ΑΒΓ.

§9.4

Ασκήσεις εμπέδωσης
1. Εξετάστε ποια είναι η μεγαλύτερη γωνία.
2. Χρησιμοποιήστε την Εφαρμογή 1.
3. Εφαρμόστε το θεώρημα οξείας γωνίας ή το νόμο των συνημίτονων.
4. Παρατηρείστε ότι A = 60°.
Αποδεικτικές Ασκήσεις
1. Εφαρμόστε γενικευμένο Πυθαγόρειο ως προς τη Β. (Παρατηρήστε ότι Β > 90° ).
2. Εργασθείτε στα τρίγωνα ΑΓΔ και ΒΔΓ για τις Γ, Δ .
3. Εφαρμόστε το θεώρημα οξείας γωνίας για τις Β, Γ .
4. Εφαρμογή του γενικευμένου Πυθαγορείου.

  

5. Φέρτε κάθετες από τα Δ και Ε στη ΒΓ.
6. Χρησιμοποιήστε την τριγωνική ανισότητα και υψώστε στο τετράγωνο.
Σύνθετα θέματα
1. Χρησιμοποιήστε ότι A = 30°.
2. Εργασθείτε στα τρίγωνα ΑΜΓ και ΒΜΔ.
3. Χρησιμοποιήστε Πυθαγόρειο.

§9.5

Ασκήσεις εμπέδωσης
1. Χρησιμοποιήστε 1ο και 2ο θεώρημα Διαμέσων.
2. Χρησιμοποιήστε το 1° θεώρημα Διαμέσων
3. Χρησιμοποιήστε το 1° θεώρημα Διαμέσων
4. Χρησιμοποιήστε τους τύπους των Διαμέσων.
Αποδεικτικές Ασκήσεις
1. Χρησιμοποιήστε γενικευμένο Πυθαγόρειο Θεώρημα και το 1ο θεώρημα Διαμέσων.
2. Χρησιμοποιήστε το 2° θεώρημα Διαμέσων.
3. (i) Χρησιμοποιήστε την τομή των διαγωνίων ΑΓ,ΒΔ (ii) Χρησιμοποιήστε το (i).
4. Χρησιμοποιήστε διαδοχικά το 1ο θεώρημα Διαμέσων.
5. Φέρτε τη διάμεσο AM.
6. Χρησιμοποιήστε το 1ο θεώρημα Διαμέσων.
Σύνθετα θέματα
1. Φέρτε κατάλληλες παράλληλες από το μέσο μιας πλευράς.
2. Εργασθείτε με το μέσο του ΜΝ.
3. Εφαρμόστε το 1° θεώρημα Διαμέσων στα τρίγωνα ΜΑΒ και ΜΓΔ.
4. Εφαρμόστε το 1° θεώρημα Διαμέσων στα τρίγωνα ΜΑΓ και ΜΒΔ.
5. Εφαρμόστε το 1o θεώρημα Διαμέσων στα τρίγωνα ΡΑΓ και ΓΑΔ.

§9.7

Ασκήσεις εμπέδωσης
1. Υπολογίστε το γινόμενο ΑΒ ∙ ΑΓ.




2. Παρατηρήστε ότι
ΜΕ = ΒΔ2 , ΝΕ = ΔΓ2
3. Εφαρμόστε το θεώρημα Τεμνουσών.
4. Εφαρμόστε το θεώρημα Τεμνουσών.
Αποδεικτικές Ασκήσεις
1. i) Πυθαγόρειο Θεώρημα ii) Θεώρημα Τεμνουσών.
2. Θεώρημα διχοτόμου και τέμνουσας - εφαπτομένης.
3. i) Θεώρημα Τεμνουσών, ii) Εφαρμόστε το 1ο θεώρημα Διαμέσων.
4. Παρατηρήστε ότι το ΓΝΗΜ είναι εγγράψιμο. όπου Η το σημείο τομής των ΑΒ και ΟΜ.
5. Παρατηρήστε ότι ΒΔΜΗ εγγράψιμο.
Σύνθετα Θέματα
1. Παρατηρήστε ότι ΔΕΓ ≈ ΑΕΓ.
2. Χρησιμοποιήστε το θεώρημα Διαμέσων και υπολογίστε τη μα.
3. Χρησιμοποιήστε το θεώρημα Δια-μέσων.
4. Εφαρμόστε το θεώρημα Τεμνουσών για τις ΒΕΑ και ΓΖΑ.
Γενικές ασκήσεις
1. (i) Εφαρμόστε το Πυθαγόρειο (ii) Με απαγωγή σε άτοπο.
2. Εφαρμόστε το θεώρημα Τεμνουσών και όμοια τρίγωνα.
3. Υπολογίστε όλους τους όρους ως συνάρτηση των πλευρών του τριγώνου.
4. Θεωρήστε το ύψος και εφαρμόστε τα θεώρημα οξείας και αμβλείας γωνίας.
5. i) ΘΜ=α/2, όπου Θ βαρύκεντρο, ii) αν ΒΚ ύψος το ΔΗΚΓ είναι εγγράψιμο
6. Εφαρμόστε το γενικευμένο Πυθαγόρειο θεώρημα και το θεώρημα Διαμέσων.
7. Εφαρμόστε το 1ο θεώρημα Διαμέσων (ΑΒ2 + ΑΓ2 = 4R2 = σταθερό).
8. Αποδείξτε ότι ισχύει το Πυθαγόρειο στο τρίγωνο ΕΔΗ.

  
ΚΕΦΑΛΑΙΟ 10

§10.1 - 10.3

Ασκήσεις εμπέδωσης
1. (ABΓΔ) = 16 τ.μ., (ΔΑΖ) = 4εικόνα .
Άν ZI ⊥ AB τότε ΖΙ=2 οπότε (ΑΒΖ)=4τ.μ.=(ΔΓΖ) και (ΒΓΖ) = 8 - 4εικόνα.
2. Εφαρμόστε τον τύπο Ε = 12 α∙υα . Σωστό το Γ.
3.α) υβ = 3εικόνα μ.μ.
β) (ΑΒΓ) = 12εικόνα τ.μ.
γ) Βρίσκουμε πρώτα το ΒΓ.
4. Άν α,β οι διαστάσεις του ορθογωνίου, έχουμε: α+β=7 και α22=25 και προκύπτει Ε=12τ.μ.
5. α) (ΑΒΓΔ)=50τ.μ. β) (ΑΕΖΒ)=(ΕΖΓΔ)=25τ.μ.
6. Φέρουμε ΔΗ ⊥ ΒΓ και βρίσκουμε ότι ΔΓ=13, οπότε το εμβαδόν της λωρίδας είναι 3 ∙ 13=39τ.μ.
Αποδεικτικές ασκήσεις
1. Φέρουμε ΑΗ, ΔΖ ⊥ ΒΓ και εφαρμόζουμε τον τύπο Ε = 12 α∙υα.
2. i) Εφαρμογή 3 §10.3
ii) Είναι (ΑΒΔ) = 12 (ΑΒΓ) = (ΒΕΓ) και (ΑΔΓ) = (ΒΕΓ).
3. i) Εφαρμόστε την εφ. 3 §10.3 στα τρίγωνα εικόνα
ii) Χρησιμοποιήστε το i). Για το υπόλοιπο χρησιμοποιήστε πάλι το i) για Σ=Θ.
4. Φέρουμε από το Μ παράλληλο προς τη ΔΓ.
5. Επίσης από το Μ φέρουμε παράλληλο προς τη ΔΓ
6. i) Φέρουμε EH⊥AΘ και εφαρμόζουμε θεώρημα οξείας γωνίας στο τρίγωνο ΑΕΘ και βρίσκουμε ΕΘ = εικόνα.
ii) Διαπιστώνουμε ότι ΕΘ2+ΑΕ2=ΑΘ2
iii) (ΑΒΓ) = $\dfrac{\sqrt{3}}{2}$τ.μ. = (ΕΑΘ) οπότε (ΒΓΖΘΕΔ) = 5 + $\sqrt{3}$.
7. Φέρουμε ΒΜ, ΔΛ ⊥ ΑΓ και είναι (ΑΒΓΔ) = (ΑΒΓ)+(ΑΓΔ)
8. 58m και 76m.
Σύνθετα θέματα
εικόνα
ii) (ΙΘΔ)=2(ΑΔΓ)
iii) Χρησιμοποιήστε το ii).




  

2. Διαδοχική εφαρμογή της εφαρ. 3 της § 10.3.
3. i) Αποδείξτε ότι ΒAΚ + AΒK = 90°
εικόνα
4. i) Από το Ο φέρουμε κάθετες στις ΑΒ, ΓΔ και εφαρμόζουμε τον τύπο E = 12 α∙υα
ii) Από το i) είναι
(ΑΒΓ)-(ΟΑΒ)=(ΟΓΔ).
5. Αν δ1, δ2 τα μήκη των διαγωνίων, είναι: α2= 1412 + δ22) και στη συνέχεια χρησιμοποιήστε την x2 + y2 ≥2xy, x,y ∈ R

§10.4

Ασκήσεις εμπέδωσης
1. Να βρείτε το εμβαδόν του (ΑΒΓ) με τον τύπο του Ήρωνα.
2. Φέρουμε ΔΖ||ΑΒ και με τον τύπο του Ήρωνα βρίσκουμε (ΔΖΓ)=84τ.μ. και αν ΔΗ $\bot$ ΒΓ είναι ΔΗ=12 οπότε (ΑΒΓΔ) = 216 τ.μ.
3. (ΑΒΓ) = 7εικόνα
4. i) E = 24 ii) υα = 245
iii) Ε=τρ, οπότε ρ=2
Αποδεικτικές Ασκήσεις
1. Χρησιμοποιούμε τους τύπους
εικόνα
2. i) Από τη δοθείσα με τύπο Ήρωνα καταλήγουμε στην α2 < β2 + γ2 ii) και iii) όπως το i).
3. Τα τρίγωνα ΑΒΓ και.Α'Β'Γ' έχουν τον ίδιο περιγεγραμμένο κύκλο.
4. Με A Όμοια για A > 90°.
5. Χρησιμοποιούμε τους τύπους Ε=τ•ρ και E = 12 α∙υα.

