Γεωμετρία (Α Λυκείου) - Βιβλίο Μαθητή
Κεφάλαιο 6: Εγγεγραμμένα Σχήματα Κεφάλαιο 8: Ομοιότητα Επιστροφή στην αρχική σελίδα του μαθήματος

7

Αναλογίες

Στο κεφάλαιο αυτό θα μελετήσουμε αρχικά τα ευθύγραμμα τμήματα. Θα εισάγουμε την έννοια του λόγου ευθύγραμμων τμημάτων, απ' όπου θα προκύψει η έννοια της μέτρησης και του μέτρου ευθύγραμμου τμήματος.

Στη συνέχεια θα αποδειχθούν οι βασικές προτάσεις του κεφαλαίου που είναι το θεώρημα του Θαλή και το θεώρημα των Διχοτόμων ενός τριγώνου.

ΚΕΦΑΛΑΙΟ 7




Βασίλη Καντίνσκυ

Βασίλη Καντίνσκυ, (Ρώσος, 1866 - 1944), «Μέσα στο μαύρο τετράγωνο» 1923.

ΑΝΑΛΟΓΙΕΣ

7.1    Εισαγωγή

Μέγεθος γενικά λέγεται οτιδήποτε επιδέχεται αύξηση ή ελάττωση. Γεωμετρικά μεγέθη λέγονται τα μεγέθη που εξετάζονται από τη Γεωμετρία. Τέτοια είναι τα ευθύγραμμα τμήματα, οι γωνίες, τα τόξα, οι επιφάνειες επίπεδων σχημάτων, οι όγκοι των στερεών κτλ.
Στο κεφάλαιο αυτό θα ασχοληθούμε με τα απλούστερα γεωμετρικά μεγέθη, τα ευθύγραμμα τμήματα.
Αρχικά θα διαιρέσουμε δοσμένο ευθύγραμμο τμήμα σε ν ίσα μέρη.

7.2    Διαίρεση ευθυγράμμου τμήματος σε ν ίσα μέρη

Έστω ένα ευθύγραμμο τμήμα ΑΒ, το οποίο θέλουμε να διαιρέσουμε σε ν ίσα μέρη (ν ≥ 2). Φέρουμε τυχαία ημιευθεία Αx, διαφορετική από την ΑΒ και παίρνουμε με το διαβήτη πάνω σε αυτή ν διαδοχικά ίσα τμήματα ΑΜ1 = M1M2 = ... = Μν-1Μν.
Έπειτα φέρουμε το τμήμα ΜνΒ και από τα σημεία Μ1, Μ2, ..., Μv-1 φέρουμε παράλληλες προς τη ΜνΒ που τέμνουν το ΑΒ στα σημεία Ρ12, ..., Ρν-1 αντίστοιχα. Οι παράλληλες αυτές, σύμφωνα με το θεώρημα III, § 5.6, ορίζουν ν ίσα τμήματα πάνω στην ΑΒ. Επομένως τα ν ίσα ευθύγραμμα τμήματα ΑΡ1, Ρ1Ρ2, ..., Ρν-1Β είναι τα ζητούμενα.
Στη συνέχεια θα ορίσουμε, γενικά, το γινόμενο ευθύγραμμου τμήματος με οποιοδήποτε ρητό αριθμό και το λόγο δύο ευθύγραμμων τμημάτων.

7.3    Γινόμενο ευθυγράμμου τμήματος με αριθμό -
Λόγος ευθυγραμμων τμημάτων.

• Όπως είδαμε στην §2.8, αν ΑΒ=α ευθύγραμμο τμήμα και ν φυσικός αριθμός, ονομάζουμε γινόμενο του τμήματος ΑΒ επί το φυσικό αριθμό ν το ευθύγραμμο τμήμα ΓΔ, το οποίο είναι το άθροισμα ν ευθύγραμμων τμημάτων ίσων προς το ΑΒ=α. Γράφουμε ΓΔ=ν • ΑΒ.
• Αν χωρίσουμε, όπως παραπάνω, το ευθύγραμμο τμήμα ΑΒ=α σε ν ίσα μέρη καθένα από τα ν ίσα τμήματα τα παριστάνουμε

 

 

 

 

 

 

 

 

 

 

Σχήμα 1
Σχήμα 1


 

 

 

 

Σχήμα 2
Σχήμα 2
ΚΕΦΑΛΑΙΟ 7

 


 

Σχήμα 6
Σχήμα 3

 

 

 

 

ΣΧΟΛΙΟ

Η γραφή ΓΔΑΒ δε σημαίνει διαίρεση ευθύγραμμων τμημάτων αλλά είναι συμβολική γραφή της ισότητας ΓΑ = q · AB. Σημαίνει διαίρεση όταν τα θεωρήσουμε πάνω στην ίδια ευθεία.

