Μαθηματικά (Β Λυκείου Θετικών Σπουδών) - Βιβλίο Μαθητή
3.3 Η ΕΛΛΕΙΨΗ 3.5 Η ΕΞΙΣΩΣΗ Επιστροφή στην αρχική σελίδα του μαθήματος

3.4 Η ΥΠΕΡΒΟΛΗ

Ορισμός Υπερβολής

Έστω E' και Ε δύο σημεία ενός επιπέδου. Ονομάζεται υπερβολή με εστίες τα σημεία E' και Ε ο γεωμετρικός τόπος C των σημείων του επιπέδου των οποίων η απόλυτη τιμή της διαφοράς των αποστάσεων από τα E' και Ε είναι σταθερή και μικρότερη του (E'E). Την απόλυτη τιμή της διαφοράς των αποστάσεων κάθε σημείου της υπερβολής από τις εστίες την παριστάνουμε συνήθως με , ενώ την απόσταση των εστιών με . Η απόσταση E'E ονομάζεται εστιακή απόσταση της υπερβολής.

Εικόνα

Σύμφωνα με τον ορισμό αυτό:

α) Ένα σημείο Μ είναι σημείο της υπερβολής, αν και μόνο αν

Εικόνα

β) Ισχύει Εικόνα δηλαδή Εικόνα.


Για να βρούμε σημεία της υπερβολής C, εργαζόμαστε ως εξής: Παίρνουμε ένα ευθύγραμμο τμήμα ΚΛ μήκους και ένα οποιοδήποτε σημείο Σ της ημιευθείας ΚΛ εκτός του ευθύγραμμου τμήματος ΚΛ. Με κέντρα E' και Ε και ακτίνες ρ' =(ΚΣ) και ρ =(ΛΣ) , αντιστοίχως, γράφουμε κύκλους οι οποίοι τέμνονται στα σημεία Μ και M' . Τα σημεία Μ και M' είναι σημεία της υπερβολής, γιατί ισχύει (ME') - (ME)=(KΣ) - (ΛΣ)=(ΚΛ)= 2α. Με τον τρόπο αυτό μπορούμε να κατασκευάσουμε οσαδήποτε σημεία της υπερβολής.

Εξίσωση Υπερβολής

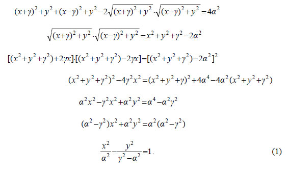
• Έστω C μια υπερβολή με εστίες E' και Ε. Θα βρούμε την εξίσωση της C ως προς σύστημα συντεταγμένων Oxy με άξονα των x την ευθεία E'E και άξονα των y τη μεσοκάθετη του E'E.

Εικόνα

Αν M(x,y) είναι ένα σημείο της υπερβολής C, τότε θα ισχύει

Εικόνα

Επειδή (E'E)=2γ , οι εστίες E' και Ε θα έχουν συντεταγμένες ( -γ,0) και (γ,0) αντιστοίχως. Επομένως,

Εικόνα

Έτσι η σχέση (1) γράφεται

Εικόνα

από την οποία έχουμε διαδοχικά

Εικόνα

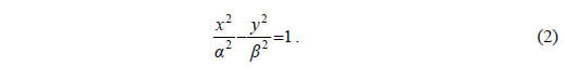
Επειδή Εικόνα, οπότε, αν θέσουμε Εικόνα , η εξίσωση (1) παίρνει τη μορφή

Εικόνα

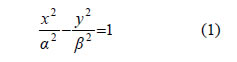
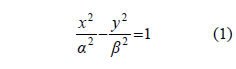
Αποδεικνύεται και το αντίστροφο, δηλαδή ότι κάθε σημείο M(x,y) του οποίου οι συντεταγμένες επαληθεύουν την εξίσωση (2) είναι σημείο της υπερβολής C. Επομένως, η εξίσωση της υπερβολής C με εστίες τα σημεία E'( -γ,0), E(γ,0) και σταθερή διαφορά είναι

