Μαθηματικά (Β Λυκείου Θετικών Σπουδών) - Βιβλίο Μαθητή
3.1 Ο ΚΥΚΛΟΣ 3.3 Η ΕΛΛΕΙΨΗ Επιστροφή στην αρχική σελίδα του μαθήματος

3.2 Η ΠΑΡΑΒΟΛΗ

Ορισμός Παραβολής

Έστω μια ευθεία δ και ένα σημείο Ε εκτός της δ. Ονομάζεται παραβολή με εστία το σημείο Ε και διευθετούσα την ευθεία δ ο γεωμετρικός τόπος C των σημείων του επιπέδου τα οποία ισαπέχουν από την Ε και τη δ (Σχ. α). Αν Α είναι η προβολή της εστίας Ε στη διευθετούσα δ, τότε το μέσο Κ του ΕΑ είναι προφανώς σημείο της παραβολής και λέγεται κορυφή της.

Εικόνα

Για να βρούμε ένα σημείο της παραβολής C, εργαζόμαστε ως εξής: Παίρνουμε ένα σημείο Π1 της ημιευθείας ΚΕ (Σχ. β) και από το σημείο αυτό φέρνουμε την κάθετη στην ΚΕ και έστω M1 ένα από τα σημεία τομής της κάθετης αυτής και του κύκλου με κέντρο το Ε και ακτίνα Π1A . Τότε, το σημείο M1 είναι σημείο της παραβολής C. Πράγματι, αν P1 είναι η ορθή προβολή του M1 στη διευθετούσα δ, τότε θα ισχύει Εικόνα , δηλαδή Εικόνα .

Εξίσωση Παραβολής

• Έστω C μια παραβολή με εστία Ε και διευθετούσα δ. Θα βρούμε την εξίσωση της παραβολής C ως προς σύστημα συντεταγμένων Oxy με αρχή Ο την κορυφή της παραβολής και άξονα x'x την κάθετη από το Ε στην δ.

Εικόνα

Αν στο σύστημα αυτό η τετμημένη της εστίας Ε είναι p/2 , τότε η εξίσωση της διευθετούσας θα είναι x = − p/2.

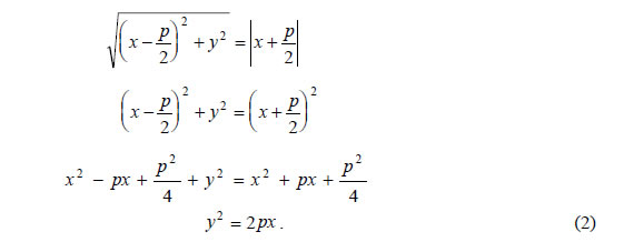
Σύμφωνα με τον ορισμό της παραβολής, ένα σημείο M(x,y) θα ανήκει στη C, αν και μόνο αν ισχύει

Εικόνα


Είναι όμως

Εικόνα

Έτσι, η σχέση (1) γράφεται διαδοχικά

Εικόνα,

Επομένως, η εξίσωση της παραβολής C με εστία Εικόνα και διευθετούσα Εικόνα είναι

Εικόνα


Για παράδειγμα, η παραβολή με εστία το σημείο E(1,0) και διευθετούσα την ευθεία x= −1 έχει p=2 και επομένως έχει εξίσωση y2= 4x . Ο αριθμός p λέγεται παράμετρος της παραβολής και η Εικόνα παριστάνει την απόσταση της εστίας από τη διευθετούσα.

Εικόνα

• Αν τώρα πάρουμε σύστημα συντεταγμένων Oxy με αρχή Ο την κορυφή της παραβολής και άξονα y'y την κάθετη από το Ε στη δ και εργαστούμε όπως πριν, θα βρούμε ότι η παραβολή C έχει εξίσωση

Εικόνα


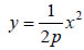
Η εξίσωση αυτή γράφεται ισοδύναμα Εικόνα και παριστάνει τη γραφική παράσταση της γνωστής μας από την Α΄ Λυκείου συνάρτησης

Εικόνα

Για παράδειγμα, η εξίσωση Εικόνα παριστάνει την παραβολή που έχει p=2 και άρα έχει εστία το σημείο E(0,1) και διευθετούσα την ευθεία y= −1.

Ιδιότητες Παραβολής

Έστω μια παραβολή

Εικόνα

• Από την εξίσωση (1) προκύπτει ότι τα p και x (με Εικόνα ) είναι ομόσημα. Άρα, κάθε φορά η παραβολή βρίσκεται στο ημιεπίπεδο που ορίζει ο άξονας y'y και η εστία Ε. Επομένως, η παραβολή βρίσκεται στο ημιεπίπεδο που ορίζει η διευθετούσα δ και η εστία Ε.