με q = ΑΒν ή q = 1ν • ΑΒ. Ένα ευθύγραμμο τμήμα ΕΖ λέγεται υπδιαίρεση υποπολλαπλάσιο) του ΑΒ αν υπάρχει ένας φυσικός αριθμός ν ώστε ΕΖ = ΑΒν.

• Αν μ είναι ένας θετικός ακέραιος και προσθέσουμε μ τέτοια τμήματα προκύπτει το τμήμα Εικόνα
Ονομάζουμε λοιπόν γινόμενο του ευθύγραμμου τμήματος ΑΒ επί το θετικό ρητό αριθμό q = μν το ευθύγραμμο τμήμα ΓΔ, το οποίο είναι το άθροισμα μ ευθύγραμμων τμημάτων ίσων με 1ν • ΑΒ.

Γράφουμε ΓΔ = q • AB.
Ορίζουμε ότι το γινόμενο ευθύγραμμου τμήματος επί τον αριθμό q = 0 είναι το μηδενικό ευθύγραμμο τμήμα. Αποδεικνύεται ότι για ένα δοσμένο ευθύγραμμο τμήμα ΑΒ και ένα θετικό άρρητο αριθμό ρ υπάρχει πάντοτε ένα ευθύγραμμο τμήμα ΓΔ τέτοιο, ώστε ΓΔ = ρ • ΑΒ. Η κατασκευή όμως, τέτοιων ευθύγραμμων τμημάτων με τον κανόνα και το διαβήτη δεν είναι πάντοτε δυνατή.
• Έστω δύο μη μηδενικά ευθύγραμμα τμήματα ΑΒ και ΓΔ. Αν υπάρχει ευθύγραμμο τμήμα ΚΛ και φυσικοί αριθμοί μ, ν τέτοιοι ώστε να ισχύει: ΑΒ = ν • ΚΛ και ΓΔ = μ • ΚΛ τα δύο ευθύγραμμα τμήματα λέγονται σύμμετρα. Το ΚΛ λέγεται κοινό μέτρο των ΑΒ και ΓΔ.
Από τα προηγούμενα προκύπτει ότι αν τα τμήματα ΑΒ και ΓΔ είναι σύμμετρα, τότε θα υπάρχει ένας θετικός ρητός αριθμός q = μν τέτοιος, ώστε ΓΔ = q • ΑΒ. Ο αριθμός q λέγεται λόγος των δύο τμημάτων και γράφεται με μορφή κλάσματος, δηλαδή q = ΓΔΑΒ .

ΠΑΡΑΤΗΡΗΣΗ

Το κοινό μέτρο δεν είναι μοναδικό γιατί κάθε υποδιαίρεση του ΚΛ είναι κοινό υποπολλαπλάσιο των ΑΒ και ΓΔ. Επίσης είναι φανερό ότι δύο σύμμετρα ευθύγραμμα τμήματα είναι (ακέραια) πολλαπλάσια κάθε κοινού τους μέτρου.

ΑΝΑΛΟΓΙΕΣ
Δύο ευθύγραμμα τμήματα που δεν είναι σύμμετρα λέγονται ασύμμετρα. Θα λέμε επίσης ότι ο λόγος τους είναι άρρητος αριθμός. Τέτοιες περιπτώσεις δεν είναι σπάνιες. Θα δούμε αργότερα ότι η πλευρά και η διαγώνιος ενός τετραγώνου δεν έχουν κοινό μέτρο.

7.4    Ανάλογα ευθυγραμμα τμήματα - Αναλογίες

Δύο ευθύγραμμα τμήματα α, γ λέγονται ανάλογα προς δύο άλλα ευθύγραμμα τμήματα β, δ όταν ο λόγος του α προς το β ισούται με το λόγο του γ προς το δ, δηλαδή όταν ισχύει:

αβ = γδ (1). Αυτό σημαίνει ότι υπάρχει θετικός αριθμός λ, ώστε να ισχύει α = λ • β και γ = λ • δ.
Η παραπάνω ισότητα (1) λέγεται αναλογία με όρους τα ευθύγραμμα τμήματα α, β, γ και δ. Τα τμήματα α και β λέγονται ομόλογα ή αντίστοιχα. Το ίδιο και τα γ και δ. Τα α, δ λέγονται άκροι όροι, ενώ τα β, γ μέσοι όροι της αναλογίας. Ο τέταρτος όρος δ της αναλογίας λέγεται και τέταρτη ανάλογος των α, β και γ.