Εικόνα

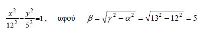
Για παράδειγμα, η εξίσωση της υπερβολής με εστίες τα σημεία E'( -13,0) E(13,0) και σταθερή διαφορά 2α=24 είναι

Εικόνα
Εικόνα

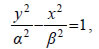
• Αν τώρα πάρουμε σύστημα συντεταγμένων Oxy με άξονα των y την ευθεία E'E και άξονα των x τη μεσοκάθετο του E'E και εργαστούμε όπως πριν, θα βρούμε ότι η εξίσωση της υπερβολής C είναι:

Εικόνα

Για παράδειγμα, η εξίσωση της υπερβολής με εστίες τα σημεία E'(0, -13) E(0, 13) και σταθερή διαφορά 2α=24, είναι

Εικόνα

• Τέλος, αν είναι α=β, τότε η υπερβολή λέγεται ισοσκελής και η εξίσωσή της γράφεται: x2 - y2= α2.

Ιδιότητες Υπερβολής

Έστω μια υπερβολή C, η οποία ως προς ένα σύστημα συντεταγμένων Oxy έχει εξίσωση Εικόνα.

Εικόνα

• Αν M1(x1,y1) είναι ένα σημείο της υπερβολής C, τότε και τα σημεία M2(x1, -y1) , M3( -x1, y1) και M4( -x1, -y1) ανήκουν στην C, αφού οι συντεταγμένες τους επαληθεύουν την εξίσωσή της. Αυτό σημαίνει ότι η υπερβολή C έχει τους άξονες x'x και y'y άξονες συμμετρίας και την αρχή των αξόνων κέντρο συμμετρίας. Επομένως, η ευθεία που ενώνει τις εστίες E',E της υπερβολής και η μεσοκάθετη του E'E είναι άξονες συμμετρίας της υπερβολής, ενώ το μέσο Ο του E'E είναι κέντρο συμμετρίας της. Το σημείο Ο λέγεται κέντρο της υπερβολής.

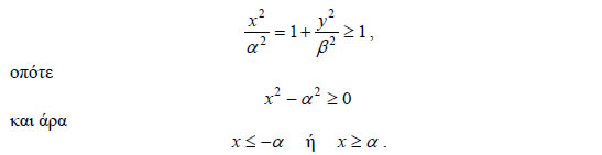
• Από την εξίσωση της υπερβολής για y=0 βρίσκουμε Εικόνα. Συνεπώς, η υπερβολή τέμνει τον άξονα x'x στα σημεία A'( -α,0) , και A(α,0) . Τα σημεία αυτά λέγονται κορυφές της υπερβολής. Από την ίδια εξίσωση για x=0 προκύπτει η εξίσωση y2 = -β2 , η οποία είναι αδύνατη στο R. Επομένως, η υπερβολή C δεν τέμνει τον άξονα y'y .

• Τέλος, από την εξίσωση της υπερβολής, έχουμε

Εικόνα

Επομένως, τα σημεία της υπερβολής C βρίσκονται έξω από την ταινία των ευθειών x= -α και x= α , πράγμα που σημαίνει ότι η υπερβολή αποτελείται από δύο χωριστούς κλάδους.

Ασύμπτωτες Υπερβολής

Εικόνα

• Έστω μια υπερβολή C με εξίσωση

Εικόνα

και μια ευθεία ε με εξίσωση

Εικόνα

δηλαδή μια ευθεία που περνάει από την αρχή των αξόνων.