Σύνθετα Θέματα
εικόνα
ii) Οι ευθείες ΒΚΒ' και ΓΚΓ' είναι τέμνουσες των πλευρών της A οπότε από το i) ...
2. (ΑΒΓ)=(ΑΒΙα)+(ΑΓΙα)-(ΒΓΙα)

εικόνα

§10.5

1. Εφαρμογή του τύπου ΕΕ' = υαυα' οπότε (Α'Β'Γ')=20 τ.μ.
2. (ΒΜΓ)=5τ.μ.
3. Θεώρημα III της § 10.5. Είναι (ΑΔΖ)= 10τ.μ.
4. Θεώρημα I της § 10.5 και είναι (ΒΕΖΓ)=48τ.μ.
5. Εφαρμογή του θεωρήματος III § 10.5.
Αποδεικτικές Ασκήσεις
εικόνα
2. Θεώρημα III της §10.5.
3. Αποδείξτε πρώτα ότι ΑÔΓ + ΔÔΒ = 2 ∟
4. Γράψτε την αποδεικτέα σε μορφή αναλογίας.
5. Είναι ΜAΖ + ΒAΔ = 2 ∟ άρα θεώρημα III § 10.5.
6. Θεώρημα I § 10.5.
Σύνθετα Θέματα
1. ΑÔΒ + ΑÔΔ = 2 ∟ οπότε θεώρημα. III §10.5 i) Είναι (ΑΒΓ)=(ΒΔΓ) ii) Απλό iii) Ε= 2Ε1 + Ε2 + Ε4,
εικόνα
3. i) (ΔEZ) = (ΑΒΓ) - (ΑΖΕ) - (ΒΖΔ) - (ΔΓΕ)

  

εικόνα
4. Αν KM και ΛΝ οι ζητούμενες ευθείες τα τρίγωνα ΑΚΜ και ΑΒΓ έχουν κοινή γωνία Α. Το ίδιο για τα τρίγωνα ΑΛΝ και ΑΒΓ.

§10.6

Ασκήσεις εμπέδωσης
1. Η πλευρά x του τετραγώνου ικανοποιεί την x2=αβ.
2. Αν χ η πλευρά του ζητούμενου τετραγώνου τότε x222.
3. Πρόβλημα 1 § 10.6.
4. Πρόβλημα 1 § 10.6.
Γενικές ασκήσεις
1. i) Τα τρίγωνα έχουν ίσα ύψη και την ίδια βάση iii) Εφαρμογή 3 § 10.1
2. i) Σύγκριση εμβαδών,
εικόνα
4. i) Θεώρημα III § 10.5
ii) τα τρίγωνα ΒΔΕ και ΔΕΓ έχουν το ίδιο ύψος από την κορυφή Ε,
iii) Τα τρίγωνα ΑΒΓ και ΔΕΓ έχουν κοινή τη γωνία Γ.
5. i) Απλό, ii) Τα τρίγωνα ΑΒΓ και ΔΕΓ έχουν τη γωνία Γ κοινή, iii) Τα τρίγωνα ΑΕΖ και ΔΕΓ είναι όμοια.
6. i) Απλό, ii) ΜΚ διάμεσος στο
εικόνα
συνάρτηση του d τα εμβαδά του τριγώνου και των τραπεζίων που σχηματίζονται.
ii) Το εμβαδόν του τριγώνου και των τραπεζίων δίνουν το εμβαδόν του (ΑΒΓ)
8. Είναι (ΑΒΜΖΗΔ) = (ΑΒΓΔ) + (ΔΕΖΗ) - (ΔΕΜΓ) = 54
9. Είναι ΑΓ2 - ΑΒ2 = 17 οπότε ΑΓ=9 και ΑΒ=8, ΑΒ2 =64, ΑΔ2=100
10. Τα τρίγωνα ΑΔΕ, ΑΖΗ και ΑΒΓ είναι όμοια μεταξύ τους και γράφουμε το ημικύκλιο διαμέτρου ΑΓ.
11. i)Όπως άσκηση 1 (αποδεικτικές) § 10.5, ii) προκύπτει από το i).

  
ΚΕΦΑΛΑΙΟ 11

§11.1 - 11.2

Ασκήσεις εμπέδωσης
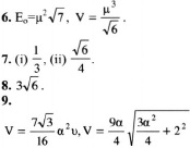
1. Είναι: φ5 = 108°, φ6 = 120°,φ10 = 144°και φ12 = 150° , ω5 = 72° ,ω6 = 60°, ω10 = 36° και ω12 = 30°
2. Σωστή η δ
3. § 11.1
4. Λύστε τις εξισώσεις.
5. Λύστε την ανίσωση φν < 90° ως προς ν
6. Θεώρημα I § 11.2.
εικόνα
ii) ΖAΕ = ΖAΓ + ΓAΕ = 90°
iii) Αξιοποιήστε το i)
iv) Ξεκινήστε με την ομοιότητα των τριγώνων ΑΒΓ και ΒΗΓ.
Αποδεικτικές ασκήσεις
1. Είναι φλ + φμ + φν = 360°
2. Αποδείξτε ότι έχει πλευρές και γωνίες ίσες.
3. Εφαρμόστε το 2° θεώρημα διαμέσων στο ΑΒΓ
4. Αν ΑΒ=λν και Μ το μέσο του εικόνα το ΟAMΒ έχει κάθετες διαγωνίους
5. Τα πολύγωνα είναι όμοια
6. Τα πολύγωνα είναι όμοια.
Σύνθετα θέματα
1. Βρείτε για ποια ν υπάρχει θετικός ακέραιος κ τέτοιος ώστε κφν=360°
2. Αν Α1Α2...Αν το κανονικό ν-γωνο είναι: (ΣΑ1Α2)+(ΣΑ2Α3)+...+(ΣΑνΑ1) = (Α1Α2 Αν)
3. Συγκρίνετε τα τρίγωνα ΑΓΜ και ΑΓΔ

§11.3

Ασκήσεις εμπέδωσης
εικόνα




εικόνα
Ε4 = 128cm2
4. ΑΒ = λ6 = R,

εικόνα
Αποδεικτικές ασκήσεις

1. Το άθροισμα των γωνιών είναι (2ν-4) ορθές, οπότε ν=6, R=2.
2. Το ΑΒΓΔ είναι ισοσκελές τραπέζιο και ΑΒ=λ6, ΔΓ=λ3, ΑΓ=ΒΔ=λ4
3. Εφαρμογή 3 § 11.3. Είναι:
εικόνα
4. Αν Α Β = λν και Γ το μέσο του εικόνα είναι ΑΓ = λ12 και το ΟΑΓΒ έχει κάθετες διαγώνιους.
Σύνθετα θέματα

1. Εφαρμόστε το 1ο θεώρημα Διαμέσων
2. Υπολογίστε το γινόμενο ΑΒ • ΑΓ.
3. Παρατηρήστε ότι ΑΓ = 2R.

§11.4

Ασκήσεις εμπέδωσης
1. Εφαρμόστε τον τύπο του μήκους κύκλου.
2. L = 10εικόνα cm.
3. l = π cm .
4. Απλή.
5. ΑΒ=λ4 και ΒΓ=λ3.
Αποδεικτικές ασκήσεις
1. Αν Κ το κέντρο του κύκλου (Κ) παρατηρήστε ότι: ΑKΔ = 2ΑOΓ
2. Σχέσεις ακτινών και διακέντρου
3. Χρησιμοποιούμε τους τύπους
E = τρ, Ε = αβγ4R και τον τύπο του Ήρωνα
Σύνθετα θέματα
1. Αν Κ, Λ τα μέσα των OA, OB αντίστοιχα και (Μ, χ) ο κύκλος που εφάπτεται στα τρία ημικύκλια είναι:OM=R- x, ΟΚ = R2 , KM = R2 + x και το ΟΚΜ είναι ορθογώνιο οπότε x = R3




  

2. Παρόμοια με την 1. Η ακτίνα του κύκλου (Κ) είναι R4 .
εικόνα

§11.6 - 11.8

Ασκήσεις εμπέδωσης
1. Ε = π R24.
2. R=12 Ε=144π cm2
εικόνα
4. Παρόμοια με την εφαρμογή 1 § 11.7.
5. Η περίμετρος είναι πR και το εμβαδόν
εικόνα
Αποδεικτικές ασκήσεις
εικόνα
2. Αρκεί να βρούμε το εμβαδόν ενός από τα μη γραμμοσκιασμένα μικτόγραμμα τρίγωνα. Το ζητούμενο εμβαδόν είναι:
εικόνα
3. Αν Α,Β είναι τα κοινά σημεία των κύκλων (Κ, R) και (Λ, R) με δ = Rεικόνα αποδείξτε πρώτα ότι το ΑΚΒΛ είναι τετράγωνο.
4. E = π8 (ΑΒ2 - ΑΓ2 - ΓΒ2),
ΑΒ = ΑΓ + ΓΒ.
5. Αν (Κ, κ) ο εγγεγρ. στον τομέα κύκλος τότε: OK=R-κ ΚΓ=κ, όπου ΚΓ ⊥ ΟΑ και ΑÔΚ = 30°. Είναι κ = R3 .
Σύνθετα θέματα