Στην αναλογία αβ = βγ οι μέσοι όροι είναι ίσοι. Αυτή η αναλογία λέγεται συνεχής και ο β λέγεται μέση ανάλογος των α και γ. Το β λέγεται επίσης γεωμετρικός μέσος των α και γ. Συχνά είναι χρήσιμο να αντικαταστήσουμε μια αναλογία με μια ισοδύναμη έκφραση. Για το σκοπό αυτό χρησιμοποιούμε τις ιδιότητες των αναλογιών, που είναι γνωστές από το Γυμνάσιο, τις οποίες παίρνουμε χωρίς απόδειξη. Οι σπουδαιότερες από αυτές είναι οι εξής:

ΙΔΙΟΤΗΤΕΣ ΑΝΑΛΟΓΙΩΝ

Εικόνα

 

 

 

 

 

 

 

 

 

 

 

 

 

 

 

 

 

ΠΑΡΑΤΗΡΗΣΗ

Όταν εφαρμόζουμε ιδιότητες σε αναλογίες με όρους ευθύγραμμα τμήματα, θεωρούμε ότι έννοιες που δεν έχουν οριστεί για ευθύγραμμα τμήματα (π.χ. "πολλαπλασιασμός ευθύγραμμων τμημάτων"), αναφέρονται αποκλειστικά στα μήκη τους.

ΚΕΦΑΛΑΙΟ 7

 

 

 

 

ΠΑΡΑΤΗΡΗΣΕΙΣ
• Το μέτρο του τμήματος είναι μη αρνητικός αριθμός και θα συμβολίζεται όπως και το τμήμα. Έτσι, με το σύμβολο ΑΒ θα εννοούμε και το μέτρο του τμήματος ΑΒ.
• Όσα αναφέραμε για το λόγο και το μέτρο τμήματος ισχύουν γενικά και για άλλα γεωμετρικά μεγέθη, όπως η γωνία, το τόξο κτλ.

 

 

 

 

Σχήμα 4
Σχήμα 4

7.5    Μήκος ευθυγράμμου τμήματος

Όταν λέμε ότι θα μετρήσουμε ένα ευθύγραμμο τμήμα ΑΒ σημαίνει ότι θα το συγκρίνουμε με ένα άλλο ευθύγραμμο τμήμα ΓΔ, το οποίο παίρνουμε ως μονάδα μέτρησης. Η επιλογή της μονάδας μέτρησης είναι αυθαίρετη.

Στο 2ο κεφάλαιο αναφέραμε την έννοια του μήκους ευθύγραμμου τμήματος. Εδώ θα διατυπώσουμε τον ορισμό με τη βοήθεια του λόγου ευθύγραμμων τμημάτων.

Ορισμός  
Μέτρο ή μήκος ενός ευθύγραμμου τμήματος είναι ο λόγος του προς ένα άλλο ευθύγραμμο τμήμα, που παίρνουμε ως μονάδα μέτρησης.

Άμεσες συνέπειες του ορισμού του μέτρου τμήματος είναι οι παρακάτω προτάσεις:
• Δύο ίσα τμήματα έχουν ίσα μέτρα και αντίστροφα, ως προς οποιαδήποτε μονάδα μέτρησης.
• Ο λόγος των μέτρων δύο τμημάτων, που μετρώνται με την ίδια μονάδα μέτρησης, ισούται με το λόγο των δύο τμημάτων και είναι ανεξάρτητος από τη μονάδα μέτρησης.

7.6    Διαίρεση τμημάτων εσωτερικά και εξωτερικά ως προς δοσμένο λόγο

Είδαμε στην § 7.2 πώς διαιρούμε ένα ευθύγραμμο τμήμα σε ν ίσα μέρη. Θα δούμε στη συνέχεια πότε ένα σημείο Μ διαιρεί ένα ευθύγραμμο τμήμα σε δοσμένο λόγο. Σε ευθεία xy δίνονται δύο ορισμένα σημεία Α και Β. Έστω σημείο Μ της ευθείας xy, διαφορετικό του Β. Διακρίνουμε δύο περιπτώσεις:
1) Αν το Μ είναι εσωτερικό σημείο του ευθύγραμμου τμήματος ΑΒ τότε ο λόγος των αποστάσεών του από τα Α και Β ισούται με = ΜΑΜΒ . Λέμε ότι το Μ διαιρεί εσωτερικά το ευθυγραμμο τμήμα ΑΒ σε λόγο λ, αν και μόνο αν ΜΑΜΒ = λ. Για το σημείο Μ ισχύει η παρακάτω πρόταση.

Πρόταση

Το σημείο Μ είναι μοναδικό.

