Γεωμετρία (Α Λυκείου) - Βιβλίο Μαθητή (Εμπλουτισμένο)
Κεφάλαιο 5: Παραλληλόγραμμα - Τραπέζια ΠΑΡΑΡΤΗΜΑ Επιστροφή στην αρχική σελίδα του μαθήματος

ΚΕΦΑΛΑΙΟ6

ΕΓΓΕΓΡΑΜΜΕΝΑ ΣΧΗΜΑΤΑ

Στο κεφάλαιο αυτό θα μελετήσουμε αρχικά την έννοια της εγγεγραμμένης γωνίας και τη σχέση της με την αντίστοιχη επίκεντρη καθώς και με τη γωνία χορδής και εφαπτομένης. Έτσι, θα μας δοθεί η δυνατότητα αναλυτικής μελέτης βασικών γεωμετρικών τόπων στον κύκλο.
Τέλος, θα μελετήσουμε τα εγγεγραμμένα και εγγράψιμα τετράπλευρα καθώς και συγκεκριμένες γεωμετρικές κατασκευές που γίνονται με τη βοήθεια γεωμετρικών τόπων.




Σχέδιο και σημειώσεις του Ιταλού ζωγράφου της Αναγέννησης Leonardo da Vinci

Σχέδιο και σημειώσεις του Ιταλού ζωγράφου της Αναγέννησης Leonardo da Vinci
(1452-1519), από το Architectura de Vitruve, περίπου 1492.

Ε Υ Κ Λ Ε Ι Δ Ε Ι Α    Γ Ε Ω Μ Ε Τ Ρ Ι Α

Εγγεγραμμένη γωνία

6.1   Εισαγωγικά - Ορισμοί

Δίνεται μία κυρτή γωνία xAy και ένας κύκλος (Ο,R). Οι σχετικές θέσεις τους καθορίζονται από τη θέση της κορυφής της και των πλευρών της:

(i) Αν η κορυφή είναι το κέντρο του κύκλου (σχ.1), τότε η γωνία λέγεται επίκεντρη, όπως είδαμε στη § 2.18.

(ii) Αν η κορυφή (σχ.2) είναι σημείο του κύκλου και οι πλευρές της τέμνουσες του κύκλου, τότε η γωνία λέγεται εγγεγραμμένη γωνία του κύκλου.
Το τόξο ΒΓ που περιέχεται στην εγγεγραμμένη γωνία λέγεται αντίστοιχο τόξο της ή διαφορετικά λέμε ότι η εγγεγραμμένη γωνία A βαίνει στο τόξο ΒΓ.

(iii) Αν η κορυφή είναι σημείο του κύκλου, η μία της πλευρά είναι τέμνουσα και η άλλη εφαπτομένη του κύκλου (σχ.3), τότε η γωνία λέγεται γωνία χορδής και εφαπτομένης.

6.2   Σχέση εγγεγραμμένης και αντίστοιχης

επίκεντρης

Η σχέση μίας εγγεγραμμένης και μίας επίκεντρης γωνίας που βαίνουν στο ίδιο τόξο δίνεται από το ακόλουθο θεώρημα:

ΘΕΩΡΗΜΑ
Κάθε εγγεγραμμένη γωνία ισούται με το μισό της επίκεντρης γωνίας που βαίνει στο ίδιο τόξο.

ΑΠΟΔΕΙΞΗ

Έστω κύκλος (O,R) και ένα τόξο του ΑΒ. Ας θεωρήσουμε την αντίστοιχη επίκεντρη γωνία ΑÔΒ και σημείο Γ του κύκλου που δεν ανήκει στο τόξο ΑΒ. Τότε θα αποδείξουμε ότι ΑÔΒ = 2ΑΓΒ.

(i) Ας μελετήσουμε πρώτα την περίπτωση όπου το κέντρο Ο του κύκλου βρίσκεται στο εσωτερικό της εγγεγραμμένης γωνίας ΑΓΒ (σχ.4α). Έστω Γ' το αντιδιαμετρικό σημείο του Γ. Το τρίγωνο ΑΟΓ είναι ισοσκελές, επομένως ΟAΓ = ΟΓΑ. Η Γ'ΟΑ είναι εξωτερική του τριγώνου ΑΟΓ, επομένως Γ'ΟΑ = 2ΟΓΑ και όμοια έχουμε ότι Γ'ΟΒ = 2ΟΓΒ.

Σχήμα 1
Σχήμα 1

Σχήμα 2
Σχήμα 2

Σχήμα 3
Σχήμα 3

Σχήμα 4
Σχήμα 4
Κ Ε Φ Α Λ Α Ι Ο    6 .    Ε Γ Γ Ε Γ Ρ Α Μ Μ Ε Ν Α    Σ Χ Η Μ Α Τ Α

 


ΣΧΟΛΙΟ
Από το πόρισμα (iii)
συμπεραίνουμε εύκολα ότι τα
τόξα που περιέχονται μεταξύ
παράλληλων χορδών είναι
ίσα (σχ.5) και αντίστροφα.


Σχήμα 5
Σχήμα 5




































Σχήμα 6
Σχήμα 6

 

Μικροπείραμα πείραμα

Προσθέτοντας κατά μέλη τις δύο παραπάνω ισότητες έχουμε ότι

AÔΒ = 2ΑΓΒ.

(ii) Ας εξετάσουμε κατόπιν την περίπτωση όπου το O ανήκει σε μία πλευρά της εγγεγραμμένης γωνίας ΑΓΒ (σχ.4β). Η επίκεντρη γωνία ΑÔΒ είναι εξωτερική του ισοσκελούς τριγώνου ΓΟΒ, οπότε ΑÔΒ = 2ΑΓΒ.

(iii) Όμοια με τις προηγούμενες περιπτώσεις (σχ.4γ).

ΠΟΡΙΣΜΑΤΑ
i) Το μέτρο μίας εγγεγραμμένης γωνίας ισούται με το μισό του μέτρου του αντίστοιχου τόξου της.
ii) Κάθε εγγεγραμμένη γωνία που βαίνει σε ημικύκλιο είναι ορθή.
iii) Οι εγγεγραμμένες γωνίες που βαίνουν στο ίδιο ή σε ίσα τόξα του ίδιου ή ίσων κύκλων είναι ίσες και αντίστροφα.

Μικροπείραμα πείραμα

6.3   Γωνία χορδής και εφαπτομένης

Η σχέση μίας γωνίας χορδής και εφαπτομένης με την εγγεγραμμένη γωνία που βαίνει στο τόξο της χορδής δίνεται από το ακόλουθο θεώρημα:

ΘΕΩΡΗΜΑ
Η γωνία που σχηματίζεται από μία χορδή κύκλου και την εφαπτομένη στο άκρο της χορδής ισούται με την εγγεγραμμένη που βαίνει στο τόξο της χορδής.

Μικροπείραμα πείραμα


ΑΠΟΔΕΙΞΗ

Έστω ότι η γωνία χορδής και εφαπτομένης xAy είναι οξεία (σχ. 6) και ΑΓΒ μια τυχαία εγγεγραμμένη γωνία που βαίνει στο τόξο της χορδής ΑΒ.

Γνωρίζουμε ΑΓΒ = ΑΟΒ2 .

Φέρουμε το απόστημα ΟΜ, οπότε ΑÔΜ = ΜÔΒ = ΑΟΒ2= ΑΓΒ. Αλλά xAy = ΑÔΜ ως οξείες γωνίες με κάθετες πλευρές. Επομένως xAy= ΑΓΒ.
Αν η γωνία χορδής και εφαπτομένης είναι αμβλεία, η απόδειξη είναι ανάλογη.

Ε Υ Κ Λ Ε Ι Δ Ε Ι Α    Γ Ε Ω Μ Ε Τ Ρ Ι Α

ΕΦΑΡΜΟΓΗ 1η

Μία γωνία που η κορυφή της ανήκει στο εσωτερικό ή στο εξωτερικό κύκλου και οι πλευρές της είναι τέμνουσες του κύκλου λέγεται γωνία δύο τεμνουσών και εκφράζεται ως συνάρτηση των εγγεγραμμένων γωνιών, που σχηματίζουν οι πλευρές της με τον κύκλο.

(i) Ας θεωρήσουμε γωνία xAy, όπου η κορυφή της Α είναι εσωτερικό σημείο του κύκλου (σχ.7). Οι πλευρές της Ax, Ay και οι προεκτάσεις τους τέμνουν τον κύκλο στα σημεία Β11 και Β2, Γ2 αντίστοιχα. Τότε, ισχύει ότι η γωνία xAy ισούται με το άθροισμα των εγγεγραμμένων γωνιών που βαίνουν στα τόξα που περιέχει η xAy και η κατακορυφήν της, δηλαδή:

xAy = ΑB1Γ2 + Β1Γ2Α.