• Αν το σημείο M1(x1,y1) είναι σημείο της παραβολής, δηλαδή, αν y21=2px1 , τότε και το σημείο M2(x1, -y1) θα είναι σημείο της ίδιας παραβολής, αφού ( -y1 )2=2px1 . Αυτό σημαίνει ότι ο άξονας x'x είναι άξονας συμμετρίας της παραβολής. Επομένως, η κάθετη από την εστία στη διευθετούσα είναι άξονας συμμετρίας της παραβολής και λέγεται άξονας της παραβολής.

ΕΦΑΡΜΟΓΗ

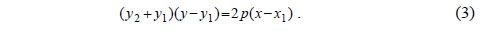
Έστω η παραβολή y2=2px και μια ευθεία που διέρχεται από την εστία της και τέμνει την παραβολή στα σημεία M1 και M2 . Να αποδειχτεί ότι το γινόμενο των αποστάσεων των M1 και M2 από τον άξονα x'x είναι σταθερό.

ΑΠΟΔΕΙΞΗ

Εικόνα

Αν (x1,y1) και (x2,y2) είναι οι συντεταγμένες των M1 και M2 αντιστοίχως, τότε οι αποστάσεις των M1 και M2 από τον άξονα x'x θα είναι ίσες με Εικόνα και Εικόνα αντιστοίχως. Επομένως, αρκεί να δείξουμε ότι το Εικόνα είναι σταθερό. Επειδή τα σημεία (x1,y1) , (x2,y2) ανήκουν στην παραβολή y2=2px , θα ισχύει

Εικόνα

Επομένως, οι συντεταγμένες των σημείων M1 και M2 θα είναι

Εικόνα


αντιστοίχως.

Όμως, τα σημεία Εικόνα είναι συνευθειακά.


Επομένως: Εικόνα οπότε έχουμε διαδοχικά:

Εικόνα


Άρα Εικόνα . (σταθερό)

Εφαπτομένη Παραβολής

Εικόνα

• Έστω μια παραβολή C με εξίσωση
Εικόνα
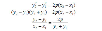
και ένα σταθερό της σημείο M1(x1,y1) . Έστω επιπλέον μια μη κατακόρυφη ευθεία ζ που διέρχεται από το M1(x1,y1) και τέμνει την παραβολή και σε ένα άλλο σημείο M2(x2,y2) . Τότε η ζ θα έχει συντελεστή διεύθυνσης

Εικόνα

και επειδή διέρχεται από το σημείο M1(x1,y1) , θα έχει εξίσωση

Εικόνα


Επειδή τα σημεία M1(x1,y1), M2(x2,y2) ανήκουν στην παραβολή, οι συντεταγμένες τους θα επαληθεύουν την εξίσωση (1). Άρα, θα ισχύει

Εικόνα

οπότε θα έχουμε διαδοχικά


Εικόνα

Έτσι, η εξίσωση (2) θα πάρει τη μορφή

Εικόνα


δηλαδή τη μορφή

Εικόνα


Ας υποθέσουμε τώρα ότι το σημείο M2(x2,y2) , κινούμενο πάνω στην παραβολή C, τείνει να συμπέσει με το σημείο M1(x1,y1) . Τότε το y2 τείνει να γίνει ίσο με y1 , οπότε η εξίσωση (3) της τέμνουσας ζ τείνει να πάρει τη μορφή

Εικόνα

δηλαδή τη μορφή

Εικόνα


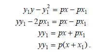
Η εξίσωση αυτή παριστάνει την ευθεία ε, που είναι η οριακή θέση της τέμνουσας ζ, καθώς το M2 τείνει να συμπέσει με το M1 . Η ευθεία ε λέγεται εφαπτομένη της παραβολής στο σημείο M1 . Η εξίσωση της εφαπτομένης γράφεται διαδοχικά:

Εικόνα

Επομένως, η εφαπτομένη της παραβολής y2=2px στο σημείο της M1(x1,y1) έχει εξίσωση

Εικόνα


Για παράδειγμα, η εφαπτομένη της παραβολής y2=4x στο σημείο της M1(2,1) έχει εξίσωση Εικόνα , η οποία γράφεται y=x+1 .

• Αν μια παραβολή έχει εξίσωση


Εικόνα

τότε η εφαπτομένη της στο σημείο M1(x1,y1) έχει εξίσωση

Εικόνα

Ανακλαστική Ιδιότητα Παραβολής

Μια σπουδαία ιδιότητα της παραβολής, γνωστή ως ανακλαστική ιδιότητα είναι η εξής:

Η κάθετη στην εφαπτομένη μιας παραβολής στο σημείο επαφής M1 διχοτομεί τη γωνία που σχηματίζουν η ημιευθεία M1E και η ημιευθεία M1t , που είναι ομόρροπη της ΟΕ, όπου Ε είναι η εστία της παραβολής.