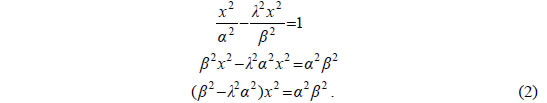
Η ευθεία ε έχει με την υπερβολή C κοινά σημεία, αν και μόνο αν το σύστημα

Εικόνα

έχει λύση. Η πρώτη εξίσωση του συστήματος (1), λόγω της δεύτερης, γράφεται διαδοχικά

Εικόνα

Έτσι το σύστημα (1) έχει λύση, αν και μόνο αν η (2) έχει λύση, δηλαδή αν και μόνο αν Εικόνα ή, ισοδύναμα, αν και μόνο αν

Εικόνα

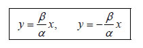
Επομένως, η ευθεία y=λx έχει με την υπερβολή κοινά σημεία, και μάλιστα δύο, μόνο όταν Εικόνα . Άρα, όλα τα σημεία της υπερβολής C θα περιέχονται στις γωνίες των ευθειών

Εικόνα
Εικόνα

στις οποίες βρίσκεται ο άξονας x'x . Ας θεωρήσουμε τώρα ένα σημείο M(x,y) της υπερβολής με Εικόνα και Εικόνα . Αποδεικνύεται ότι όταν το x αυξάνει απεριόριστα, η απόσταση ΜΡ του Μ από την ευθεία Εικόνατείνει προς το μηδέν. Έτσι, το άνω τεταρτημόριο του δεξιού κλάδου της υπερβολής πλησιάζει όλο και περισσότερο την ευθεία Εικόνα , χωρίς ποτέ να συμπέσει με αυτή. Γι'αυτό την ευθεία Εικόνα τη λέμε ασύμπτωτο του δεξιού κλάδου της υπερβολής. Λόγω συμμετρίας της υπερβολής ως προς τον άξονα x'x , ο δεξιός κλάδος της θα έχει ασύμπτωτο και την ευθεία Εικόνα , οπότε, λόγω συμμετρίας της υπερβολής και ως προς τον άξονα y'y , ο αριστερός κλάδος της θα έχει ασύμπτωτες τις ίδιες ευθείες. Άρα, οι ασύμπτωτες της υπερβολής Εικόνα είναι οι ευθείες

Εικόνα

Είναι φανερό ότι οι ασύμπτωτες της υπερβολής είναι οι διαγώνιες του ορθογώνιου ΚΛΜΝ με κορυφές τα σημεία Κ(α,β), Λ(α, -β), Μ( -α, -β) και Ν( -α,β) . Το ορθογώνιο αυτό λέγεται ορθογώνιο βάσης της υπερβολής.

Εικόνα

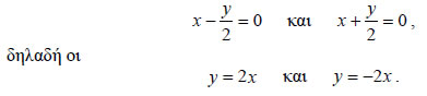
Για παράδειγμα, οι ασύμπτωτες της υπερβολής Εικόνα είναι οι ευθείες y=2x και y= -2x .

• Αν η υπερβολή C έχει εξίσωση Εικόνα , τότε οι ασύμπτωτες της είναι ευθείες:

Εικόνα


ΠΑΡΑΤΗΡΗΣΗ

Ένας μνημονικός κανόνας για να βρίσκουμε κάθε φορά τις ασύμπτωτες μιας υπερβολής είναι ο εξής:

Παραγοντοποιούμε το πρώτο μέλος της εξίσωσης της υπερβολής και εξισώνουμε κάθε παράγοντα με μηδέν. Για παράδειγμα, έστω η υπερβολή Εικόνα. Επειδή

Εικόνα

οι ασύμπτωτες της υπερβολής είναι οι ευθείες

Εικόνα

Εκκεντρότητα Υπερβολής

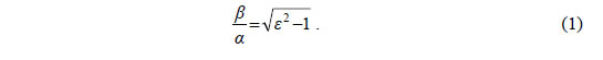
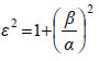
Όπως στην έλλειψη έτσι και στην υπερβολή μία παράμετρος που καθορίζει το σχήμα της είναι η εκκεντρότητα. Ονομάζουμε εκκεντρότητα της υπερβολής Εικόνα, και τη συμβολίζουμε με ε, το λόγο Εικόνα . Επειδή Εικόνα , είναι Εικόνα , οπότε Εικόνα και άρα,

Εικόνα

Επομένως, η εκκεντρότητα ε προσδιορίζει το συντελεστή διεύθυνσης της ασυμπτώτου της, δηλαδή χαρακτηρίζει το ορθογώνιο βάσης, άρα τη μορφή της ίδιας της υπερβολής.