1. i) ΑΒΓ = 180° άρα AΓ=2R
εικόνα
iii) Το κυκλικό τμήμα με χορδή την ΑΒ έχει εμβαδόν




  

εικόνα
2. Το ζητούμενο εμβαδόν είναι
Ε = (π-1)R2
3. Βρίσκουμε πρώτα ότι ΚAΛ = 120° (Α κοινό σημείο των κύκλων).
4. Εφαρμογή 1 § 11.7.
Γενικές ασκήσεις
1. ii) Τα πολύγωνα είναι όμοια,
iii) L = 32 Rπ.
2. α) Διαφορά εμβαδών δύο κυκλικών τομέων, β) Χρησιμοποιούμε και την
ων = 360°ν
3. Αποδείξτε ότι το άθροισμα των γωνιών των τομέων είναι 4 ορθές.
4. Η ακτίνα του κάθε κύκλου είναι α4 και το ζητούμενο εμβαδόν (4 - π) α216
εικόνα
6. Η ακτίνα καθενός από τους τέσσερις κύκλους είναι
εικόνα
7. Γωνία δύο τεμνουσών του κύκλου. Βρίσκουμε ωmin = 12°
8.i) AM2 = ΑΓ • ΑΔ και ΑΣ2 = ΑΓ • ΑΒ
ii) Το τεταρτοκύκλιο εικόνα του κύκλου με διάμετρο το ΑΔ
iii) Το μήκος του διαγραφόμενου τόξου είναι 12 πΑΒ.
εικόνα
ΟΑ είναι διάμεσος του τριγώνου ΑΒΓ, ii) Πάρτε και έναν άλλο εγγεγραμμένο κύκλo και συγκρίνετε τις ακτίνες τους.,
iii) α) Οι ακτίνες ρ1, ρ2 των μέγιστων εγγεγραμμένων κύκλων στα κυκλικά τμήματα χορδών ΑΓ, ΑΒ αντίστοιχα είναι:

εικόνα
10. i) Απλό
ii) Χρησιμοποιήστε το i), iii) Το ΟΒΒΌ' είναι παρ/μο., iv) Προσθέτουμε και αφαιρούμε διαδοχικά από τα μέλη της iii) τα εμβαδά του μικτόγραμμου τριγ. ΑΒΓ και ταυ κυκλικού τμήματος χορδής ΓΒ' αντίστοιχα.

ΚΕΦΑΛΑΙΟ 12

§12.3

Ασκήσεις εμπέδωσης
1. Η ζητουμένη ευθεία είναι η τομή των δύο επιπέδων που ορίζει το σημείο Ο με καθεμία από τις ασύμβατες ευθείες.
2. Φέρουμε το τυχαίο επίπεδο που περιέχει τη μία ευθεία και τέμνει τις άλλες δύο στα σημεία Α και Β αντίστοιχα. Η ευθεία ΑΒ είναι η ζητούμενη.
3. Το επίπεδο (Α,ε') τέμνει τον κύκλο (Κ) σε δύο, ένα ή κανένα σημείο. Επομένως υπάρχουν δύο, μία ή καμία τέτοια ευθεία.
4. Τα επίπεδα (Μ,Χ,Χ') και (Μ,Ψ,Ψ') έχουν δύο κοινά σημεία. Το Μ και το Ο. Άρα η κοινή ευθεία είναι η ΜΟ.
Αποδεικτικές ασκήσεις
1. Τέμνουμε το επίπεδο με το επίπεδο του κύκλου.
2. Χρησιμοποιούμε τις προτάσεις: (i) δύο επίπεδα τέμνονται σε ευθεία αν έχουν ένα κοινό σημείο και (ii) μία ευθεία που έχει δύο σημεία της σε επίπεδο τότε ανήκει σ' αυτό.
3. Με απαγωγή σε άτοπο.
4. Η ζητούμενη ευθεία ορίζεται από τα σημεία τομής των ε3 και ε4 με το επίπεδο (ε12).
5. Αν οι ευθείες τομής του ενός με τα δύο άλλα τέμνονται, τότε αυτό είναι κοινό σημείο και των τριών επιπέδων. Αν είναι παράλληλες, τότε και η τρίτη είναι παράλληλη σε αυτές.

  
§12.4

Ασκήσεις εμπέδωσης
1. Από το Ο φέρουμε τις παράλληλες των ασύμβατων και αυτές ορίζουν το ζητούμενο επίπεδο.
2. Τέμνουμε την ευθεία ξ με το επίπεδο το παράλληλο στο π που περνάει από το Α και ενώνουμε αυτό το σημείο με το Α.
3. Φέρουμε επίπεδο παράλληλο στο π που τέμνει τις ασύμβατες σε δύο σημεία. Αυτά ορίζουν μία από τις ευθείες που ικανοποιούν το πρόβλημα.
4. Τότε η ευθεία είναι παράλληλη και στα δύο επίπεδα, διότι είναι παράλληλη μια ευθεία του καθενός.
5. Αποδεικνύεται με απαγωγή σε άτοπο ότι η κοινή ευθεία δεν μπορεί να τέμνει τις ε και ε'.
6. Φέρουμε τυχαίο επίπεδο από την ξ που τέμνει το π και χρησιμοποιούμε τον ορισμό της παραλληλίας ευθείας και επιπέδου.
7. Φέρουμε από το Ο ευθεία παράλληλη στην ε. Κάθε επίπεδο που περιέχει αυτήν και όχι την ε είναι λύση του προβλήματος.
8. Φέρουμε την παράλληλη στην κοινή ευθεία των δύο επιπέδων.
9. Το ζητούμενο επίπεδο ορίζεται από δύο ευθείες παράλληλες στις δοσμένες, που διέρχονται από το Ο. Αν οι δοσμένες είναι παράλληλες, βρίσκουμε δύο τεμνόμενες ευθείες του επιπέδου τους και αναγόμαστε στην πρώτη περίπτωση.
10. Κατασκευάζουμε τα επίπεδα (ε11) και (ε22), όπου ξ1, ξ2//ε τέμνουσες των ε1 και ε2 αντίστοιχα.
Αποδεικτικές ασκήσεις
1. Αποδεικνύουμε ότι δύο απέναντι πλευρές του σχηματιζόμενου τετραπλεύρου είναι παράλληλες και ίσες.
2. Τα επίπεδα αυτά περνάνε από δύο παράλληλες ευθείες, άρα η τομή είναι παράλληλη σ' αυτές.
3. Καθιστούμε τα τμήματα αυτά διαγώνιους παραλληλογράμμου και προκύπτει το ζητούμενο.
4. Γίνεται χρήση του ορθού του θεωρήματος του Θαλή.
Σύνθετα θέματα
1. Ανά δύο οι παράλληλες πλευρές των τριγώνων ορίζουν τρία επίπεδα που

  

είτε θα τέμνονται σε ένα σημείο ή θα τέμνονται ανά δύο σε τρεις ευθείες παράλληλες.
2. Τα σημεία Α1, Β1 και Γ1 είναι σημεία της κοινής ευθείας των δύο επιπέδων των τριγώνων. Ανά δύο οι πλευρές των τριγώνων ορίζουν τρία επίπεδα που περνάνε από το ίδιο σημείο ή τέμνονται ανά δύο σε τρεις ευθείες παράλληλες (προηγούμενη άσκηση).
3. Είναι ευθεία παράλληλη στην ε.

§12.5

Ασκήσεις εμπέδωσης
1. Υπάρχει ευθεία του π παράλληλη στην ε.
2. Εφαρμογή του θεωρήματος των τριών καθέτων.
3. Το ζητούμενο επίπεδο είναι αυτό που ορίζεται από μία ευθεία και την κοινή κάθετο τους.
4. Είναι η ευθεία η παράλληλη σε μία κάθετη της ε.
Αποδεικτικές ασκήσεις
1. Εφαρμογή του θεωρήματος των τριών καθέτων.
2. Εφαρμογή του θεωρήματος των τριών καθέτων.
3. Εφαρμογή του i) θεωρήματος των τριών καθέτων
ii) Τα ΣΓ και ΣΝ είναι τα ύψη των ορθογώνιων τριγώνων ΣΑΜ και ΣΑΒ επομένως ισχύουν οι σχέσεις αυτές.
iii) Από τις προηγούμενες σχέσεις και επειδή έχουν μία κοινή γωνία, είναι όμοια.
iv) Από τα όμοια τρίγωνα, επειδή το ένα είναι ορθογώνιο θα είναι και το άλλο.
ν) Η ΣΓ είναι κάθετη στην ΓΝ και ορθογώνια στην ΑΓ.
vi) Εφαρμογή του θεωρήματος των τριών καθέτων (ii)
vii) Είναι κύκλος διαμέτρου ΑΓ στο επίπεδο που περνάει από το Γ και είναι κάθετο στην ΣΓ.