(ii) Ας θεωρήσουμε γωνία xAy όπου η κορυφή της Α είναι εξωτερικό σημείο του κύκλου (σχ.8). Οι πλευρές της Ax, Ay τέμνουν τον κύκλο στα σημεία Β12 και Γ12 αντίστοιχα. Τότε ισχύει ότι η γωνία xAy ισούται με τη διαφορά των εγγεγραμμένων γωνιών, που βαίνουν στα τόξα του κύκλου που περιέχει η xAy, δηλαδή

xAy = Β2Β1Γ2 - Β1Γ2Γ1, όπου Β2Β1Γ2 > Β1Γ2Γ1.

Απόδειξη

(i) Η xAy είναι εξωτερική του τριγώνου Β1ΑΓ2, επομένως ισούται με το άθροισμα των δύο απέναντι εσωτερικών, δηλαδή xAy = ΑΒ1Γ2 + Β1Γ2Α.

ΣΧΟΛΙΟ

xAy = Β1Γ12 + Β2Γ22
Σχήμα 7
Σχήμα 7

(ii) Η γωνία Β2Β1Γ2 είναι εξωτερική του τριγώνου Β1ΑΓ2, επομένως

Β2Β1Γ2 = xAy + ΑΓ2Β1 ή xAy = Β2Β1Γ2 - Β1Γ2Γ1.

ΣΧΟΛΙΟ

xAy = Β2Γ22 - Β1Γ12 .
Σχήμα 8
Σχήμα 8

Μικροπείραμα πείραμα       Μικροπείραμα πείραμα

Κ Ε Φ Α Λ Α Ι Ο    6 .    Ε Γ Γ Ε Γ Ρ Α Μ Μ Ε Ν Α    Σ Χ Η Μ Α Τ Α

ΕΦΑΡΜΟΓΗ 2η

Θεωρούμε δύο τεμνόμενους κύκλους και φέρουμε τις εφαπτόμενές τους σε καθένα από τα κοινά σημεία τους.
(i) Να αποδειχθεί ότι οι εφαπτόμενες των δύο κύκλων σε καθένα από τα κοινά σημεία τους σχηματίζουν ίσες γωνίες. Καθεμία από τις γωνίες αυτές λέγεται γωνία των δύο κύκλων.
(ii) Αν η γωνία των δύο κύκλων είναι ορθή, λέμε ότι οι κύκλοι τέμνονται ορθογώνια ή ότι είναι ορθογώνιοι. Να αποδειχθεί ότι, αν οι δύο κύκλοι είναι ορθογώνιοι, οι εφαπτόμενες του ενός κύκλου στα κοινά σημεία τους διέρχονται από το κέντρο του άλλου κύκλου.

Απόδειξη

(i) Ας θεωρήσουμε δύο τεμνόμενους κύκλους με κέντρα Ο1 και Ο2 και Α,Β τα σημεία τομής τους. Από την ισότητα των τριγώνων Ο1ΑΟ2 και Ο1ΒΟ2 θα έχουμε ότι
Ο1AΟ2 = Ο1ΒΟ2 = ω (σχ.9α). Ας φέρουμε τώρα τις εφαπτόμενες των δύο κύκλων στο σημείο Α και στο σημείο Β. Οι εφαπτόμενες στο Α σχηματίζουν γωνία x'Ax = 2∟- ω (γιατί Ο1Ax = Ο2Ax' = 1∟) και όμοια οι εφαπτόμενες στο Β σχηματίζουν γωνία y'By = 2∟- ω. Επομένως, x'Ax = y'By.

Σχήμα 9
Σχήμα 9
(ii) Αν δύο κύκλοι τέμνονται ορθογώνια, δηλαδή αν φ = 1∟ (σχ.9β), έχουμε ότι Ο1AΟ2 + Ο1Ax =2∟, οπότε οι ημιευθείες Αx και ΑΟ2 είναι αντικείμενες.



Σχήμα 10
Σχήμα 10

6.4   Βασικοί γεωμετρικοί τόποι στον κύκλο

Τόξο κύκλου που δέχεται γνωστή γωνία

Έστω ένα ευθύγραμμο τμήμα ΑΒ και ένα σημείο Μ που δεν ανήκει στην ευθεία ΑΒ (σχ.10). Αν φ είναι η γωνία ΑΜΒ τότε λέμε ότι το σημείο Μ βλέπει το τμήμα ΑΒ υπό γωνία φ ή ισοδύναμα το ΑΒ φαίνεται από το σημείο Μ υπό γωνία φ. Αν τ είναι ένα τόξο κύκλου που έχει χορδή την ΑΒ και διέρχεται από το Μ, τότε λέμε ότι το τόξο τ δέχεται γωνία φ.
Θα δούμε τώρα πως κατασκευάζεται ένα τόξο που να δέχεται γωνία φ.

Ε Υ Κ Λ Ε Ι Δ Ε Ι Α    Γ Ε Ω Μ Ε Τ Ρ Ι Α

ΠΡΟΒΛΗΜΑ

Δίνεται ένα τμήμα ΑΒ και μία γωνία φ. Να κατασκευασθεί τόξο κύκλου που να έχει χορδή το ΑΒ και να δέχεται γωνία φ.

• Έστω φ

Ανάλυση

Αν το ευθύγραμμο τμήμα ΑΒ φαίνεται από ένα σημείο Μ υπό γωνία φ, δηλαδή ΑΜΒ = φ, τότε αρκεί να προσδιορίσουμε το κέντρο και την ακτίνα του περιγεγραμμένου κύκλου του τριγώνου ΑΜΒ (βλ. Πόρισμα (iii), § 6.2).
Έστω ΑΒ ένα τόξο κύκλου, κέντρου Ο, με χορδή την ΑΒ τέτοιο, ώστε για κάθε σημείο του Μ διαφορετικό των Α,Β να ισχύει ΑΜΒ = φ (σχ.11). Αν φέρουμε την ημιευθεία Bx εφαπτόμενη του κύκλου στο Β θα έχουμε ΑΒx = ΑΜΒ = φ (γωνία χορδής και εφαπτομένης) και επομένως η Bx είναι μία σταθερή, ανεξάρτητη του Μ, ημιευθεία. Επειδή OB ⊥ Bx, το κέντρο Ο θα βρίσκεται στη σταθερή ευθεία ζ που είναι κάθετη στη Bx στο Β. Αλλά το Ο βρίσκεται επίσης και στη μεσοκάθετο ε του ΑΒ, άρα είναι η τομή των ε και ζ.

Σχήμα 11
Σχήμα 11

Σύνθεση

Θεωρούμε το δοσμένο τμήμα ΑΒ και φέρουμε ημιευθεία Bx έτσι, ώστε ΑΒx = φ. Στη συνέχεια φέρουμε ευθεία ζ κάθετη της Bx στο Β, που τέμνει τη μεσοκάθετο ε του ΑΒ στο Ο. Γράφουμε τον κύκλο (Ο,ΟΑ) και το τόξο ΑΤΒ (σχ.11) (χωρίς τα άκρα του) είναι το ζητούμενο.

Απόδειξη

Για κάθε σημείο Μ του τόξου ΑΤΒ έχουμε ΑΜΒ = AΒx = φ, αφού η AΒx είναι γωνία χορδής και εφαπτομένης και η ΑΜΒ εγγεγραμμένη που βαίνει στο τόξο της χορδής, ενώ για κάθε σημείο Ν του τόξου ΑΣΒ έχουμε

ΑΝΒ = AΒx' = 2∟ - ΑΒx = 2∟ - φ,

όπου Bx' η αντικείμενη ημιευθεία της Bx.

Διερεύνηση

Για να υπάρχει λύση πρέπει η ευθεία ζ να τέμνει την ε, το οποίο συμβαίνει πάντοτε, αφού AΒx = φ ≠ 0.
• Έστω φ>1∟
Τότε με τον ίδιο, όπως παραπάνω, τρόπο κατασκευάζουμε τον κύκλο κέντρου Ο και το τόξο ΑΓΒ (σχ.12) που είναι το ζητούμενο (χωρίς τα άκρα του).
• Έστω φ = 1 ∟ Τότε το σημείο τομής των ευθειών ε, ζ είναι το μέσο Ο του ΑΒ (σχ.13). Επομένως, το ζητούμενο τόξο είναι καθένα από τα ημικύκλια διαμέτρου ΑΒ, χωρίς τα άκρα τους Α και Β.