Εικόνα

Όσο η εκκεντρότητα μικραίνει και τείνει να γίνει ίση με 1, ο λόγος β/α , άρα και το β, μικραίνει και τείνει να γίνει ίσο με 0. Κατά συνέπεια, όσο πιο μικρή είναι η εκκεντρότητα της υπερβολής τόσο πιο επίμηκες είναι το ορθογώνιο βάσης και κατά συνέπεια τόσο πιο κλειστή είναι η υπερβολή.

Στην περίπτωση της ισοσκελούς υπερβολής είναι α=β , οπότε Εικόνα .


Εφαπτομένη Υπερβολής

Εικόνα

• Έστω μια υπερβολή με εξίσωση

Εικόνα

και ένα σημείο M1(x1,y1) αυτής.

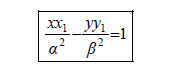
H εφαπτομένη της υπερβολής στο σημείο M1(x1,y1) ορίζεται με τρόπο ανάλογο προς εκείνο με τον οποίο ορίστηκε η εφαπτομένη της έλλειψης και αποδεικνύεται ότι έχει εξίσωση

Εικόνα

Έτσι, για παράδειγμα, η εφαπτομένη της υπερβολής Εικόνα στο σημείο Εικόνα έχει εξίσωση Εικόνα , η οποία γράφεται ισοδύναμα Εικόνα .

• Αν μια υπερβολή έχει εξίσωση

Εικόνα

τότε η εφαπτομένη της στο σημείο M1(x1,y1) θα έχει εξίσωση

Εικόνα

• Όπως η έλλειψη έτσι και η υπερβολή έχει ανάλογη ανακλαστική ιδιότητα. Συγκεκριμένα:



Η εφαπτομένη μιας υπερβολής σε ένα σημείο της Μ διχοτομεί τη γωνία Εικόνα , όπου E',E οι εστίες της υπερβολής.

Εικόνα


Επομένως, μια φωτεινή ακτίνα, κατευθυνόμενη προς τη μία εστία της υπερβολής, όταν ανακλάται στην επιφάνεια αυτής, διέρχεται από την άλλη εστία, όπως φαίνεται στο σχήμα. Η ιδιότητα αυτή της υπερβολής σε συνδυασμό με τις αντίστοιχες ιδιότητες των άλλων κωνικών τομών βρίσκει εφαρμογή στην κατασκευή των ανακλαστικών τηλεσκοπίων, καθώς και στη ναυσιπλοΐα για τον προσδιορισμό του στίγματος των πλοίων.

ΕΦΑΡΜΟΓΗ

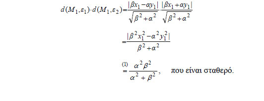
Να αποδειχτεί ότι το γινόμενο των αποστάσεων ενός σημείου M1(x1,y1) της υπερβολής Εικόνα από τις ασύμπτωτες είναι σταθερό.

ΑΠΟΔΕΙΞΗ

Έστω M1(x1,y1) ένα σημείο της υπερβολής. Τότε θα ισχύει Εικόνα ή, ισοδύναμα,

Εικόνα

Οι ασύμπτωτες ε1 και ε2 της υπερβολής έχουν εξισώσεις Εικόνα, ή ισοδύναμα

Εικόνα

αντιστοίχως. Επομένως, το γινόμενο των αποστάσεων του M1 από τις ε1, ε2 είναι ίσο με

Εικόνα

Ασκήσεις

Α' ΟΜΑΔΑΣ
1.