ΑΠΟΔΕΙΞΗ

Εικόνα

Έστω ε η εφαπτομένη της παραβολής στο M1(x1,y1) και N1 το σημείο τομής της με τον άξονα x'x . Για να δείξουμε ότι φ12 , αρκεί να δείξουμε ότι ω12 ή ισοδύναμα ότι

Εικόνα

Πράγματι, επειδή η ε έχει εξίσωση yy1 = p(x + x1) , το N1 θα έχει συντεταγμένες ( -x1,0) , οπότε θα ισχύει

Εικόνα

Επομένως, έχουμε:

Εικόνα


Η χρήση της παραπάνω ιδιότητας γίνεται στα παραβολικά τηλεσκόπια, στα ραντάρ, στα φανάρια των αυτοκινήτων, στους προβολείς των οδοντιάτρων κτλ. Συγκεκριμένα:

— Όλες οι ακτίνες φωτός που προσπίπτουν στο παραβολικό κάτοπτρο παράλληλα προς τον άξονά του, ανακλώμενες, συγκεντρώνονται στην εστία.

— Στα φανάρια των αυτοκινήτων που έχουν παραβολικά κάτοπτρα οι λαμπτήρες βρίσκονται στην εστία τους. Έτσι, οι φωτεινές ακτίνες, ανακλώμενες στο κάτοπτρο, εξέρχονται παράλληλα προς τον άξονά του.

Εικόνα

ΣΧΟΛΙΟ

Σύμφωνα με την προηγούμενη απόδειξη, για να φέρουμε την εφαπτομένη μιας παραβολής σε ένα σημείο της M1(x1,y1) , αρκεί να ενώσουμε το σημείο N1( - x1,0) με το M1(x1,y1) .

ΕΦΑΡΜΟΓΕΣ

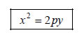
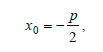
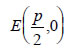
1.Έστω η παραβολή C :y2 =2px και ε1 , ε2 οι εφαπτόμενες της παραβολής από ένα σημείο M0(x0,y0) με Εικόνα. Αν M1, M1 είναι τα σημεία επαφής των ε1 , ε2 με την παραβολή C, να αποδειχτεί ότι
(i) Η ευθεία M1M2 έχει εξίσωση yy0 = p(x +x0)
(ii) Η ευθεία M1M2 διέρχεται από την εστία, αν και μόνο αν τοM0 ανήκει στη διευθετούσα της παραβολής.

ΑΠΟΔΕΙΞΗ

Εικόνα

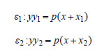
(i) Αν (x1,y1) και (x2,y2) είναι οι συντεταγμένες των σημείων M1 και M2 , τότε οι εφαπτόμενες ε1 και ε2 θα έχουν εξισώσεις:

Εικόνα

και επειδή οι ε1 και ε2 διέρχονται από το M0(x0,y0) , θα ισχύουν

Εικόνα

Επομένως, οι συντεταγμένες των M1 και M2 θα επαληθεύουν την εξίσωση

Εικόνα

Άρα, η (1) θα είναι η εξίσωση της χορδής M1M2.

(ii) Λόγω της (i), η ευθεία M1M2 διέρχεται από την εστία Εικόνα , αν και μόνο αν οι συντεταγμένες της Ε επαληθεύουν την εξίσωση της Εικόνα , δηλαδή, αν και μόνο αν ισχύει Εικόνα ή ισοδύναμα

Εικόνα

που συμβαίνει, αν και μόνο αν το σημείο M0(x0,y0) ανήκει στη διευθετούσα x= - p/2 της παραβολής.



ΣΧΟΛΙΟ

Η ευθεία M1M2 λέγεται πολική του σημείου M0 ως προς την παραβολή C, ενώ το σημείο M0 λέγεται πόλος της M1M2 ως προς την C. Παρατηρούμε ότι η εξίσωση της πολικής ενός σημείου M0(x0,y0) ως προς την παραβολή C: y2=2px έχει τη μορφή που θα είχε η εφαπτομένη της C στο σημείο M0(x0,y0) , αν αυτό ανήκε στην C.

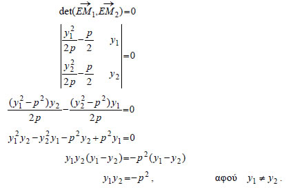
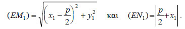
2.Έστω η παραβολή y2=2px και η εφαπτομένη της ε σε ένα σημείο της M1(x1,y1) , η οποία τέμνει τη διευθετούσα της παραβολής στο σημείο M2. Να αποδειχτεί ότι Εικόνα.