Σχήμα 12
Σχήμα 12
Σχήμα 13
Σχήμα 13
Κ Ε Φ Α Λ Α Ι Ο    6 .    Ε Γ Γ Ε Γ Ρ Α Μ Μ Ε Ν Α    Σ Χ Η Μ Α Τ Α
Σχήμα 14
Σχήμα 14
Σχήμα 15
Σχήμα 15
ΠΑΡΑΤΗΡΗΣΗ
Έστω τόξο ΑΒ που δέχεται γωνία φ και Π1 το ημεπίπεδο στο
οποίο περιέχεται(σχ.14). Για κάθε σημείο Μ του ΑΒ έχουμε
ΑΜΒ = φ, ενώ για κάθε σημείο I του τμήματος ΑΜ ή σημείο
Ε της προέκτασης του ΑΜ έχουμε αντίστοιχα ΑΙΒ > φ και
ΑΕΒ 1 από τα οποία το ΑΒ
φαίνεται υπό γωνία φ είναι τα σημεία του ΑΒ εκτός από τα
άκρα του. Όμοια αποδεικνύεται ότι τα μοναδικά σημεία
του Π2 που βλέπουν το ΑΒ υπό γωνία φ είναι τα σημεία
του τόξου ΑΝΒ συμμετρικού του ΑΒ ως προς την ευθεία ΑΒ
(σχ. 15).

 

 

 

Από τα παραπάνω συμπεραίνουμε ότι:

Ο γεωμετρικός τόπος των σημείων του επιπέδου από τα οποία ένα τμήμα ΑΒ φαίνεται υπό γωνία φ είναι δύο τόξα κύκλων, χορδής ΑΒ, χωρίς τα άκρα τους Α,Β, συμμετρικά ως προς την ευθεία ΑΒ, καθένα από τα οποία δέχεται γωνία φ.

Άμεση συνέπεια του προηγουμένου είναι ότι:

Ο γεωμετρικός τόπος των σημείων του επιπέδου από τα οποία ένα τμήμα ΑΒ φαίνεται υπό ορθή γωνία είναι κύκλος με διάμετρο ΑΒ, χωρίς τα σημεία Α και Β.

ΣΧΟΛΙΟ
Στη λύση του παραπάνω προβλήματος, εκτός από τα γνωστά μας
βήματα: κατασκευή, απόδειξη, διερεύνηση αναφέραμε πριν από
αυτά και το βήμα της ανάλυσης. Το βήμα αυτό το κάνουμε
όταν η κατασκευή του ζητούμενου σχήματος δεν είναι
άμεσα φανερή και περιλαμβάνει τα εξής: Υποθέτουμε ότι
κατασκευάσαμε το ζητούμενο σχήμα και προσπαθούμε να
εντοπίσουμε εκείνες τις ιδιότητές του που ανάγουν την κατασκευή
του σε γεωμετρικές κατασκευές που μας είναι ήδη γνωστές. Στη
σύνθεση ή αλλιώς κατασκευή έχοντας οδηγό την ανάλυση κάνουμε
όλες εκείνες τις επιμέρους γεωμετρικές κατασκευές που τελικά
θα μας οδηγήσουν στην κατασκευή του ζητούμενου σχήματος. Τα
παραπάνω βήματα ακολουθούν, όπως είναι γνωστό, το βήμα της
απόδειξης και το βήμα της διερεύνησης (§3.17).
Η μέθοδος αυτή των τεσσάρων βημάτων: ανάλυση, σύνθεση,
απόδειξη και διερεύνηση είναι γνωστή ως αναλυτική -
συνθετική
μέθοδος και χρησιμοποιείται σε προβλήματα
γεωμετρικών κατασκευών και σε άλλες περιοχές των
Μαθηματικών.
Ε Υ Κ Λ Ε Ι Δ Ε Ι Α    Γ Ε Ω Μ Ε Τ Ρ Ι Α

ΑΣΚΗΣΕΙΣ ΓΙΑ ΛΥΣΗ

Ερωτήσεις Κατανόησης

1. Πότε μια γωνία λέγεται εγγεγραμμένη;
2. Αν φ και ω είναι αντίστοιχα η εγγεγραμμένη και η επίκεντρη γωνία που βαίνουν στο ίδιο τόξο ενός κύκλου, τότε:
α. φ = ω, β. φ = 2ω, γ. ω = 2φ, δ. φ = 90°+ω,
ε. Τίποτα από τα προηγούμενα.
Κυκλώστε το γράμμα της σωστής απάντησης και αιτιολογήστε την απάντησή σας.

3. Συμπληρώστε το κενό στην επόμενη πρόταση:
"Η γωνία χορδής και εφαπτομένης ισούται με ………………………………….
4. Ποιος είναι ο γεωμετρικός τόπος των σημείων του επιπέδου τα οποία βλέπουν ένα γνωστό τμήμα υπό γωνία φ

Ασκήσεις Εμπέδωσης

1. Σε καθένα από τα παρακάτω σχήματα να βρείτε τα x και y.

Εικόνα

2. Αν στο παρακάτω σχήμα είναι A = 40°, να βρείτε το μέτρο του τόξου ΒΕ.

Εικόνα

3. Αν στα παρακάτω σχήματα οι ευθείες ε και ε' είναι εφαπτόμενες να βρεθούν τα x και y.

 Εικόνα

4. Αν στο παρακάτω σχήμα είναι A = 25°, να βρείτε τα μέτρα των τόξων ΕΒ και ΓΔ.

Εικόνα

Μικροπείραμα πείραμα

5. Αν στο παρακάτω σχήμα είναι ΜΒ = ΜΓ και A = 70°, να υπολογίσετε τις γωνίες των τριγώνων ΟΒΓ και ΜΒΓ.

Εικόνα

Μικροπείραμα πείραμα

6. Στο παρακάτω σχήμα, ποια σχέση είναι σωστή;
i) x - y + z = 0,
ii) x - 2y + z = 0,
iii) x - y + z = 0,


Κ Ε Φ Α Λ Α Ι Ο    6 .    Ε Γ Γ Ε Γ Ρ Α Μ Μ Ε Ν Α    Σ Χ Η Μ Α Τ Α

iv) x + y = 2z,
v) καμία από τις παραπάνω.
Να δικαιολογήσετε την απάντησή σας.

Εικόνα

7. Το καλύτερο κάθισμα σε έναν κινηματογράφο είναι το κάθισμα "Α". Να βρείτε ποια άλλα καθίσματα έχουν την ίδια οπτική γωνία με το θεατή που κάθεται στο κάθισμα Α Εικόνα

Αποδεικτικές Ασκήσεις

1. Να αποδείξετε ότι η εφαπτομένη στο μέσο ενός από τα τόξα με χορδή ΑΒ κύκλου (Κ) είναι παράλληλη στη χορδή ΑΒ και αντίστροφα.
2. Δύο κύκλοι τέμνονται στα σημεία Α και Β. Αν Γ και Δ είναι τα αντιδιαμετρικά σημεία του Α στους δύο κύκλους, να αποδείξετε ότι η ευθεία ΓΔ διέρχεται από το Β.
3. Δύο κάθετες χορδές ΑΒ, ΓΔ κύκλου (Κ) τέμνονται στο σημείο Ρ. Να αποδείξετε ότι η διάμεσος ΡΜ του τριγώνου ΡΒΓ είναι κάθετη στην ΑΔ.
4. Ο καπετάνιος ενός ιστιοπλοϊκού πλοίου I είδε τρεις

σημαδούρες για υφάλους στα σημεία Α, Β, Γ. Με μία πυξίδα διόπτευσης μέτρησε ότι

ΑIΒ = 100°, ΒIΓ = 125°, ΓIΑ = 135°.
Εικόνα

Εντόπισε τα σημεία Α, Β, Γ στο χάρτη και προσδιόρισε την ακριβή θέση του ιστιοπλοϊκού. Πώς τα κατάφερε;

Σύνθετα Θέματα

1. Δύο κύκλοι εφάπτονται εξωτερικά (ή εσωτερικά) στο σημείο Α και δύο ευθείες ε, ε' που διέρχονται από το Α τέμνουν τον ένα κύκλο στα σημεία Β, Β' και τον άλλο στα Γ και Γ' αντίστοιχα. Να αποδείξετε ότι ΒΒ'//ΓΓ'.
2. Δύο κύκλοι εφάπτονται εσωτερικά στο Α. Μία χορδή ΒΓ του μεγαλύτερου κύκλου εφάπτεται στο μικρότερο, στο σημείο Δ. Να αποδείξετε ότι η ΑΔ διχοτομεί τη γωνία ΒAΓ.
3. Δίνεται κύκλος (Κ), η εφαπτομένη ε σε ένα σημείο του Α και ένα σημείο Ρ της ε. Από το Ρ φέρουμε μία ευθεία που τέμνει τον κύκλο στα Β και Γ. Αν η διχοτόμος της γωνίας ΒAΓ τέμνει τη χορδή ΒΓ στο Δ, να αποδείξετε ότι ΡΔ = ΡΑ.