§12.6

Ασκήσεις Eμπέδωσης
1. Είναι η τομή του μεσοκάθετου επιπέδου στο τμήμα που ορίζουν τα δύο σημεία με το δοσμένο επίπεδο.
2. Είναι η τομή του μεσοκάθετου επιπέδου στο ΑΒ με την ευθεία.
3. Η ζητούμενη κάθετη είναι η ευθεία του π που είναι κάθετη στην προβολή της ε στο π.
4. O γ.τ. είναι κύκλος σε επίπεδο κάθετο στην ε, με διάμετρο ΑΒ, όπου Β η προβολή του Α στην ε.
5. Ο γ.τ. είναι κύκλος του π με διάμετρο ΟΟ', όπου Ο' η προβολή του O στο π.
6. O γ.τ. είναι η ευθεία η κάθετη στην ε από το Ο', την προβολή του Ο στο π.
7. Ο γ.τ. είναι η κάθετη ευθεία στο επίπεδο του τριγώνου, που περνάει από το περίκεντρο.
8. Ο γ.τ. είναι το κοινό σημείο των μεσοκάθετων επιπέδων στα τμήματα που ορίζουν τα τέσσερα δοσμένα σημεία ανά δύο.
9. O γ.τ. είναι τα επίπεδα τα παράλληλα στο π, σε απόσταση λ, κείμενα εκατέρωθεν του π.
10. Είναι το επίπεδο το παράλληλο στο (Α,Β,Γ), που περνάει από το Μ.
Αποδεικτικές ασκήσεις
1. Ο γ.τ. είναι το επίπεδο το παράλληλο στις δύο ασύμβατες, που διαιρεί την απόσταση των ασύμβατων σε λόγο λ.
2. Χρησιμοποιούμε την προηγούμενη άσκηση. Η ζητούμενη ευθεία ε3 ορίζεται ως η τέμνουσα των δύο ασύμβατων ε1 και ε2 που περνάει από το σημείο τομής της ε3 με το επίπεδο το παράλληλο στις ε1 και ε2 το οποίο χωρίζει την απόστασή τους σε λόγο λ.
3. Το ζητούμενο σημείο είναι το σημείο τομής των δύο κύκλων (Α',ρ) και (Β',ρ'), όπου Α' και Β' οι προβολές των Α και Β στο π και
εικόνα

Σύνθετα θέματα
1. Ο γ.τ. είναι κύκλος του π με κέντρο την προβολή Ο' του μέσου Ο του ΑΒ και
εικόνα

2. Προβάλλουμε το Α στο π και ενώνουμε την προβολή Α' με το κέντρο του κύκλου. Τα άκρα της διαμέτρου είναι τα ζητούμενα σημεία.
3. Το επίπεδο ορίζεται από το μέσον Ο του ΑΒ και την ευθεία ε
4. Ο γ.τ. είναι επίπεδο κάθετο στην ΑΒ στο σημείο Μ' για το οποίο ισχύει ΟΜ' = A22AB όπου Ο το μέσον του ΑΒ.
5. Θεωρούμε επίπεδο κάθετο στην ΓΔ που περιέχει την ΑΒ και χρησιμοποιούμε το Πυθαγόρειο Θεώρημα.
6. Εφαρμογή της άσκησης 5.
7. Τα μεσοκάθετα επίπεδα στα ΑΒ, ΑΓ, ΑΔ τέμνονται σε ένα σημείο Ο που ανήκει και στα μεσοκάθετα επίπεδα των υπολοίπων.
8. Το σταθερό σημείο είναι το σημείο τομής του π με την ευθεία ξ που είναι κάθετη στο επίπεδο (Ο,ε) στο Ο.

§12.7

Ασκήσεις εμπέδωσης
1. Κάθε επίπεδο που περιέχει την κάθετη ΟΟ' στο επίπεδο π ικανοποιεί το πρόβλημα.
2. Οι έδρες σ και π περιέχουν την ακμή ε που είναι κάθετη στο π
3. Γίνεται χρήση των γ.τ. (i) του μεσοκάθετου επιπέδου στο τμήμα ΒΓ και (ii) κύκλου με κέντρο το μέσο Μ του ΒΓ και ακτίνα το μισό του ΒΓ.
4. Φέρουμε από το Ο ευθεία παράλληλη στην ε και ευθεία κάθετη στο σ. Αυτές οι δύο ευθείες ορίζουν το επίπεδο π.
5. Από τυχαίο σημείο της ε φέρουμε ευθεία κάθετη στο π. Η ε και η κάθετη ορίζουν το ζητούμενο επίπεδο

§12.8

Ασκήσεις εμπέδωσης
1. Εάν ε ⊥ π τότε κάθε επίπεδο που περιέχει την π είναι κάθετο. Εάν η ε είναι πλάγια στο π, τότε το επίπεδο (ε,ε') είναι κάθετο στο π, όπου ε' η προβολή της ε στο π.
2. Εφαρμογή του Θεωρήματος του Θαλή στο επίπεδο που ορίζει η ευθεία με την προβολή της.

3. Εφαρμογή της προηγούμενης άσκησης
4. Οι παράλληλες ευθείες και οι προβάλλουσες δύο σημεία που βρίσκονται ένα στην καθεμία, ορίζουν επίπεδα παράλληλα, που τεμνόμενα από τρίτο δίνουν τομές ευθείες παράλληλες.
5. Τα ζεύγη των απέναντι πλευρών προβάλλονται ως παράλληλες ευθείες.
6. Κατασκευάζουμε στο επίπεδο της προβολής τρίγωνο ΑΒ0Γ ίσο με το ΑΒΓ και συγκρίνουμε αυτό με την προβολή ΑΒ'Γ, όπου Β η ορθή γωνία και Α,Γ οι τομείς των πλευρών της με το επίπεδο.
7. Απλή εφαρμογή του Πυθαγόρειου θεωρήματος.
8. Από τον ορισμό του συνημίτονου γωνίας έχουμε:
i) $ΑΒ = \dfrac{\sqrt{3}}{2}$ ii) $ΑΒ= \dfrac{\sqrt{2}}{2}$
iii) $AB = \dfrac{1}{2}$
9. Φέρουμε την κάθετη στο επίπεδο π στο Α, η οποία μαζί με την ε ορίζουν επίπεδο, πάνω στο οποίο κατασκευάζουμε ευθεία που σχηματίζει γωνία 60ο με την ε.
10. Εφαρμόζουμε το θεώρημα του Θαλή της γεωμετρίας του επιπέδου.
Αποδεικτικές ασκήσεις
1. Συγκρίνουμε τις γωνίες που σχηματίζουν η κάθετη και η πλάγια με τις προβολές τους.
2. Παρατηρούμε ότι τα επίπεδα αυτά έχουν κοινό το έκκεντρο του τριγώνου.
3. Το μέσο μιας διαγωνίου με τις δύο άλλες κορυφές συνιστούν ισοσκελές τρίγωνο, άρα η διάμεσος είναι και ύψος. Το ίδιο και για το μέσο της άλλης διαγωνίου και προκύπτει το ζητούμενο.
4. Αν Γ' η προβολή του Γ στο ζητούμενο επίπεδο και ΓΔ το ύψος του τριγώνου ΑΒΓ, τότε το τρίγωνο ΓΓ'Δ είναι ορθογώνιο στο Γ' και έχει δύο γνωστές πλευρές την ΓΔ και την Γ'Δ άρα κατασκευάζεται.
5. Από το σημείο τομής Γ του τμήματος ΑΒ με το διχοτόμο επίπεδο φέρουμε επίπεδο κάθετο στην ακμή της διέδρου και προβάλλουμε σε αυτό τα σημεία Α και Β.
6. Αν ΑΔ είναι το ύψος του τριγώνου ΑΒΓ και Α'Δ το ύψος του Α'ΒΓ θα έχουμε ότι τα εμβαδά των δύο τριγώνων είναι όπως ο λόγος των υψών τους. Αλλά τα ύψη είναι γνωστά.




Γενικές ασκήσεις
1. Ο γ.τ. είναι τα επίπεδα που διχοτομούν τις δύο παραπληρωματικές δίεδρες γωνίες που έχουν τη γωνία των ε και ξ ως αντίστοιχη επίπεδη.
2. Θεωρούμε την ορθή γωνία των ξ και ε' (όπου ε'//ε), που προβάλλεται στο άλλο επίπεδο ως ορθή. Επειδή η ε' προβάλλεται ως παράλληλη στην ε, η ξ προβάλλεται ως κάθετη σε αυτή.
3. Οι ευθείες οι παράλληλες στο π που τέμνουν τις ε και ξ έχουν προβολές στο π ευθείες που περνάνε από το μέσο του τμήματος που ορίζουν τα ίχνη των ευθειών ε και ξ. Άρα οι ευθείες που συναντούν τις ε και ξ τέμνονται από την κάθετη στο επίπεδο π στο σημείο αυτό.
4. Προβάλλουμε τα ίχνη της τέμνουσας στις δύο έδρες και στην ακμή της δίεδρης και σχηματίζονται δύο ζεύγη ίσων τριγώνων.
5. Προβάλλουμε τα σημεία στις έδρες και την ακμή της δίεδρης και προκύπτουν δύο τρίγωνα ίσα.
6. Θεωρούμε ότι οι προβολές δε συμπίπτουν και χρησιμοποιώντας το Θεώρημα των τριών καθέτων οδηγούμαστε σε άτοπο.
7. Τα μέσα των διαγωνίων ΑΓ και ΒΔ του στρεβλού τετραπλεύρου ΑΒΓΔ προβάλλονται στο κέντρο του παραλληλογράμμου και επομένως αυτά ορίζουν τη διεύθυνση των παραλλήλων.
8. Εφαρμόζουμε το Θεώρημα του Θαλή για τα MM', ΝΝ' και την κοινή κάθετο των ασύμβατων.

