ΑΝΑΚΕΦΑΛΑΙΩΣΗ
Αντικείμενο του κεφαλαίου είναι η έννοια του εμβαδού. Το εμβαδόν ενός πολυγωνικού χωρίου είναι
ένας θετικός αριθμός, που εκφράζει το πλήθος των μοναδιαίων τετραγώνων (ή μερών του) που απαιτούνται για να καλύψουν την έκτασή του. Δεχόμαστε την αλήθεια των εξής ιδιοτήτων:
• Ίσα πολυγωνικά χωρία έχουν ίσα εμβαδά.
• Αν ένα πολυγωνικό χωρίο (ή μια πολυγωνική επιφάνεια) χωρίζεται σε πεπερασμένου πλήθους
πολυγωνικά χωρία, που δεν έχουν κοινά εσωτερικά σημεία, τότε το εμβαδόν του ισούται με το
άθροισμα των εμβαδών των επιμέρους πολυγωνικών χωρίων.
Ευθύγραμμα σχήματα με το ίδιο εμβαδόν λέγονται ισοδύναμα.
Με σκοπό την παραγωγή των τύπων υπολογισμού του εμβαδού βασικών ευθύγραμμων σχημάτων
δεχόμαστε ότι το εμβαδόν τετραγώνου πλευράς α είναι Ε = α2. Στηριζόμενοι σ' αυτό αποδεικνύουμε ότι
το εμβαδόν Ε ορθογωνίου με πλευρές α, β είναι Ε = αβ. Στη συνέχεια μετασχηματίζοντας το παραλληλόγραμμο σε ορθογώνιο βρίσκουμε τον τύπο του εμβαδού Ε ενός παραλληλογράμμου. Θεωρώντας
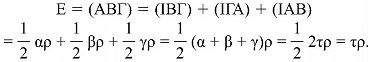
πλέον το τρίγωνο ως το μισό κατάλληλου παραλληλογράμμου βρίσκουμε τον τύπο του εμβαδού ενός
τριγώνου. Τέλος χωρίζοντας ένα τραπέζιο σε δύο τρίγωνα βρίσκουμε ότι το εμβαδόν Ε ενός τραπεζίου
δίνεται από τον τύπο:

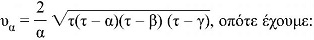
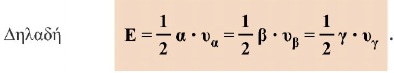
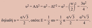
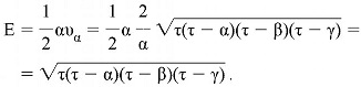
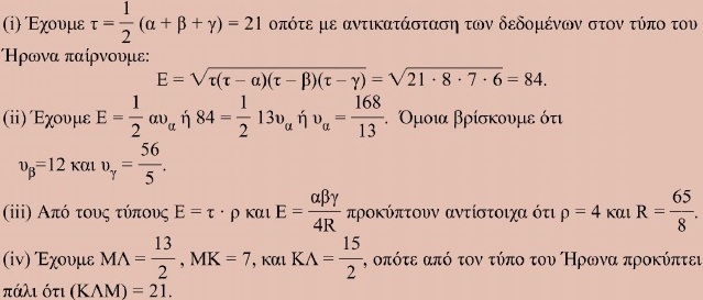
Στη συνέχεια δίνουμε και άλλους τύπους για το εμβαδόν τριγώνου.
Ως πόρισμα αυτών καταλήγουμε στο Νόμο των ημιτόνων

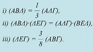
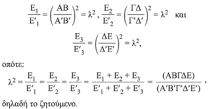
Στη συνέχεια εξετάζουμε τη σχέση των εμβαδών δύο όμοιων πολυγώνων.
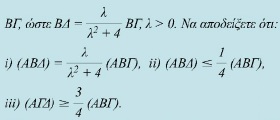
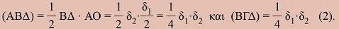
Επίσης, αποδεικνύουμε ότι για δύο τρίγωνα ΑΒΓ και Α'Β'Γ' με

Τέλος, αποδεικνύουμε ότι κάθε κυρτό πολύγωνο μετασχηματίζεται σε ισοδύναμό του τετράγωνο, αποδεικνύοντας πρώτα ότι το πολύγωνο μετασχηματίζεται σε ισοδύναμό του τρίγωνο και αυτό σε
ισοδύναμο τετράγωνο.
Δραστηριότητα