 

Εγγεγραμένα και εγγράψιμα

τετράπλευρα

6.5   Το εγγεγραμένο τετράπλευρο

Ορισμός
Ένα τετράπλευρο λέγεται εγγεγραμμένο σε κύκλο, αν οι κορυφές του είναι σημεία του κύκλου.

Ο κύκλος στον οποίο είναι εγγεγραμμένο ένα τετράπλευρο λέγεται περιγεγραμμένος κύκλος του τετραπλεύρου.

Μικροπείραμα πείραμα    Μικροπείραμα πείραμα

ΘΕΩΡΗΜΑ
Ένα τετράπλευρο ΑΒΓΔ που είναι εγγεγραμμένο σε κύκλο (Ο, R) έχει τις ακόλουθες ιδιότητες:
i) Οι απέναντι γωνίες του είναι παραπληρωματικές.
ii) Κάθε πλευρά του φαίνεται από τις απέναντι κορυφές υπό ίσες γωνίες.
Ε Υ Κ Λ Ε Ι Δ Ε Ι Α    Γ Ε Ω Μ Ε Τ Ρ Ι Α

ΑΠΟΔΕΙΞΗ

(i) H γωνία A βαίνει στο τόξο ΒΓΔ, ενώ η Γ στο ΒΑΔ, με ΒΓΔ + ΒΑΔ = 4∟ (σχ.16). Επομένως A + Γ = 2∟.
(ii) Δύο οποιεσδήποτε διαδοχικές κορυφές του τετραπλεύρου ΑΒΓΔ (π.χ. οι Α, Β) είναι και κορυφές δύο ίσων εγγεγραμμένων γωνιών (ΔAΓ και ΔΒΓ), που βαίνουν στο ίδιο τόξο που ορίζει η απέναντι πλευρά ΓΔ (σχ.17).

ΠΟΡΙΣΜΑ
Κάθε εξωτερική γωνία ενός εγγεγραμμένου τετραπλεύρου ισούται με την απέναντι εσωτερική γωνία του.

6.6   Το εγγράψιμο τετράπλευρο

Ορισμός
Ένα τετράπλευρο λέγεται εγγράψιμο όταν μπορεί να γραφεί κύκλος που να διέρχεται και από τις τέσσερις κορυφές του.

Η μελέτη των εγγράψιμων τετραπλεύρων προέκυψε από το ερώτημα αν τέσσερα σημεία του επιπέδου (ανά τρία μη συνευθειακά) είναι ή όχι ομοκυκλικά.
Γνωρίζουμε βέβαια ότι τρία σημεία του επιπέδου μη συνευθειακά ανήκουν στον ίδιο κύκλο, αυτό όμως δε συμβαίνει απαραίτητα και για τέσσερα σημεία, π.χ. οι κορυφές ενός τυχαίου παραλληλογράμμου, το οποίο δεν είναι ορθογώνιο, δεν είναι δυνατόν να ανήκουν στον ίδιο κύκλο, αφού οι απέναντι γωνίες του είναι ίσες και αν δεν είναι και οι δύο ορθές δεν θα είναι παραπληρωματικές. Απομένει λοιπόν να καθορίσουμε κάτω από ποιες συνθήκες είναι τέσσερα σημεία ομοκυκλικά ή, ισοδύναμα, κάτω από ποιες προϋποθέσεις (κριτήρια) ένα τετράπλευρο είναι εγγράψιμο σε κύκλο.

ΘΕΩΡΗΜΑ
Ένα τετράπλευρο ΑΒΓΔ είναι εγγράψιμο σε κύκλο, αν ισχύει μία από τις ακόλουθες προτάσεις:
i) Δύο απέναντι γωνίες του είναι παραπληρωματικές.
ii) Μία πλευρά του φαίνεται από τις απέναντι κορυφές υπό ίσες γωνίες.
iii) Μία εξωτερική του γωνία ισούται με την απέναντι εσωτερική γωνία του τετραπλεύρου.
Σχήμα 16
Σχήμα 16
Σχήμα 17
Σχήμα 17
Σχήμα 18
Σχήμα 18

 

 

 

 

 

 

 

 

 

 

 

 

 

Μικροπείραμα πείραμα

 


 
Κ Ε Φ Α Λ Α Ι Ο    6 .    Ε Γ Γ Ε Γ Ρ Α Μ Μ Ε Ν Α    Σ Χ Η Μ Α Τ Α
Σχήμα 19
Σχήμα 19
Σχήμα 20
Σχήμα 20
Σχήμα 21
Σχήμα 21

ΑΠΟΔΕΙΞΗ

(i) Έστω A + Γ = 2∟. Φέρουμε τον κύκλο που ορίζουν τα σημεία Α, Β, Δ και τη χορδή του ΒΔ. Τα σημεία Α, Γ βρίσκονται εκατέρωθεν της ΒΔ, οπότε κάθε εγγεγραμμένη γωνία στο τόξο ΒΑΔ ισούται με τη Γ, ενώ κάθε εγγεγραμμένη γωνία που βαίνει στο ΒΕΔ (σχ.19) ισούται με την παραπληρωματική της, δηλαδή την A. Επομένως το Γ είναι σημείο του ΒΕΔ και ομοκυκλικό με τα Α, Β, Δ.

(ii) Έστω τετράπλευρο ΑΒΓΔ τέτοιο ώστε

ΔAΓ = ΔΒΓ = φ.

Τότε τα Α,Β ανήκουν στον γεωμετρικό τόπο των σημείων του επιπέδου από τα οποία το τμήμα ΓΔ φαίνεται υπό ορισμένη γωνία φ. Ο γεωμετρικός αυτός τόπος είναι (βλ. § 6.4) δύο συμμετρικά τόξα ως προς το ΓΔ. Τα Α,Β όμως βρίσκονται στο ίδιο μέρος της ΓΔ, συνεπώς ανήκουν στο ίδιο τόξο, επομένως τα σημεία Α, Β, Γ, Δ είναι ομοκυκλικά.

(iii) Έστω ότι xΓΒ = A (σχ. 21), τότε A + Γ = 2∟, επομένως το τετράπλευρο είναι εγγράψιμο γιατί έχει δύο απέναντι γωνίες του παραπληρωματικές, λόγω του κριτηρίου (i).

ΕΦΑΡΜΟΓΗ 1η

ΠΕΡΙΓΕΓΡΑΜΜΕΝΟ ΚΑΙ ΠΕΡΙΓΡΑΨΙΜΟ ΤΕΤΡΑΠΛΕΥΡΟ ΣΕ ΚΥΚΛΟ

Ένα τετράπλευρο, του οποίου οι πλευρές εφάπτονται στον ίδιο κύκλο, λέγεται περιγεγραμμένο στον κύκλο αυτό, ενώ ο κύκλος λέγεται εγγεγραμμένος στο τετράπλευρο αυτό.
(Α) Να αποδειχθούν οι ιδιότητες ενός περιγεγραμμένου τετραπλεύρου ΑΒΓΔ:
     (i) Οι διχοτόμοι των γωνιών του διέρχονται από το ίδιο σημείο, το οποίο είναι το κέντρο του εγγεγραμμένου κύκλου.
     (ii) Τα αθροίσματα των απέναντι πλευρών του είναι ίσα.
(Β) Να αποδείξετε ότι για να είναι ένα τετράπλευρο περιγράψιμο σε κύκλο αρκεί να ισχύει μία από τις ακόλουθες προτάσεις:
      (i) Οι διχοτόμοι των γωνιών του διέρχονται από το ίδιο σημείο.
      (ii) Τα αθροίσματα των απέναντι πλευρών του είναι ίσα.

Απόδειξη

(Α) Απλή (βλ. σχ.22).

Σχήμα 22


Ε Υ Κ Λ Ε Ι Δ Ε Ι Α    Γ Ε Ω Μ Ε Τ Ρ Ι Α

(Β) (i) Από το σημείο τομής Ο των διχοτόμων φέρουμε τις κάθετες ΟΕ, ΟΖ, ΟΗ, ΟΘ στις πλευρές του τετραπλεύρου ΑΒ, ΒΓ, ΓΔ, ΔΑ αντίστοιχα (σχ. 23). Το Ο ως σημείο της διχοτόμου της γωνίας Α ισαπέχει από τις πλευρές της ΑΒ, ΑΔ, συνεπώς ΟΕ=ΟΘ. Ανάλογα έχουμε ότι ΟΕ=ΟΖ=ΟΗ, οπότε τα σημεία Ε, Ζ, Η, Θ ανήκουν σε κύκλο (Ο,ΟΕ) και το τετράπλευρο ΑΒΓΔ είναι περιγράψιμο.