ΚΕΦΑΛΑΙΟ 13

§13.1 - 13.4

Aσκήσεις εμπέδωσης
1. Το ύψος είναι κάθετο ενώ η ακμή είναι πλάγια ως προς τα επίπεδα της βάσης.
2. Οι κάθετες τομές ορθού πρίσματος και οι βάσεις είναι παράλληλα σχήματα.
3. Οι ακμές ενός πρίσματος και οι προβολές τους στα επίπεδα των βάσεων σχηματίζουν ίσα ορθογώνια τρίγωνα.
εικόνα

εικόνα
6. Εφαρμόζουμε το Θεώρημα του Θαλή για τα επίπεδα των εδρών, στα οποία βρίσκονται τα άκρα του τμήματος και το μεσοπαράλληλο επίπεδο σε αυτά.
7. Ε=6α2 και α=6 μ.
εικόνα
9. Ε=6α2 = 3 β2 = 2δ2, όπου α=ακμή, β=διαγώνιος βάσης και δ=διαγώνιος κύβου.
10. Ακμή α=5, όγκος V=150.
Αποδεικτικές ασκήσεις
1. Συμπληρώνουμε το πρίσμα σε παραλληλεπίπεδο.
2. Εκφράζουμε το εμβαδόν της κάθετης τομής ως συνάρτηση της ακτίνας του εγγεγραμμένου κύκλου και της περιμέτρου.
3. Ο όγκος πρίσματος εκφράζεται ως γινόμενο μιας κάθετης τομής επί την ακμή και το εμβαδόν με την περίμετρο της κάθετης τομής επί την ακμή.
4. Καθιστούμε το ευθύγραμμο τμήμα διαγώνιο σε ορθογώνιο παραλληλεπίπεδο με τρεις ακμές δια του Α και τρεις δια του Γ'.
5. Καθιστούμε το τμήμα ΑΓ' διαγώνιο σε ορθογώνιο παραλληλεπίπεδο και προβάλλουμε στις τρεις έδρες του που περνάνε από το Α.
6. (i) Συγκρίνουμε τα ορθογώνια τρίγωνα που έχουν ως πλευρές τη διαγώνιο και την ακμή του κύβου, (ii) Υπολογίζουμε το λόγο της υποτείνουσας προς την προβολή της ακμής σε αυτήν.
7. Τέμνουμε το παραλληλεπίπεδο με το διαγώνιο επίπεδο ΒΒ'Δ'Δ και ανάγεται σε γνωστό πρόβλημα της γεωμετρίας του επιπέδου.
Σύνθετα θέματα
1. Παρατηρούμε ότι οι πλευρές του τριγώνου είναι διαγώνιοι των εδρών.
2. Η τομή του επιπέδου (Α',Β,Δ) με την διαγώνιο είναι το κέντρο ισόπλευρου τριγώνου και τα ύψη

σχηματίζουν τις αντίστοιχες των διέδρων.
3. Το επίπεδο που περνάει από τα σημεία Κ. Λ και Ν τέμνει τις ακμές Γ'Δ', ΔΆ' και ΑΑ' σε σημεία που αποδεικνύουμε ότι είναι μέσα, οπότε οι πλευρές του σχηματιζόμενου εξαγώνου είναι ίσες. Επίσης και οι γωνίες είναι ίσες.
4. Εφαρμόζουμε γνωστή πρόταση της γεωμετρίας του επιπέδου σύμφωνα την οποία το άθροισμα των τετραγώνων των διαγωνίων παραλληλογράμμου ισούται με το άθροισμα των τετραγώνων των τεσσάρων πλευρών του.

§13.5 - 13.9

Ασκήσεις εμπέδωσης
1. Το ύψος κανονικής πυραμίδας, το απόστημα και το μισό της πλευράς της βάσης σχηματίζουν ορθογώνιο τρίγωνο. Επίσης, το ύψος, το απόστημα της βάσης και το απόστημα της πυραμίδας συνιστούν επίσης ορθογώνιο τρίγωνο.
2. Η αντίστοιχη της δίεδρης με έδρες την βάση και μία από τις έδρες κανονικής πυραμίδας έχει αντίστοιχη τη γωνία που σχηματίζουν το απόστημα της πυραμίδας και το απόστημα της βάσης.
3. Εφαρμόζουμε τους τύπους.
4. Απλή εφαρμογή των τύπων.
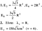
5. Επ=87.561 τ.μ, V=2.664.792 κ.μ.
εικόνα
Αποδεικτικές ασκήσεις

1. Στηριζόμενοι στο ότι ο όγκος μιας πυραμίδας δεν αλλάζει αν η κορυφή της πυραμίδας κινηθεί σε επίπεδο παράλληλο στη βάση της, μετακινούμε μία κορυφή του τετραέδρου παράλληλα σε μία απέναντι ακμή του τετραέδρου, ώστε να γίνει σημείο της απέναντι έδρας του παραλληλεπιπέδου.
2. Προβάλλουμε δύο κορυφές στις απέναντι έδρες και στην ακμή που ορίζουν οι άλλες δύο κορυφές και







σχηματίζονται δύο όμοια ορθογώνια τρίγωνα. Από τους λόγους των πλευρών τους προκύπτει το ζητούμενο.
3. Θεωρούμε ως βάση ένα τρίγωνο που έχει τη μετακινούμενη ακμή ως πλευρά. Το εμβαδόν της βάσης είναι σταθερό διότι έχει σταθερό μήκος βάσης και ύψος. Επίσης, το ύψος της πυραμίδας δεν αλλάζει διότι η απέναντι κορυφή προβάλλεται σε σταθερό επίπεδο.
4. Θεωρούμε το λόγο του ενός τετραέδρου ως προς ένα βοηθητικό που έχουν κοινό ύψος, και το λόγο του βοηθητικού ως προς τον όγκο του δεύτερου που έχουν επίσης κοινό ύψος και πολλαπλασιάζοντας τις σχέσεις προκύπτει το ζητούμενο.
5. Εφαρμόζουμε την προηγούμενη άσκηση δύο φορές και προκύπτει το ζητούμενο.
6. Εφαρμόζουμε την άσκηση 5.
7. Υπολογίζουμε το ύψος της βάσης και από αυτό το απόστημα. Επειδή η γωνία της ακμής και του ύψους της βάσης είναι πλευρές ορθογώνιου τριγώνου, υπολογίζεται το ύψος και από αυτό ο όγκος είναι
εικόνα.
Σύνθετα θέματα
1. Αν ΑΒ είναι η κάθετη σε επίπεδο, στο σημείο Β, προβάλλουμε τις κορυφές Δ και Γ στο επίπεδο αυτό και προκύπτει ότι ο αρχικός όγκος του τετραέδρου ισούται με τον όγκο του τετραέδρου που έχει κορυφές τα Α,Β και τις προβολές στο επίπεδο των δύο άλλων.
2. Η κάθετη τομή ενός πρίσματος, από σημείο Μ εσωτερικό του πρίσματος, περιέχει τις αποστάσεις του Μ από τις έδρες και σχηματίζεται ισόπλευρο τρίγωνο στο οποίο το άθροισμα των αποστάσεων του σημείου Μ από τις πλευρές του τριγώνου είναι σταθερό.
3. Τα μέσα τριών ακμών που περνάνε από την ίδια κορυφή του κύβου, μαζί με την κορυφή αυτή σχηματίζουν ένα τετράεδρο, με ακμές βάσης ίσες με το μισό της διαγωνίου τετραγώνου πλευράς α. Υπολογίζουμε το ύψος της βάσης, το εμβαδόν της βάσης, το ύψος του τετραέδρου και εν τέλει τον όγκο του, το οκταπλάσιο του οποίου αφαιρείται από τον όγκο του κύβου.

§13.10 - 13.12

Ασκήσεις εμπέδωσης
1. Απλή εφαρμογή των τύπων.
2. Εφαρμόζουμε τους τύπους.
3. Εφαρμογή των τύπων.
4. Υπολογίζουμε τον όγκο κυλίνδρου ενός εκατοστού ύψους, που έχει την ίδια βάση.
5. Εξισώνουμε το εμβαδόν της ολικής επιφάνειας με το εμβαδόν του κύκλου ακτίνας 4 και υπολογίζουμε την ακτίνα του κυλίνδρου.
Αποδεικτικές Ασκήσεις
1. Από τους τύπους του όγκου και του εμβαδού της ολικής επιφάνειας απα-λείφουμε την ακτίνα ρ.
2. Υπολογίζουμε τον όγκο των δύο κυλίνδρων που σχηματίζονται. Θέτουμε χ την απόσταση του Μ από το Α και διπλασιάζοντας τον όγκο του μικρού κυλίνδρου βρίσκουμε τον όγκο του μεγάλου.
3. Υπολογίζουμε την διαφορά των δύο κυλίνδρων που σχηματίζονται κατά την περιστροφή του ορθογωνίου και βρίσκουμε τον ζητούμενο όγκο. Αθροίζουμε τα εμβαδά, λαμβάνοντας υπόψη τόσο τις κυρτές επιφάνειες των δύο κυλίνδρων, όσο και τους δύο κυκλικούς δακτυλίους που αποτελούν τις βάσεις των κυλίνδρων.