ΑΠΟΔΕΙΞΗ

Εικόνα

Η εξίσωση της ε είναι

Εικόνα

Επειδή το σημείο M1(x1,y1) είναι σημείο της παραβολής, ισχύει y12=2px1 , οπότε Εικόνα . Άρα, οι συντεταγμένες του M1 είναι

Εικόνα

Έτσι, η εξίσωση (1) γράφεται

Εικόνα

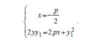
Επομένως, οι συντεταγμένες του M2 θα είναι η λύση του συστήματος

Εικόνα

Από την επίλυση του συστήματος αυτού βρίσκουμε ότι οι συντεταγμένες του M2 είναι

Εικόνα

Έτσι, έχουμε

Εικόνα
Εικόνα

Ασκήσεις

Α' ΟΜΑΔΑΣ
1.

Να βρεθεί η εξίσωση της παραβολής που έχει κορυφή την αρχή των αξόνων και άξονα συμμετρίας τον άξονα x'x σε καθεμιά από τις παρακάτω περιπτώσεις:

(i)  Όταν έχει εστία το σημείο E( -1,0)

(ii) Όταν έχει διευθετούσα την ευθεία x= 1/2

(iii) Όταν διέρχεται από το σημείο A(1,2)

2.

Να βρεθεί η εστία και η διευθετούσα της παραβολής με εξίσωση:

Εικόνα
3.

Δίνεται η παραβολή y2=2px . Να αποδειχτεί ότι η κορυφή της παραβολής είναι το πλησιέστερο στην εστία σημείο της.

4.

Να βρεθούν οι συντεταγμένες των σημείων Α και Β της παραβολής y= 1/4 x2 , που έχουν την ίδια τεταγμένη και ισχύειΕικόνα .

5.

Να βρεθεί η εξίσωση της εφαπτομένης της παραβολής y= 1/4 x2 σε καθεμιά από τις παρακάτω περιπτώσεις:

(i) Όταν είναι παράλληλη στην ευθεία y=x+1

(ii) Όταν είναι κάθετη στην ευθεία y= -2x

(iii) Όταν διέρχεται από το σημείο A(0, -1) .

6.

Να αποδείξετε ότι οι εφαπτόμενες της παραβολής y= 1/4 x2 στα σημεία A(4,4) και Εικόνα τέμνονται κάθετα και πάνω στη διευθετούσα της.

B' ΟΜΑΔΑΣ
1.

Να αποδειχτεί ότι ο κύκλος (x-3)2 + y2 =8 εφάπτεται της παραβολής y2 =4x . (Δηλαδή, έχουν τις ίδιες εφαπτόμενες στα κοινά σημεία τους).

2.

Έστω η παραβολή y2 =12x . Αν η εφαπτομένη της παραβολής στο σημείο Εικόνα τέμνει τον άξονα x'x στο σημείο Β, να αποδειχτεί ότι το τρίγωνο EAB είναι ισόπλευρο.

3.

Έστω η παραβολή y2 =4x . Αν η εφαπτομένη της παραβολής στο σημείο Εικόνα τέμνει τη διευθετούσα στο σημείο Β, να αποδειχτεί ότι ο κύκλος με διάμετρο AB εφάπτεται στον άξονα x'x στην εστία της παραβολής.

4.

Έστω Μ ένα σημείο της παραβολής y2 =2px . Να αποδειχτεί ότι ο κύκλος με διάμετρο EM, όπου Ε η εστία της παραβολής, εφάπτεται στον άξονα y'y .

5.

Έστω η παραβολή y2 =2px και η εφαπτομένη της ε σε ένα σημείο A(x1,y1) αυτής. Αν η ευθεία OA τέμνει τη διευθετούσα της παραβολής στο σημείο B , να αποδειχτεί ότι Εικόνα.

6.

Αν η εφαπτομένη της παραβολής y2 =2px στο σημείο της A τέμνει τη διευθετούσα στο σημείο B και τον άξονα y'y στο σημείο K, να αποδειχτεί ότι

Εικόνα
7.

Έστω η παραβολή y2 =2px και ένα σημείο της A(x1,y1) . Φέρνουμε την εφαπτομένη της παραβολής στο Α, που τέμνει τον άξονα x'x στο Β και την παράλληλη από το Α στον άξονα x'x, που τέμνει τη διευθετούσα στο Γ. Να αποδειχτεί ότι το τετράπλευρο ΑΕΒΓ είναι ρόμβος με κέντρο στον άξονα y'y .

8.

Δίνονται οι παραβολές Εικόνα

(i) Να αποδείξετε ότι οι C1 και C2 τέμνονται στα σημεία O(0,0) και A(2p,2p)

(ii) Αν οι εφαπτόμενες των C1 και C2 στο A τέμνουν τις C2 και C1 στα σημεία B και Γ αντιστοίχως, να αποδείξετε ότι η ΒΓ είναι κοινή εφαπτομένη των C1 και C2