(ii) Έστω ότι ΑΒ+ΓΔ = ΑΔ+ΒΓ (1). Θεωρούμε τις διχοτόμους των γωνιών Γ, Δ, οι οποίες τέμνονται στο σημείο Ο και από το Ο φέρουμε τις κάθετες στις πλευρές των γωνιών αυτών, ΟΘ ⊥ ΑΔ, ΟΗ ⊥ ΓΔ και ΟΖ ⊥ ΒΓ (σχ.24). Τότε ΟΘ = ΟΗ = ΟΖ και ο κύκλος (Ο,ΟΘ) εφάπτεται στις τρεις πλευρές του ΑΒΓΔ. Έστω ότι δεν εφάπτεται στην ΑΒ. Φέρουμε την εφαπτομένη από το Α στον κύκλο (Ο,ΟΘ) η οποία τέμνει την ευθεία ΒΓ σε σημείο Β'. Το τετράπλευρο ΑΒ'ΓΔ είναι περιγεγραμμένο, οπότε

ΑΒ' + ΓΔ = ΑΔ + Β'Γ (2).

Αφαιρώντας κατά μέλη τις σχέσεις (1) και (2) έχουμε ότι:

ΑΒ - ΑΒ' = ΒΓ - Β'Γ ή ΑΒ = ΑΒ' + ΒΒ',

το οποίο είναι άτοπο, επομένως ο κύκλος εφάπτεται και στην πλευρά ΑΒ.

 

Σχήμα 23
Σχήμα 23

 

Σχήμα 24
Σχήμα 24

ΕΦΑΡΜΟΓΗ 2η

Να αποδειχθεί ότι κάθε ισοσκελές τραπέζιο είναι εγγράψιμο.

Απόδειξη

Αν το ΑΒΓΔ (σχ.25) είναι ισοσκελές τραπέζιο θα είναι A = Β, Γ = Δ και A + Δ = Β + Γ = 2∟ . Επομένως θα είναι και A + Γ = 2∟ , οπότε είναι εγγράψιμο.

Σχήμα 25

Σχήμα 25

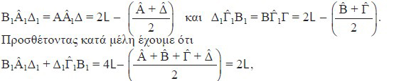
ΕΦΑΡΜΟΓΗ 3η

Να αποδειχθεί ότι οι διχοτόμοι των γωνιών ενός τετραπλεύρου σχηματίζουν εγγράψιμο τετράπλευρο.

Λύση

Έστω τετράπλευρο ΑΒΓΔ και Α1Β1Γ1Δ1 το τετράπλευρο που σχηματίζουν οι διχοτόμοι των γωνιών του (σχ. 26). Τότε έχουμε ότι

Σχήμα 26

Σχήμα 26
Εικόνα
επομένως το τετράπλευρο ΑΒΓΔ είναι εγγράψιμο.
Κ Ε Φ Α Λ Α Ι Ο    6 .    Ε Γ Γ Ε Γ Ρ Α Μ Μ Ε Ν Α    Σ Χ Η Μ Α Τ Α

ΑΣΚΗΣΕΙΣ ΓΙΑ ΛΥΣΗ

Ερωτήσεις Κατανόησης

1. Σε ένα εγγεγραμμένο τετράπλευρο:
i) Τα αθροίσματα των απέναντι γωνιών είναι ίσα.      Σ     Λ
ii) Κάθε πλευρά φαίνεται από τις απέναντι κορυφές υπό ίσες γωνίες.      Σ     Λ
Χαρακτηρίστε ως σωστή (Σ) ή λάθος (Λ) καθεμία από τις προηγούμενες προτάσεις και αιτιολογήστε την απάντησή σας.

2. Αν ΑΒΓΔ εγγεγραμμένο σε κύκλο τετράπλευρο τότε:
α. A + Γεξ = 2∟           β. A = Γ           γ. A = Δεξ
δ. A = Γεξ                    ε. Β = Δ
Κυκλώστε το γράμμα της σωστής απάντησης και αιτιολογήστε την απάντησή σας.

3. Από τέσσερα μη συνευθειακά σημεία διέρχεται πάντοτε ένας κύκλος;
4. i) Πότε ένα τετράπλευρο λέγεται εγγράψιμο;
ii) Αν οι μεσοκάθετοι των πλευρών ενός τετραπλεύρου διέρχονται από το ίδιο σημείο, τότε το τετράπλευρο είναι εγγράψιμο; Δικαιολογήστε την απάντησή σας.

5. Ποια είναι τα κριτήρια για να είναι ένα τετράπλευρο εγγράψιμο;
6. Ποια από τα τετράπλευρα: παραλληλόγραμμο, ορθογώνιο, ρόμβος, τετράγωνο και τραπέζιο είναι εγγράψιμα;

Μικροπείραμα πείραμα

Αποδεικτικές Ασκήσεις

1. Σε ένα εγγράψιμο τετράπλευρο ΑΒΓΔ είναι A = 120° και Βεξ = 80°. Να βρείτε τις γωνίες B, Γ και Δ του τετραπλεύρου.

Μικροπείραμα πείραμα

2. Αν ένας ρόμβος είναι εγγεγραμμένος σε κύκλο, να αποδείξετε ότι είναι τετράγωνο.
3. Να αποδείξετε ότι κάθε εγγεγραμμένο παραλληλόγραμμο είναι ορθογώνιο.
4. Να αποδείξετε ότι κάθε περιγεγραμμένο παραλληλόγραμμο είναι ρόμβος, του οποίου οι διαγώνιοι τέμνονται στο κέντρο του εγγεγραμμένου κύκλου.

Αποδεικτικές Ασκήσεις

1. Δύο κύκλοι τέμνονται στα σημεία Α και Β. Από τα Α και Β φέρουμε ευθείες που τέμνουν τον ένα κύκλο στα Γ και Γ' και τον άλλο στα Δ και Δ' αντίστοιχα. Να αποδείξετε ότι ΓΓ'//ΔΔ'.
2. Ένας κύκλος (Κ) διέρχεται από τις κορυφές Β και Γ τριγώνου ΑΒΓ και τέμνει τις πλευρές ΑΒ, ΑΓ στα σημεία Δ, Ε αντίστοιχα. Να αποδείξετε ότι η ΔΕ είναι παράλληλη προς την εφαπτομένη ε του περιγεγραμμένου κύκλου στο Α.
3. Να αποδείξετε ότι τα ύψη ΑΔ, ΒΕ, ΓΖ ενός τριγώνου ΑΒΓ διχοτομούν τις γωνίες του τριγώνου ΔΕΖ.
4. Να αποδείξετε ότι οι εφαπτόμενες στα άκρα δύο κάθετων χορδών κύκλου σχηματίζουν εγγράψιμο τετράπλευρο.

Σύνθετα Θέματα

1. Δίνεται τρίγωνο ΑΒΓ και ο περιγεγραμμένος κύκλος του (Ο,R). Αν ΒΔ και ΓΕ είναι ύψη του τριγώνου ΑΒΓ να αποδείξετε ότι ΟΑ ⊥ ΔΕ (Θεώρημα Nagel).

Μικροπείραμα πείραμα

2. Δίνεται μία χορδή ΒΓ ενός κύκλου (O,R) και οι εφαπτόμενες ε1 και ε2 στα άκρα της. Από ένα τυχαίο σημείο Μ της ΒΓ φέρουμε κάθετη στην ΟΜ, που τέμνει τις ε1 και ε2 στα σημεία Δ και Ε αντίστοιχα. Να αποδείξετε ότι ΔΜ = ΜΕ.
3. Να αποδείξετε ότι οι προβολές κάθε σημείου του περιγεγραμμένου κύκλου τριγώνου πάνω στις πλευρές του είναι σημεία συνευθειακά (ευθεία Simson).

Μικροπείραμα πείραμα


4. Δίνεται τρίγωνο ΑΒΓ και η διχοτόμος του ΑΔ. Αν οι περιγεγραμμένοι κύκλοι των τριγώνων ΑΔΒ και ΑΔΓ τέμνουν τις πλευρές ΑΓ και ΑΒ στα σημεία Ε και Ζ αντίστοιχα, να αποδείξετε ότι ΓΕ = ΒΖ.

Ε Υ Κ Λ Ε Ι Δ Ε Ι Α    Γ Ε Ω Μ Ε Τ Ρ Ι Α

ΔΡΑΣΤΗΡΙΟΤΗΤΑ
Να εξετασθεί η ύπαρξη κύκλου που διέρχεται από:
i) δύο δοσμένα σημεία,
ii) τρία δοσμένα σημεία,
iii) τέσσερα δοσμένα σημεία, και η μοναδικότητά του σε καθεμία από τις παραπάνω περιπτώσεις.