§13.13 - 13.15

Ασκήσεις εμπέδωσης
1. Υπολογίζουμε τη γενέτειρα του κώνου από το ύψος και την ακτίνα και εφαρμόζουμε τους τύπους.
2. Απαλείφουμε τη γενέτειρα μεταξύ του τύπου της κυρτής επιφάνειας και της σχέσης που συνδέει την ακτίνα, το ύψος και την ακμή και προσδιορίζουμε την ακτίνα του κώνου.
3. Από το ορθογώνιο τρίγωνο με υποτείνουσα τη γενέτειρα και κάθετη πλευρά την ακτίνα βρίσκουμε το ύψος του κώνου. Μετά, με εφαρμογή των τύπων, υπολογίζουμε τα ζητούμενα.
4. Από το ορθογώνιο και ισοσκελές τρίγωνο που παράγεται ο κώνος προκύπτει το ύψος και η γενέτειρα του κώνου. Με αυτά υπολογίζουμε τον όγκο και την επιφάνεια.
5. Υπολογίζουμε την ακμή λ και στη συνέχεια το ύψος υ. Κατόπιν αντικαθιστούμε




στους τύπους του όγκου και του εμβαδού.
6. Υπολογίζουμε το λ και μετά το λόγο των εμβαδών που είναι εικόνα
7. Υπολογίζουμε το λόγο των δύο επιφανειών αφού υπολογίσουμε την ακμή από το ύψος και την ακτίνα.
8. Απλή εφαρμογή των τύπων.
Αποδεικτικές Ασκήσεις
1. Χωρίζουμε τον κώνο με επίπεδο παράλληλο στη βάση. Τότε, ο μικρός κώνος που αποτέμνεται είναι το μισό του αρχικού.
2. Ο όγκος που παράγεται κατά την περιστροφή του τριγώνου ΑΒΓ ισούται με τον όγκο του AM Κ μείον ογκ(ΓΑΚ) μείον όγκ.(ΒΓΜΠ)
3. Αν φέρουμε δύο επίπεδα παράλληλα στη βάση που να χωρίζουν την κυρτή επιφάνεια του κώνου σε τρία ίσα μέρη, ο μικρός κώνος που δημιουργείται θα είναι το 13 του αρχικού. Επίσης ο μικρός κώνος μαζί με το μεσαίο κόλουρο κώνο αποτελούν τα 23 του αρχικού κώνου.
4. Απλή εφαρμογή του τύπου.
5. Χρησιμοποιούμε την ομοιότητα των δύο τριγώνων.
6. Χρησιμοποιούμε τους τύπους του κώνου.

§13.16 - 13.18

Ασκήσεις εμπέδωσης
1. Η ακτίνα της σφαίρας, η ακτίνα του κύκλου τομής και η απόσταση του επιπέδου από το κέντρο συνιστούν ορθογώνιο τρίγωνο.
2. Από το εμβαδόν της τομής υπο-λογίζουμε την ακτίνα της τομής και στη συνέχεια υπολογίζουμε την απόσταση δ του επιπέδου από το κέντρο.
3. Υπολογίζουμε την ακτίνα του κύκλου της τομής και μετά βρίσκουμε το εμβαδόν της.
4. Η ζητούμενη ακτίνα είναι ύψος ορθογώνιου τριγώνου που ορίζεται από το κέντρο της σφαίρας, το φωτεινό σημείο και ένα σημείο του κύκλου.
5. Απλή εφαρμογή του τύπου, Ε=400π.
6. Αν ρ και ρ' είναι οι ακτίνες των σφαιρών, ο λόγος των επιφανειών τους είναι το τετράγωνο του λόγου των ακτινών τους

7. Εφαρμόζουμε τον τύπο του όγκου της σφαίρας, V=36π.
8. Ο λόγος των όγκων δύο σφαιρών είναι ίσος με τον κύβο του λόγου των ακτίνων τους.
9. Ε=π(ρ2- ρ'2).
10. Ο συνολικός όγκος του σχήματος αποτελείται από τον όγκο ενός κυλίνδρου ακτίνας ρ και ύψους ρ και τον όγκο μιας σφαίρας ακτίνας ρ.
Αποδεικτικές ασκήσεις
1. Υπολογίζουμε τους όγκους των τριών στερεών από τους τύπους και αποδεικνύουμε τις σχέσεις του προβλήματος.
2. Αν Μ τυχόν σημείο της τομής και Κ και Λ τα κέντρα της σφαίρας, το επίπεδο (Κ,Λ,Μ) τέμνει τις σφαίρες κατά μέγιστους κύκλους και το τρίγωνο ΚΛΜ έχει γνωστά μήκη πλευρών. Επομένως η προβολή του Μ στην ΚΑ είναι σταθερό σημείο και επειδή οι σφαίρες είναι σχήματα εκ περιστροφής, το Μ είναι σημείο κύκλου.
3. Υπολογίζουμε τους όγκους των τριών στερεών και παίρνουμε τους λόγους του κυλίνδρου προς τη σφαίρα και του κώνου προς τη σφαίρα.
Σύνθετα θέματα
1. Εξισώνουμε τα εμβαδά των δύο επιφανειών και βρίσκουμε ότι το ύψος είναι διπλάσιο της ακτίνας.
2. Αν δ είναι η απόσταση της βάσης του κώνου ή του κυλίνδρου από το κέντρο της σφαίρας εκφράζουμε τους όγκους σε συνάρτηση του δ και μηδενίζοντας την παράγωγο ως προς δ βρίσκουμε πότε ο όγκος γίνεται μέγιστος.
3. Ο κύβος έχει διαγώνιο ίση με τη διάμετρο της σφαίρας. Το οκτάεδρο αποτελείται από δύο τετραγωνικές πυραμίδες, με βάσεις εγγεγραμμένες σε μέγιστο κύκλο της σφαίρας.
4. Από τα δοσμένα μεγέθη υπολογίζουμε τα εμβαδά και τους όγκους των στερεών.
5. Εφαρμόζουμε το Θεώρημα II, §13.18 για τον υπολογισμό των τριών όγκων. Η ζητούμενη σχέση αποδεικνύεται αντικαθιστώντας τους υπολογισθέντες όγκους και τις προβολές των κάθετων πλευρών στην υποτείνουσα κατά τα γνωστά από τη γεωμετρία του επιπέδου.

Γενικές Ασκήσεις
1. Σχηματίζουμε το άθροισμα των τετραγώνων των αποστάσεων του τυχαίου σημείου Μ από τις κορυφές του τετραέδρου και εφαρμόζουμε το Θεώρημα των διαμέσων στα διάφορα τρίγωνα που σχηματίζονται Καταλήγουμε σε μία σχέση που περιέχει σταθερά τμήματα εκτός από ένα, το οποίο όταν μηδενιστεί καθιστά την ποσότητα ελάχιστη.
2. Το επίπεδο πρέπει να βρίσκεται μεταξύ των δύο απέναντι ακμών για να τέμνει τις υπόλοιπες τέσσερις. Οι πλευρές του τετραπλεύρου που σχηματίζεται από την τομή είναι ανά δύο παράλληλες στις ακμές στις οποίες είναι παράλληλο το επίπεδο. Άρα το τετράπλευρο είναι παραλληλόγραμμο.
3. Από την ευθεία ε φέρουμε επίπεδο παράλληλο στη ζ που τέμνει την ξ σ' ένα σημείο. Από αυτό το σημείο φέρουμε επίπεδο που να περιέχει την ξ και να είναι παράλληλο στην ε, που την τέμνει σε κάποιο σημείο και από αυτό το σημείο φέρουμε επίπεδο που να περιέχει τη ζ και να είναι παράλληλο στην ξ. Τέλος, συμπληρώνουμε το παραλληλεπίπεδο με άλλα τρία επίπεδα παράλληλα σ' αυτά που κατασκευάσαμε.
4. Υπολογίζουμε το λόγο των όγκων των δύο τετραέδρων στα οποία χωρίζεται το αρχικό τετράεδρο από το διχοτόμο επίπεδο με δύο τρόπους και εξισώνουμε τα αποτελέσματα. Κατά τον πρώτο τρόπο θεωρούμε ότι έχουν ως βάσεις τα δύο τρίγωνα στα οποία χωρίζεται μία έδρα, οπότε έχουν κοινό ύψος. Στη δεύτερη περίπτωση εκφράζουμε τον όγκο με βάσεις ης έδρες που είναι εκατέρωθεν του διχοτόμου επιπέδου, αλλά και πάλι έχουν κοινό ύψος.
5. Ανά δύο τα τμήματα αυτά διχοτομούνται διότι είναι διαγώνιοι παραλληλογράμμων. Επομένως τα τρία τμήματα διχοτομούνται σ' ένα σημείο.
6. Θεωρούμε δύο από τις διαμέσους. Αυτές είναι συνεπίπεδες διότι ανήκουν στο επίπεδο που περνάει από μία ακμή και από το μέσο της απέναντι ακμής. Επειδή τα κέντρα βάρους των εδρών χωρίζουν τις διαμέσους σε λόγο 1:2, η ευθεία που συνδέει τα κέντρα βάρους είναι παράλληλη στην απέναντι ακμή. Επομένως, στο διάμεσο επίπεδο σχηματίζονται δύο όμοια τρίγωνα και από τις αναλογίες τους προκύπτει ο ζητούμενος λόγος.