Να βρείτε την εξίσωση της υπερβολής σε καθεμιά από τις παρακάτω περιπτώσεις:

(i) Όταν έχει εστίες τα σημεία E'( -13,0), E(13,0) και κορυφές τα σημεία A(5,0) και A'( -5,0)

(ii) Όταν έχει εστίες τα σημεία E'(0, -10), E(0,10) και εκκεντρότητα 5/3

(iii) Όταν έχει εστίες τα σημεία Εικόνα διέρχεται από το σημείο Εικόνα

(iv) Όταν έχει ασύμπτωτες τις ευθείες Εικόνα και διέρχεται από το σημείο Εικόνα .

2.

Να βρείτε τις εστίες, την εκκεντρότητα και τις ασύμπτωτες της υπερβολής:

Εικόνα
3.

Να βρείτε την εκκεντρότητα της υπερβολής Εικόνα , της οποίας η ασύμπτωτη Εικόνα σχηματίζει με τον άξονα x'x γωνία Εικόνα .

4.

Αν η εφαπτομένη της υπερβολής Εικόνα στην κορυφή A(α,0) τέμνει την ασύμπτωτη Εικόνα στο σημείο Γ, να αποδείξετε ότι (OE)=(ΟΓ).

5.

Έστω η υπερβολή Εικόνα, ε η εφαπτομένη της σε ένα σημείο M1(x1,y1) και ζ η κάθετη της ε στο M1. Αν η ε διέρχεται από το σημείο M2(0, -β) και η ζ διέρχεται από το σημείο Εικόνα , να αποδείξετε ότι η εκκεντρότητα της υπερβολής είναι ίση με Εικόνα.

6.

Να αποδείξετε ότι κάθε ευθεία που είναι παράλληλη προς μια από τις ασύμπτωτες της υπερβολής Εικόνα τέμνει την υπερβολή σε ένα μόνο σημείο. Ποιο είναι το σημείο τομής της ευθείας 2x -y=1 και της υπερβολής 4x2 -y 2=1 ;

7.

Να βρείτε τις εξισώσεις των εφαπτομένων της υπερβολής x2 -4y 2=12 οι οποίες:
(i) είναι παράλληλες προς την ευθεία y=x+1

(ii) είναι κάθετες στην ευθεία Εικόνα

(iii) διέρχονται από το σημείο M(3,0)

Β' ΟΜΑΔΑΣ
1.

Αν E1 είναι η προβολή της εστίας E της υπερβολής Εικόνα πάνω στην ασύμπτωτη Εικόνα , να αποδείξετε ότι

Εικόνα
2.

Έστω ε και ε' οι εφαπτόμενες της υπερβολής Εικόνα στις κορυφές της A και A' . Αν Γ και Γ' είναι τα σημεία στα οποία μια τρίτη εφαπτομένη της υπερβολής τέμνει τις ε και ε' , αντιστοίχως, να αποδείξετε ότι

Εικόνα
3.

Έστω M1(x1,y1) και M2(x2,y2) δύο σημεία του δεξιού κλάδου της υπερβολής Εικόνα. Αν η ευθεία M1M2 τέμνει τις ασύμπτωτες στα σημεία M3(x3,y3) και M4(x4,y4) , να αποδείξετε ότι (M1M3)=(M2M4) .

4.

Από ένα σημείο M1(x1,y1) της υπερβολής Εικόνα φέρνουμε παράλληλες προς τις ασύμπτωτες. Να αποδείξετε ότι το εμβαδόν του σχηματιζόμενου παραλληλόγραμμου είναι σταθερό.

5.

Να αποδείξετε ότι το συνημίτονο μιας από τις γωνίες των ασυμπτώτων της υπερβολής Εικόνα δίνεται από τον τύπο Εικόνα .

6.

Έστω οι υπερβολές

Εικόνα

Αν A'1,A1 και A'2,A2 είναι οι κορυφές των C1 και C2 αντιστοίχως, να αποδείξετε ότι από το A2 δεν άγονται εφαπτόμενες στη C1 , ενώ από το A1 άγονται εφαπτόμενες της C2.