6.7   Γεωμετρικοί τόποι και γεωμετρικές

κατασκευές με τη βοήθεια

των γεωμετρικών τόπων

Σε προηγούμενα κεφάλαια συναντήσαμε ορισμένους βασικούς γεωμετρικούς τόπους, όπως ο κύκλος, η μεσοκάθετος ενός ευθύγραμμου τμήματος, η διχοτόμος μίας γωνίας, η μεσοπαράλληλος δύο παράλληλων ευθειών και τέλος το τόξο γνωστής χορδής ΑΒ, τα σημεία του οποίου βλέπουν το τμήμα ΑΒ υπό δοσμένη γωνία φ.
Οι γεωμετρικοί αυτοί τόποι μας είναι χρήσιμοι στη λύση προβλημάτων γεωμετρικών κατασκευών. Ας δούμε ένα παράδειγμα.

ΠΡΟΒΛΗΜΑ 1

Να κατασκευασθεί τρίγωνο ΑΒΓ που έχει ΒΓ=α, ύψος ΑΔ=υ και γωνία A = ω, όπου α, υ γνωστά τμήματα και ω γνωστή γωνία.

Λύση

• Ανάλυση

Έστω ΑΒΓ το ζητούμενο τρίγωνο (σχ.27) που έχει ΒΓ = α, ύψος ΑΔ = υ και γωνία A = ω. Επειδή A = ω η κορυφή Α βλέπει γνωστό τμήμα ΒΓ υπό γνωστή γωνία, άρα είναι σημείο του γεωμετρικού τόπου Τ1 που αποτελείται από τα τόξα τ = τ΄, που γράφονται με χορδή τη ΒΓ εκατέρωθεν αυτής και δέχονται το καθένα γωνία ω. Επίσης, αφού το Α απέχει από τη ΒΓ γνωστή απόσταση υ, είναι σημείο του γεωμετρικού τόπου Τ2 που αποτελείται από δύο ευθείες παράλληλες προς τη ΒΓ και εκατέρωθεν αυτής σε απόσταση υ. Άρα η κορυφή Α είναι η τομή των γεωμετρικών τόπων Τ1 και Τ2.

Σχήμα 27
Σχήμα 27
Κ Ε Φ Α Λ Α Ι Ο    6 .    Ε Γ Γ Ε Γ Ρ Α Μ Μ Ε Ν Α    Σ Χ Η Μ Α Τ Α

Σύνθεση. Με χορδή τμήμα ΒΓ = α γράφουμε τα τόξα τ και τ΄ που δέχονται γωνία ω. Στη συνέχεια σε απόσταση ΖΗ = υ από τη ΒΓ και εκατέρωθεν αυτής φέρουμε ευθείες ε, ε'//ΒΓ που τέμνουν τα τόξα τ και τ΄. Αν Α είναι ένα από τα σημεία τομής των Τ1, Τ2, το τρίγωνο ΑΒΓ είναι το ζητούμενο.

Απόδειξη. Το τρίγωνο ΑΒΓ, από την κατασκευή έχει ΒΓ = α, ύψος ΑΔ = υ και γωνία A = ω, αφού το Α είναι σημείο π.χ. του τόξου τ τα σημεία του οποίου βλέπουν το ΒΓ υπό γωνία ω.

Διερεύνηση. Για να υπάρχει λύση πρέπει οι γεωμετρικοί τόποι Τ1 και Τ2 να έχουν κοινά σημεία. Έτσι, αν ΑΔ < ΕΖ η ευθεία ε τέμνει το τόξο τ σε δύο σημεία Α και Α1 και η ε' τέμνει το τ΄ στα Α' και Α'1, οπότε έχουμε τέσσερα τρίγωνα τα οποία είναι ίσα μεταξύ τους (τρεις πλευρές ίσες), οπότε θεωρούμε ότι έχουμε μία λύση. Αν ΑΔ=ΕΖ, η ε έχει ένα κοινό σημείο με το τ, το Ε, οπότε έχουμε ως λύση το ισοσκελές τρίγωνο ΕΒΓ και η ε' έχει ένα κοινό σημείο με το τ΄, το Ε' , οπότε έχουμε ως λύση το ισοσκελές τρίγωνο Ε'ΒΓ. Τα τρίγωνα αυτά όμως είναι ίσα, οπότε έχουμε μία μόνο λύση. Τέλος, αν ΑΔ>ΕΖ δεν υπάρχουν κοινά σημεία των Τ1, Τ2 και το πρόβλημα είναι αδύνατο.

ΣΧΟΛΙΟ
Στο παραπάνω πρόβλημα, για να κατασκευάσουμε το τρίγωνο ΑΒΓ, του οποίου γνωρίζουμε την πλευρά
ΒΓ = α, πρέπει να προσδιορίσουμε ακόμα την κορυφή Α. Η κορυφή αυτή έχει δύο ιδιότητες:
(i) βλέπει το τμήμα ΒΓ υπό γνωστή γωνία ω και
(ii) απέχει από την πλευρά ΒΓ, γνωστή απόσταση υ.
Επομένως το Α είναι η τομή των δύο γεωμετρικών τόπων, τόξου και ευθείας αντίστοιχα.
Γενικά, όταν ένα πρόβλημα είναι ή ανάγεται στον προσδιορισμό ενός σημείου, τότε βρίσκουμε δύο
γεωμετρικούς τόπους Τ1, Τ2 στους οποίους οφείλει, σύμφωνα με τα δεδομένα, να βρίσκεται το σημείο αυτό
και η τομή των Τ1, Τ2 είναι το ζητούμενο σημείο.
Η μέθοδος της χρησιμοποίησης των γεωμετρικώντόπων στη λύση προβλημάτων γεωμετρικών κατασκευών
ανάγεται στον Πλάτωνα.


















ΔΡΑΣΤΗΡΙΟΤΗΤΑ
Να βρεθεί ο γεωμετρικός τόπος των μέσων των χορδών δοσμένου κύκλου που:
i) είναι παράλληλες σε δοσμένη ευθεία ή
ii) ισαπέχουν από το κέντρο του κύκλου ή
iii) συντρέχουν σε ένα σημείο.

Στη συνέχεια δίνουμε ορισμένα ακόμα παραδείγματα γεωμετρικών κατασκευών με τη βοήθεια των γεωμετρικών τόπων.


Ε Υ Κ Λ Ε Ι Δ Ε Ι Α    Γ Ε Ω Μ Ε Τ Ρ Ι Α

ΠΡΟΒΛΗΜΑ 2

Να κατασκευασθεί ορθογώνιο τρίγωνο ΑΒΓ του οποίου δίνονται η υποτείνουσα ΒΓ=α και μία κάθετη πλευρά του ΑΒ = γ, όπου α και γ γνωστά τμήματα.

Απόδειξη

Ανάλυση. Ας υποθέσουμε ότι ΑΒΓ είναι το ζητούμενο τρίγωνο με A = 1∟, ΒΓ = α και ΑΒ = γ (σχ.28). Ας θεωρήσουμε γνωστή την πλευρά ΒΓ. Το σημείο Α:
(i) απέχει απόσταση γ από το Β, άρα ανήκει στον κύκλο (Β,γ), και
(ii) βλέπει το ΒΓ υπό ορθή γωνία, άρα ανήκει στον κύκλο διαμέτρου ΒΓ.

Σχήμα 28

Σχήμα 28

Σύνθεση. Κατασκευάζουμε τους δύο κύκλους (σχ.28) οι οποίοι τέμνονται στα A και Α'. Σχηματίζονται δύο ίσα τρίγωνα ΑΒΓ και Α'ΒΓ που είναι λύσεις του προβλήματος σε διαφορετικές θέσεις.

Απόδειξη. Το τρίγωνο που κατασκευάσαμε έχει A = 1∟, επειδή βαίνει σε ημικύκλιο, και ΑΒ = γ ως ακτίνα του κύκλου (Β,γ).

Διερεύνηση. Για να υπάρχει λύση πρέπει οι δύο κύκλοι να τέμνονται, το οποίο συμβαίνει όταν α > γ. Όταν α ≤ γ, είναι φανερό ότι το πρόβλημα δεν έχει λύση.

ΠΡΟΒΛΗΜΑ 3

Δίνεται κύκλος (Ο,R) και σημείο Σ εκτός αυτού. Να κατασκευασθεί εφαπτομένη του κύκλου η οποία να διέρχεται από το Σ.

Λύση

Ανάλυση. Ας υποθέσουμε ότι ΣΑ είναι μία εφαπτομένη του κύκλου από το Σ, όπου Α το σημείο επαφής (σχ.29). Φέρουμε την ακτίνα ΟΑ, οπότε η γωνία ΟAΣ είναι ορθή και επομένως το Α είναι σημείο του γνωστού κύκλου (Κ) με διάμετρο το γνωστό τμήμα ΟΣ. Άρα το Α είναι κοινό σημείο του (O,R) και του (Κ). Επομένως το Α προσδιορίζεται, οπότε προσδιορίζεται και η ΣΑ.