7. Θεωρούμε τη διάμεσο ΝΠ που κείται στο διάμεσο επίπεδο ΑΒΝ. Η διάμεσος τέμνει τη διάμεσο ΑΛ έστω σε σημείο Μ'. Από το Π φέρουμε ευθεία παράλληλη στη διάμεσο ΑΛ και σχηματίζονται όμοια τρίγωνα, που από τις αναλογίες των πλευρών τους προκύπτει ότι το σημείο Μ' χωρίζει τη διάμεσο σε λόγο 3:1, άρα είναι το σημείο τομής των διαμέσων.
8. Θεωρούμε δύο από τα τετράεδρα που χωρίζεται το αρχικό. Αυτά έχουν κοινή βάση και επειδή θα είναι ισοδύναμα θα έχουν ίσα ύψη.
Άρα το σημείο Μ είναι σε τέτοια θέση ώστε να περιέχει μία ακμή και να τέμνει την απέναντι στο μέσο της. Αλλά αυτό συμβαίνει για κάθε ζεύγος τετραέδρων. Άρα, το Μ είναι το κέντρο βάρους του τετραέδρου.

ΕΥΡΕΤΗΡΙΟ ΟΡΩΝ

Α

Ακμή δίεδρης
Ακμές πολυέδρου
Ακμές τρίεδρης
Ακτίνιο
Ακτίνα σφαίρας
Αμβλεία δίεδρη
Ανάλογα ευθύγραμμα τμήματα
Ανάπτυγμα κυλίνδρου
Ανάπτυγμα κώνου
Ανάπτυγμα πυραμίδας
Ανάπτυγμα πρίσματος
Αντίστοιχη επίπεδη δίεδρης
Απλό πολύεδρο (πολύεδρο)
Απολλώνιος κύκλος
Απόστημα καν. πολυγώνου
Απόστημα κανονικής πυραμίδας
Απόσταση ασύμβατων ευθειών
Απόσταση παράλληλων επιπέδων
Απόσταση σημείου
Απόσταση σημείου από επίπεδο
Αρμονική τετράδα
Αρχικό επίπεδο
Ασύμβατες ευθείες
Ασύμμετρα ευθύγραμμα τμήματα

Β

Βάση κυλίνδρου
Βάση κώνου
Βάσεις πρίσματος
Βάση πυραμίδας

Γ

Γενέτειρα κυλίνδρου
Γενέτειρα κώνου
Γεωμετρικός μέσος
Γωνία δύο ασυμβάτων
Γωνία δύο επιπέδων
Γωνία ευθείας και επιπέδου

Δ

Διαγώνια επίπεδα πολυέδρου
Διαγώνιοι πολυέδρου
Διαστάσεις ορθογώνιου παραλληλεπιπέδου
Δίεδρη γωνία
Δίεδρη γωνία δύο τεμνόμενων επιπέδων
Διχοτόμο επίπεδο δίεδρης
Διχοτόμο ημιεπίπεδο δίεδρης
Δύναμη σημείου ως προς κύκλο

Ε

Έδρες πολυέδρου
Έδρες τρίεδρης
Εμβαδόν
Εξάντας
Εξωτερική
Εξωτερικό σημείο δίεδρης
Εξωτερικό σημείο σφαίρας
Επίπεδο προβολής
Εσωτερικό δίεδρης
Εσωτερικό σημείο δίεδρης
Έδρες δίεδρης
Εσωτερικό σημείο σφαίρας
Ευθεία κάθετη σε επίπεδο
Ευθεία παράλληλη σε επίπεδο
Ευθεία πλάγια σε επίπεδο
Εφεξής δίεδρες

H

Ημιχώρος

Ι

Ισοδύναμα
Ισοσκελής κόλουρη πυραμίδα
Ίχνος ευθείας σε επίπεδο

Κ

Κανονικό πολύγωνο
Κανονική πυραμίδα
Κανονικό τετράεδρο
Κάθετα επίπεδα
Κάθετη ευθεία
Κάθετες πλευρές
Κάθετη ευθεία σε επίπεδο
Κάθετη τομή πρίσματος
Κατακορυφήν δίεδρες
Κεντρική γνωνία
Κέντρο
Κοινό μέτρο ευθύγραμμων τμημάτων
Κόλουρη πυραμίδα
Κόλουρος κώνος
Κορυφή πολυέδρου
ΕΥΡΕΤΗΡΙΟ ΟΡΩΝ

Κορυφή πυραμίδας
Κορυφή τρίεδρης
Κύβος (κανονικό εξάεδρο)
Κυκλικό τμήμα
Κυκλικός δίσκος
Κυκλικός τομέας
Κύλινδρος
Κυρτό πολύεδρο
Κυρτό πρίσμα
Κώνος

Λ

Λόγος ευθύγραμμων τμημάτων
Λόγος ομοιότητας

Μ

Μέγεθος
Μέγιστος κύκλος σφαίρας
Μέση ανάλογος
Μεσοκάθετο επίπεδο
Μέτρο ή μήκος τμήματος
Μη κυρτή γωνία
Μικρός κύκλος σφαίρας
Οξεία δίεδρη
Ομοια σχήματα
Ορθή δίεδρη
Ορθή προβολή (προβολή) σχήματος σε επίπεδο
Ορθογώνιες (ασυμβάτως κάθετες) ευθείες

Ο

Ορθογώνιο παραλληλεπίπεδο
Ορθό παραλληλεπίπεδο
Ορθό πρίσμα

Π

Παράλληλα επίπεδα
Παράλληλη ευθεία σε επίπεδο
Παραλληλεπίπεδο
Παράπλευρες ακμές πρίσματος
Παράπλευρες ακμές πυραμίδας
Παράπλευρες έδρες πρίσματος
Παράπλευρη (κυρτή) επιφάνεια κυλίνδρου
Παράπλευρη επιφάνεια πρίσματος
Παράπλευρη επιφάνεια πυραμίδας
Παράπλευρη επιφάνεια κώνου
Παραπληρωματικές δίεδρες
Πλάγια ευθεία σε επίπεδο
Πλάγιο πρίσμα
Πολυεδρική γωνία
Πολυγωνικό χωρίο-επιφάνεια
Πρισματική επιφάνεια
Πρίσμα
Προβολή
Πυραμίδα


Σ

Σημείο τομής (ίχνος) ευθείας και επιπέδου
Συζυγή αρμονικά
Σύμμετρα ευθύγραμμα τμήματα
Συνεπίπεδα σχήματα
Συνεχής αναλογία
Σφαίρα

Τ

Τέταρτη ανάλογος
Τετράεδρο
Τετραγωνισμός
Τομή πρίσματος
Τρίεδρη γωνία

Υ

Ύψος πρίσματος
Ύψος κυλίνδρου
Ύψος πυραμίδας
Ύψος κώνου

Φ

Φορέας

Χ

Χορδή σφαίρας
Χρυσή τομή

ΕΥΡΕΤΗΡΙΟ ΟΝΟΜΑΤΩΝ


Α

Αμοδέο Φ. (Amodeo F.)
Αμπού Καμίλ (Abu Kamil Shuja ibn Aslam ibn Muhammad ibn Shuja, περ. 850-930)
Αμπούλ-Ουάφα (Mohammad Abu al-Wafa al-Buzjani, 940-997/8)
Απόλλων
Απολλώνιος ο Περγαίος (περ. 262-190 π.Χ.)
Αρισταίος (περ. 370-300 π.Χ.)
Αριστοτέλης ο Σταγειρίτης (384-322 π.Χ.)
Αρχιμήδης ο Συρακούσιος (περ. 287-212 π.Χ.)
Αρχύτας ο Ταραντίνος (περ. 400-360 π.Χ.)

Β

Βάντσελ Πιερ Λοράν (Wantzell Pierre Laurent, 1814-1848) Βέμπερ Χέινριχ (Weber Heinrich, 1842-1913)
Βιέτ Φρανσουά (Viete Francois, 1540-1603)
Βιτέλο (Vitelo, περ. 1225-1280)

Γ

Γκαλουά Εβαρίστ (Galois Evariste, 1811-1832).

Δ

Διοκλής (περ. 240-180 π.Χ.)

Ε

Ε Εμπεδοκλής (περ. 492-432 π.Χ.)
Ερατοσθένης ο Κυρηναίος (περ. 276-194 π.Χ.)
Ερμίτ Σαρλ (Charles Hermite, 1822-1901)
Εύδοξος ο Κνίδιος (περ. 408-355 π.Χ.)
Ευκλείδης (περ. 325-265 π.Χ.)
Ευτόκιος ο Ασκαλωνίτης (περ. 480-540 μ.Χ.)



Ζ

Ζιράρ Αλμπέρ (Girard Albert, 1595-1632)

Η

Ήρων ο Αλεξανδρινός (περ. 10-75 μ.Χ.)

Θ

Θαμπίτ Ιμπν Κούρρα (Al-Sabi Thabit ibn Qurra al-Harrani, 826-901)
Θεαίτητος (περ. 415-368 π.Χ.)
Θεόδωρος ο Κυρηναίος (465-398 π.Χ.)

Ι

Ιππίας ο Ηλείος (460-400 π.Χ.)
Ιπποκράτης ο Χίος (περ. 470-410 π.Χ.)

Κ

Καμπανός του Νοβάρα (Johannes Campanus of Novara, ακμ. περ. 1260)
Κάντορ Γκέοργκ (Cantor Georg, 1845 -1918)
Καρντάνο Ιερώνυμος (Cardano Hieronimo, 1501-1576)
αλ-Κασί (Ghiyath al-Din Jamshid Mas'ud Al-Kashi, περ. 1380- 1429)
Κέπλερ Ιωάννης (Kepler Johann, 1571-1630)
Κλάβιος Χριστόφορος (Clavius (Schliissel), 1537-1612)
Κλάουζεν Τόμας (Clausen Thomas, 1801-1885).