Σχήμα 29

Σχήμα 29

Σύνθεση. Με διάμετρο ΟΣ γράφουμε κύκλο (Κ), ο οποίος τέμνει τον (O,R) στα σημεία Α και Α'. Φέρουμε τις ευθείες ΣΑ και ΣΑ' οι οποίες είναι οι ζητούμενες εφαπτόμενες.

Απόδειξη. Είναι ΟAΣ = ΟA'Σ = 1∟, ως εγγεγραμμένες στον κύκλο (Κ) οι οποίες βαίνουν σε ημικύκλια. Άρα οι ακτίνες ΟΑ και ΟΑ' είναι κάθετες αντίστοιχα στις ΣΑ και ΣΑ' και επομένως οι ΣΑ και ΣΑ' είναι εφαπτόμενες του κύκλου (O,R).

Διερεύνηση. Το πρόβλημα έχει πάντοτε δύο λύσεις, γιατί οι κύκλοι (Κ) και (O,R) τέμνονται αφού ο (Κ) διέρχεται από το εσωτερικό σημείο Ο και από το εξωτερικό σημείο Σ του (O,R).

Κ Ε Φ Α Λ Α Ι Ο    6 .    Ε Γ Γ Ε Γ Ρ Α Μ Μ Ε Ν Α    Σ Χ Η Μ Α Τ Α

 

 

 

Σχήμα 30
Σχήμα 30

Συμπέρασμα:

Από οποιοδήποτε εξωτερικό σημείο ενός κύκλου φέρονται ακριβώς δύο ευθείες εφαπτόμενες στον κύκλο.

• Κοινή εφαπτομένη δύο κύκλων

Ας θεωρήσουμε δύο κύκλους (K1) και (Κ2). Μία ευθεία που εφάπτεται και στους δύο κύκλους λέγεται κοινή εφαπτομένη τους. Μία κοινή εφαπτομένη δύο κύκλων (σχ.30) χαρακτηρίζεται ως εξωτερική, όπως η ε1, όταν οι κύκλοι είναι προς το ίδιο μέρος της και ως εσωτερική, όπως η ε2, όταν οι κύκλοι βρίσκονται εκατέρωθεν αυτής. Στο επόμενο πρόβλημα δίνουμε την κατασκευή των κοινών εξωτερικών εφαπτομένων δύο κύκλων.

ΠΡΟΒΛΗΜΑ 4

Δίνονται δύο κύκλοι (Ο1,ρ), (Ο2,R) με R>ρ και Ο1Ο2>R - ρ. Να κατασκευάσετε τις κοινές εξωτερικές εφαπτόμενές τους.

Λύση

Ανάλυση. Έστω ΑΒ μία κοινή εξωτερική εφαπτομένη των κύκλων (Ο1,ρ), (Ο2,R), όπου Α, Β τα σημεία επαφής της με τους κύκλους αυτούς αντίστοιχα (σχ.31). Τότε οι ακτίνες Ο1Α, Ο2Β είναι κάθετες στην ΑΒ και επομένως παράλληλες. Από το Ο1 φέρουμε την παράλληλη προς την ΑΒ, που τέμνει την Ο2Β στο Γ, οπότε το τετράπλευρο ΑΒΓΟ1 είναι ορθογώνιο. Έτσι Ο1Γ ⊥ Ο2Γ οπότε ο κύκλος κέντρου Ο2 και ακτίνας Ο2Γ = Ο2Β - ΒΓ = Ο2Β - Ο1Α = R - ρ εφάπτεται στην Ο1Γ στο Γ.

Σχήμα 31

Σχήμα 31

Σύνθεση. Με κέντρο Ο2 και ακτίνα R - ρ γράφουμε κύκλο και από το Ο1 φέρουμε τις εφαπτόμενες του Ο1Γ και Ο1Γ' αντίστοιχα. Φέρουμε τις Ο2Γ, Ο2Γ' που τέμνουν τον κύκλο (Ο2,R) στα Β, Β' και στη συνέχεια φέρουμε τις ακτίνες Ο1Α, Ο1Α' του κύκλου (Ο1,ρ) παράλληλες προς τις Ο2Β, Ο2Β' αντίστοιχα. Τότε οι ευθείες ΑΒ και Α'Β' είναι οι ζητούμενες κοινές εξωτερικές εφαπτόμενες των κύκλων.

Ε Υ Κ Λ Ε Ι Δ Ε Ι Α    Γ Ε Ω Μ Ε Τ Ρ Ι Α

Απόδειξη. Το τετράπλευρο ΑΒΓΟ1 έχει, από την κατασκευή, Ο1Α//ΓΒ και ΓΒ = Ο2Β - Ο2Γ = R - (R -ρ) = Ο1Α, δηλαδή Ο1Α=//ΓΒ, οπότε είναι παραλληλόγραμμο. Επειδή η γωνία του Γ είναι ορθή, αφού η Ο1Γ είναι εφαπτομένη του κύκλου (Ο2, R - ρ) το ΑΒΓΟ1 είναι ορθογώνιο. Άρα οι ακτίνες Ο1Α και Ο2Β είναι κάθετες στην ΑΒ και επομένως η ΑΒ είναι κοινή εφαπτομένη των δύο κύκλων. Η ΑΒ είναι εξωτερική εφαπτομένη αφού οι κύκλοι είναι προς το ίδιο μέρος της. Όμοια αποδεικνύεται ότι και η Α'Β' είναι κοινή εξωτερική εφαπτομένη.

Διερεύνηση. Από την προηγούμενη κατασκευή προκύπτει ότι το πρόβλημα έχει λύση όταν είναι δυνατή η χάραξη των εφαπτομένων Ο1Γ και Ο1Γ' από το Ο1 προς τον κύκλο (Ο2, R - ρ). Αυτό όμως είναι δυνατό όταν το Ο1 είναι εξωτερικό σημείο του κύκλου (Ο2, R - ρ), το οποίο ισχύει αφού από την υπόθεση έχουμε ότι Ο1Ο2> R - ρ.
Επομένως, όταν Ο1Ο2> R - ρ υπάρχουν δύο εξωτερικές κοινές εφαπτόμενες των κύκλων (Ο1,ρ) και (Ο2,R).


ΔΡΑΣΤΗΡΙΟΤΗΤΑ
Δίνονται δύο κύκλοι (Ο1,ρ) και (Ο2,R) με O1Ο2 > R + ρ. Να κατασκευάσετε τις κοινές εσωτερικές εφαπτόμενές τους. Στη συνέχεια να εξετάσετε το πλήθος των κοινών εσωτερικών και εξωτερικών εφαπτομένων δύο κύκλων ανάλογα με τις σχετικές θέσεις τους.

 

 


ΑΣΚΗΣΕΙΣ ΓΙΑ ΛΥΣΗ

Ερωτήσεις Κατανόησης

1. Ποιος είναι ο γεωμετρικός τόπος των σημείων του επιπέδου που
i) έχουν απόσταση ρ από ένα σταθερό σημείο Ο,
ii) ισαπέχουν από δύο σταθερά σημεία Α και Β,
iii) έχουν απόσταση λ από μία ορισμένη ευθεία ε,
iv) ισαπέχουν από τις πλευρές μίας γωνίας,
ν) ισαπέχουν από δύο τεμνόμενες ευθείες,
vi) ισαπέχουν από δύο παράλληλες ευθείες,
vii) βλέπουν ένα δοσμένο τμήμα ΑΒ υπό ορισμένη γωνία ω.

2. Ένα ορθογώνιο τρίγωνο ΑΒΓ κατασκευάζεται όταν δίνονται:
i) δύο κάθετες πλευρές του.          Σ           Λ
ii) μία κάθετη πλευρά του και η υποτείνουσα.    
     Σ      Λ
iii) μία οξεία γωνία του.              Σ          Λ
iv)η υποτείνουσα και μία οξεία γωνία του.    
     Σ          Λ
v) η διάμεσος που αντιστοιχεί στην υποτείνουσα και η υποτείνουσα.                             Σ             Λ
Χαρακτηρίστε ως σωστή (Σ) ή λάθος (Λ) καθεμία από τις προηγούμενες προτάσεις και αιτιολογήστε την απάντησή σας.

Ασκήσεις Εμπέδωσης

1. Ποιος είναι ο γεωμετρικός τόπος των θέσεων:
i) του δρομέα που κινείται σε ένα ευθύγραμμο διάδρομο ισαπέχοντας από τις πλευρές του,


Κ Ε Φ Α Λ Α Ι Ο    6 .    Ε Γ Γ Ε Γ Ρ Α Μ Μ Ε Ν Α    Σ Χ Η Μ Α Τ Α

ii) ενός τεχνητού δορυφόρου της Γης που κινείται σε απόσταση 10km πάνω από αυτή.
2. Να βρείτε το γεωμετρικό τόπο των κέντρων των κύκλων γνωστής ακτίνας:
i) που κυλίονται στο εσωτερικό ενός μεγαλύτερου γνωστού κύκλου,

Μικροπείραμα πείραμα

ii) που διέρχονται από ένα σταθερό σημείο.

Μικροπείραμα πείραμα

3. Το σημείο στο οποίο είναι κρυμμένος ένας θησαυρός απέχει 4m από ένα δέντρο Δ και ισαπέχει από δύο άλλα δέντρα Α και Β. Να βρεθεί η θέση του θησαυρού.
4. Να βρεθεί ο γεωμετρικός τόπος των μέσων των ακτίνων δοσμένου κύκλου.

Αποδεικτικές Ασκήσεις

1. Να βρεθεί ο γεωμετρικός τόπος της κορυφής Α της ορθής γωνίας ορθογώνιου τριγώνου ΑΒΓ που έχει δοσμένη υποτείνουσα.
2. Να βρεθεί ο γεωμετρικός τόπος των προβολών του δοσμένου σημείου Α πάνω στις ευθείες που διέρχονται από δοσμένο σημείο Β.
3. Δίνεται ορθή γωνία xÔy και σημείο Α στο εσωτερικό της. Οι κορυφές Β και Γ ενός ορθογώνιου τριγώνου ΑΒΓ (A = 1∟) κινούνται πάνω στις Oy και Ox αντίστοιχα.

Να βρεθεί ο γεωμετρικός τόπος του μέσου Μ της υποτείνουσας ΒΓ.
4. Να κατασκευασθεί ορθογώνιο τρίγωνο ΑΒΓ (A = 1∟) του οποίου δίνονται:
i) η διάμεσος ΑΜ = μ και μία κάθετη πλευρά.
ii) η διάμεσος ΑΜ = μ και το ύψος ΑΔ = λ.

Σύνθετα Θέματα

1. Από ένα μεταβλητό σημείο Ρ της πλευράς ΒΓ ενός τριγώνου ΑΒΓ φέρουμε ευθείες παράλληλες προς τις πλευρές ΑΒ και ΑΓ που τέμνουν τις ΑΓ και ΑΒ στα σημεία Ε και Ζ αντίστοιχα. Να βρείτε το γεωμετρικό τόπο του μέσου Μ του ΖΕ.
2. Να κατασκευάσετε τρίγωνο ΑΒΓ του οποίου δίνονται:
i) η πλευρά ΒΓ=λ, η γωνία A = ω και η διάμεσος ΑΜ = μ.
ii) η πλευρά ΒΓ=λ, η γωνία A = ω και η διάμεσος ΒΝ = μ.

3. Να κατασκευάσετε ένα τετράπλευρο ΑΒΓΔ που έχει πλευρές ΑΒ, ΒΓ, ΓΔ και ΔΑ ίσες με τα γνωστά τμήματα κ, λ, μ, ν αντίστοιχα, και η γωνία του A είναι ίση με δοσμένη γωνία ω.


ΓΕΝΙΚΕΣ ΑΣΚΗΣΕΙΣ

1. Δίνεται τρίγωνο ΑΒΓ ορθογώνιο στο Α. Από τα άκρα Β,Γ της υποτείνουσας ΒΓ φέρουμε κάθετες Βχ και Βy στη ΒΓ και προς το ίδιο μέρος της ΒΓ. Από το μέσο Μ της ΒΓ φέρουμε κάθετη στην ΑΓ, που τέμνει την Γy στο Ε και κάθετη στην ΑΒ που τέμνει την Βx στο Δ. Να αποδειχθεί ότι:
i) τα σημεία Δ,Α,Ε είναι συνευθειακά,
ii) τα τετράπλευρα ΑΔΒΜ και ΑΜΓΕ είναι εγγράψιμα σε κύκλο,
iii) ο περιγεγραμμένος κύκλος του τριγώνου ΔΜΕ εφάπτεται στη ΒΓ.

2. Ένα τρίγωνο ΑΒΓ έχει σταθερή την πλευρά ΒΓ και η κορυφή Α μεταβάλλεται έτσι, ώστε η διαφορά των πλευρών ΑΒ και ΑΓ να είναι σταθερή. Αν Μ είναι η προβολή της κορυφής Β πάνω στη διχοτόμο ΑΔ της γωνίας A, να βρεθεί ο γεωμετρικός τόπος του Μ.
3. Να κατασκευάσετε τρίγωνο ΑΒΓ από τις γωνίες B = ω, Γ = φ και την περίμετρό του δ.
4. Δίνεται κύκλος (Ο,R) και σημείο Α εκτός αυτού. Από το Α να φέρετε ευθεία, που τέμνει τον κύκλο στα Β, Γ ώστε το Β να είναι μέσο του ΑΓ.

5. Δίνεται εγγράψιμο τετράπλευρο ΑΒΓΔ. Με χορδές τις πλευρές του γράφουμε μέσα σε αυτό τόξα, που τέμνονται ανά δύο στα σημεία Ε, Ζ, Η, Θ. Να αποδείξετε ότι το ΕΖΗΘ είναι εγγράψιμο. (Οι έξι κύκλοι του Miquel).
6. Θεωρούμε τρίγωνο ΑΒΓ και τα σημεία Δ, Ε, Ζ των πλευρών του ΒΓ, ΑΓ και ΑΒ αντίστοιχα. Να αποδείξετε ότι οι περιγεγραμμένοι κύκλοι των τριγώνων ΑΖΕ, ΒΖΔ και ΓΕΔ διέρχονται από το ίδιο σημείο.
7. Έστω ΑΒΓΔ ρόμβος και Ε, Ζ σημεία των ΑΓ, ΒΔ αντίστοιχα. Να αποδείξετε ότι οι ευθείες ΒΕ, ΔΕ, ΓΖ και ΑΖ σχηματίζουν εγγράψιμο τετράπλευρο.
8. Δίνεται τρίγωνο ΑΒΓ και το ορθόκεντρο του Η. Αν Μ1, Μ2, Μ3 είναι τα μέσα των ΒΓ, ΓΑ, ΑΒ αντίστοιχα, ΑΗ1, ΒΗ2, ΓΗ3 τα ύψη του και Ζ1, Ζ2, Ζ3 τα μέσα των ΗΑ, ΗΒ, ΗΓ αντίστοιχα, να αποδείξετε ότι:
i) το τετράπλευρο Η1Μ1Μ2Μ3 είναι εγγράψιμο,
ii) το τετράπλευρο Ζ1Η1Μ1Μ2 είναι εγγράψιμο,
iii) τα σημεία Mi, Hi, Zi, i = 1, 2, 3 είναι ομοκυκλικά (Κύκλος των 9 σημείων ή κύκλος του Εuler).



Ε Υ Κ Λ Ε Ι Δ Ε Ι Α    Γ Ε Ω Μ Ε Τ Ρ Ι Α

ΑΝΑΚΕΦΑΛΑΙΩΣΗ

Εγγεγραμμένη γωνία

i) Κάθε εγγεγραμμένη γωνία ισούται με το μισό της αντίστοιχης επίκεντρης.

ii) Η γωνία χορδής και εφαπτομένης ισούται με την εγγεγραμμένη που βαίνει στο τόξο της χορδής.

 

Εγγεγραμμένο τετράπλευρο

Ιδιότητες

i) Οι απέναντι γωνίες του είναι παραπληρωματικές.

ii) Κάθε πλευρά του φαίνεται από τις απέναντι κορυφές υπό ίσες γωνίες.

iii) Κάθε εξωτερική του γωνία ισούται με την απέναντι εσωτερική γωνία του τετραπλεύρου.

 

Εγγράψιμο τετράπλευρο

Κριτήρια

Ένα τετράπλευρο είναι εγγράψιμο σε κύκλο, αν ισχύει μία από τις ακόλουθες προτάσεις:

i) Δύο απέναντι γωνίες του είναι παραπληρωματικές.

ii) Μία πλευρά του φαίνεται από τις απέναντι κορυφές υπό ίσες γωνίες.

iii) Μία εξωτερική του γωνία ισούται με την απέναντι εσωτερική γωνία του τετραπλεύρου.

 

Περιγεγραμμένο τετράπλευρο

Ιδιότητες

i) Οι διχοτόμοι των γωνιών του διέρχονται από το ίδιο σημείο, το οποίο είναι το κέντρο του εγγεγραμμένου κύκλου.

ii) Τα αθροίσματα των απέναντι πλευρών του είναι ίσα.

 

Περιγράψιμο τετράπλευρο

Κριτήρια

Ένα τετράπλευρο είναι περιγράψιμο αν ισχύει μία από τις ακόλουθες προτάσεις:

i) Οι διχοτόμοι των γωνιών του διέρχονται από το ίδιο σημείο.

ii) Τα αθροίσματα των απέναντι πλευρών του είναι ίσα.

 

Γεωμετρικοί τόποι και γεωμετρικές κατασκευές