Λ

Λάιμπνιτς Γκότφριντ Βίλχελμ (Leibniz Gottfried Wilhelm, 1646-1714)
Λάμπερτ Γιόχαν Χάινριχ (Lambert Johann Heinrich 1728-1777)

Λεονάρδος της Πίζας (Leonardo of Pisa = Fibonacci, περ. 1180-1250)
Λεονάρντο ντα Βίντσι (Leonardo da Vinci, 1452-1519)
Λομπατσέφσκι Νικολάι I. (Lobachevsky Nikolai I., 1793-1856)
Λίντεμαν Καρλ Λουίς Φερντινάντ φον (Lindemann Karl Luis Ferdinand von, 1852-1939)
Λούκας Φρανσουά Εντουάρντ Ανατόλ (Lucas Francois Edouard Anatole, 1848-1891)

Μ

αλ-Μαγκριμπί (Muhyi l'din al-Maghribi, περ. 1220-1283)
Μέναιχμος (περ. 380-320 π.Χ.)
Μιρίτ Τσελεμπί (Mint Chelebi πέθανε το 1525 περίπου)
Μπινέ Ζακ Φιλίπ Μαρί (Binet Jacques Philippe Marie, 1786-1856)
Μπόλυαϊ Γιάνος (Bolyai Janos, 1802-1860)
Μπόλυαΐ Φαρκάς (Bolyai Farkas, 1775-1856)

Ν

αλ-Ναϊριζί (Abu'l Abbas al-Fadl ibn Hatim al-Nayrizi, περ. 865-922)
αλ-Ναντίμ, Ιμπν (Muhammad ibn Ishaq ibn Abi Ya'qub al-Nadim, πέθανε το 993)
Νικομήδης (280-210 π.Χ.)
ντα Βίντσι βλ. Λεονάρντο ντα Βίντσι Ντεζάργκ Ζιράρ (Desargues Gerard, 1593-1662)
Ντεκάρτ Ρενέ ή Καρτέσιος (Descartes Rene, 1596-1650)
ντελλα Φραντσέσκα Πιέρο (della Francesca Piero, περ. 1414-1492)
Ντοροντνόφ Α.Β. (Dorodnov A.V.)

Ο

Ο Ουλουγκμπέκ Μ.Τ. (Ulugh Beg Mohammed Targai, 1394-1449)

Π

Πάππος (περ. 290-350 μ.Χ.)


Πάππος (περ. 290-350 μ.Χ.)
Πατσόλι Λουκά (Pacioli Luca, 1445-περ. 1514)
Πλάτων (429-348 π.Χ.)
Πλούταρχος (ακμ. περ. 50-100 μ.Χ.)
Πυθαγόρας ο Σάμιος (περ. 569-475 π.Χ.)

Ρ

Ράμος Πέτρος (Petrus Ramus ή Pierre de la Ramee)
Αλ-Ρουμί (Jalal ad-Din al-Rumi ή Mawlana, 1207-1273)

Σ

Σίμπσον Τόμας (Simpson Thomas, 1710-1761)

Τ

Τσεμποταριόφ Νικολάι Γκ. (Chebotarev N.G., 1894-1947)

Υ

Υψικλής (2ος αι. π.Χ.)

Φ

Φιμπονάτσι (Fibonacci)
βλ. Λεονάρδος της Πίζας
Φιν Ορόνς ή Φινέος Ορόντιος (Fine Oronce ή Finaeus Orontius, 1494-1555)

Χ

αλ-Χουαρίζμι (Abu Ja'far Muhammad ibn Musa al-Khwarizml, περίπου 780-850)

 

ΒΙΒΛΙΟΓΡΑΦΙΑ
ΕΛΛΗΝΙΚΗ

1) Αλιμπινίση Α., Δημάκου Γ., κ.ά., Θεωρητική γεωμετρία Β' Λυκείου, ΟΕΔΒ.
2) F.G.-M., Ασκήσεις Γεωμετρίας (Ιησουϊτών), μετάφραση στα ελληνικά Δ. Γκιόκα,
     Εκδόσεις Καραββία, τόμοι 1-4, Αθήνα, 1952.
3) Ιωαννίδη I., Γεωμετρία, Εκδόσεις Κορφιάτη, τόμοι 1-12, Αθήναι, 1973.
4) Ιωαννίδη Ι., Επίπεδος Γεωμετρία, Εκδόσεις Π. Γρηγορόπουλου.
5) Κανέλλου Σ. Γ., Ευκλείδειος Γεωμετρία, ΟΕΔΒ, 1976.
6) Κισκύρα Ν.Α., Θεωρήματα και Προβλήματα Γεωμετρίας, 1957.
7) Νικολάου Ν., Θεωρητική Γεωμετρία, ΟΕΔΒ, 1973.
8) Νικολάου Ν., Μεγάλη Γεωμετρία, Αθήναι.
9) Ντάνη I., Γεωμετρία Τεύχη 1-2.
10) Πάλλα Α., Μεγάλη Γεωμετρία.
11) Πανάκη I. P., Γεωμετρία του Τριγώνου, Εκδόσεις Gutenberg.
12) Παπαμιχαήλ Δ., Σκιαδά Α., Θεωρητική Γεωμετρία, ΟΕΔΒ.
13) Παπανικολάου Γ., Θεωρητική Γεωμετρία, Αθήναι.
14) Σταμάτη Ε., Ευκλείδεια Γεωμετρία, τόμοι I - III, ΟΕΣΒ, αρχαίο κείμενο και μετάφραση των Στοιχείων του Ευκλείδη, ΟΕΣΒ, Αθήνα, 1975.
15) Τσαρούχη Χ., Θεωρήματα και Προβλήματα Γεωμετρίας, 1969.
16) Τόγκα Π. Γ., Θεωρητική Γεωμετρία.
17) Τόγκα Π. Γ., Ασκήσεις και Προβλήματα Γεωμετρίας.
18) Τσίντσιφα Γ., Γεωμετρία, Εκδόσεις Σύγχρονου Βιβλιοπωλείου.

ΞΕΝΗ

1) Berger Μ., Pansu P., Berry J., Saint-Raymond X., Problems in Geometry, Springer-Verlag, 1984.
2) Blumenthal L.M., A modern view of geometry, Dover, N.Y 1961.
3) Bonola R., Non-Euclidean Geometry, Dover, 1955.
4) Caronnet Th., Exercices de Geometrie, 8eme edition, Librairie Vuibert, 1-7 livres, Paris.
5) Coxeter H., Introduction to Geometry, Wiley & Sons Inc, N.Y. 1969.
6) Coxeter H. and Greitzer S., Geometry Revisited, MAA, 1975.
7) Dorrie H., 100 Great Problems of Elementary Mathematics, Dover Pub. Inc, N.Y., 1965.
8) Eves H., A survey of Geometry, Allyn of Bacon Inc, Boston, 1974.
9) Forder H., The Foundations of Euclidean Geometry, Dover, 1958.
10) Hollinger Α., Problemes de Geometrie, Bucurest.
11) Jacobs H., Geometry, W. H. Freeman & Co.
12) Knorr W.R., The Ancient Tradition of Geometric Problems, Dover, N.Y. 1986.
13) Lebosse G., Hemery G., Geometrie, 1960.
14) Ogilvy C.S., Excursions in Geometry, Dover Pub. Inc., N.Y. 1969.
15) Posamentier Α., Salkid Ch., Challenging Problems in Geometry, Dover Pull. Inc., 1970.
16) Sved M., Journey into Geometries, MAA, 1991.
17) Tuller Α., Introduction to Geometries, Van Nostrand Reinhold, 1967.
18) Yale P. B., Geometry and Symmetry, Dover Pub. Inc., N.Y., 1968.

Βάσει του ν. 3966/2011 τα διδακτικά βιβλία του Δημοτικού, του Γυμνασίου, του Λυκείου, των ΕΠΑ.Λ. και των ΕΠΑ.Σ. τυπώνονται από το ΙΤΥΕ - ΔΙΟΦΑΝΤΟΣ και διανέμονται δωρεάν στα Δημόσια Σχολεία. Τα βιβλία μπορεί να διατίθενται προς πώληση, όταν φέρουν στη δεξιά κάτω γωνία του εμπροσθόφυλλου ένδειξη «ΔIΑΤΙΘΕΤΑΙ ΜΕ ΤΙΜΗ ΠΩΛΗΣΗΣ». Κάθε αντίτυπο που διατίθεται προς πώληση και δεν φέρει την παραπάνω ένδειξη θεωρείται κλεψίτυπο και ο παραβάτης διώκεται σύμφωνα με τις διατάξεις του άρθρου 7 του νόμου 1129 της 15/21 Μαρτίου 1946 (ΦΕΚ 1946,108, Α').

 













Απαγορεύεται η αναπαραγωγή οποιουδήποτε τμήματος αυτού του βιβλίου, που καλύπτεται από δικαιώματα (copyright), ή η χρήση του σε οποιαδήποτε μορφή, χωρίς τη γραπτή άδεια του Υπουργείου Παιδείας, Έρευνας και Θρησκευμάτων / IΤΥΕ - ΔΙΟΦΑΝΤΟΣ.

εικόνα