ΑΝΑΛΟΓΙΕΣ

Απόδειξη

Πράγματι, αν Μ' εσωτερικό σημείο του ΑΒ ώστε Μ'ΑΜ'Β = λ, τότε έχουμε:

Εικόνα

οπότε το σημείο Μ ταυτίζεται με το σημείο Μ'.

Εικόνα

2) Αν Μ σημείο στην προέκταση του ευθύγραμμου τμήματος ΑΒ, τότε πάλι ο λόγος των αποστάσεών του από τα Α και Β ισούται με ΜΑΜΒ . Λέμε ότι το Μ διαιρεί εξωτερικά το ευθύγραμμο τμήμα ΑΒ σε λόγο λ, αν και μόνο αν ΜΑΜΒ = λ. Ανάλογα αποδεικνύεται ότι και σε αυτή την περίπτωση, το σημείο Μ είναι μοναδικό.

Διερεύνηση

(i) Αν λ=1, τότε προφανώς δεν υπάρχει σημείο Μ που να διαιρεί εξωτερικά το ΑΒ σε λόγο λ=1, αφού ΜΑ ≠ ΜΒ. Στην περίπτωση αυτή το Μ είναι το μέσο του ευθύγραμμου τμήματος.

(ii) Αν λ > 1, τότε ΜΑΜΒ > 1, οπότε το Μ βρίσκεται στην προέκταση του ΑΒ, προς το μέρος του Β (σχ.5). Στην περίπτωση αυτή έχουμε:

Εικόνα

 

 

 

 

 

 

 

 

 

 

 

 

 

 

 

 

 

Σχήμα 5
Σχήμα 5

 


 
ΚΕΦΑΛΑΙΟ 7
Σχήμα 6
Σχήμα 6

ΠΑΡΑΤΗΡΗΣH
Δεχόμαστε συμβατικά πως, όταν λέμε ότι το σημείο Μ διαιρεί το ευθύγραμμο τμήμα ΑΒ σε λόγο λ, εννοούμε
ΜΑΜΒ = λ, και όχι ΜΒΜΑ= λ.

(iii) Αν λ ΜΑΜΒ < 1 <=> ΜΑ < ΜΒ, οπότε το Μ βρίσκεται στην προέκταση του ΑΒ, προς το μέρος του Α (σχ.6). Όπως παραπάνω βρίσκουμε ότι

Εικόνα

(iv) Οριακές θέσεις
α) Όταν το σημείο Μ τείνει στο Α, το τμήμα ΜΑ τείνει στο μηδενικό ευθύγραμμο τμήμα, οπότε ο λόγος λ τείνει στο μηδέν.
β) Όταν το σημείο Μ τείνει στο Β, το τμήμα ΜΒ τείνει στο μηδενικό ευθύγραμμο τμήμα, οπότε ο λόγος λ τείνει στο άπειρο.
γ) Όταν το σημείο Μ απομακρύνεται απεριόριστα, τα τμήματα ΜΑ και ΜΒ τείνουν να ταυτιστούν, οπότε ο λόγος λ τείνει στη μονάδα.

ΣΗΜΕΙΩΣΗ
• Αν Ο είναι το μέσο του ευθύγραμμου τμήματος ΑΒ, τότε το σημείο Μ τέτοιο ώστε ΜΑΜΒ = λ, βρίσκεται μεταξύ Ο και Α όταν λ1.
• Αν ΜΑΜΒ = λ, λέμε ότι το Μ διαιρεί το ευθύγραμμο τμήμα ΒΑ σε λόγο λ. Δηλαδή θεωρούμε ότι τα άκρα Α και Β του τμήματος είναι διατεταγμένα. Ένα τέτοιο ευθύγραμμο τμήμα λέγεται προσανατολισμένο.
   Σχήμα 7

ΑΣΚΗΣΕΙΣ ΓΙΑ ΛΥΣΗ

Ερωτήσεις Κατανόησης

1. Να ορίσετε τους παρακάτω λόγους:
i) της υποτείνουσας ορθογώνιου τριγώνου προς την αντίστοιχη διάμεσο,
ii) μιας εγγεγραμμένης γωνίας προς την αντίστοιχη επίκεντρη,
iii) της διαμέτρου ενός κύκλου, προς την ακτίνα του,
iv) μιας ορθής γωνίας προς μια γωνία ισόπλευρου τριγώνου.

2. Στο παρακάτω σχήμα είναι ΑΒ = 10α και ΑΓ = 2α. Να βρεθούν οι λόγοι:

Εικόνα

i) ΑΒ προς ΑΓ, ii) ΑΓ προς ΑΒ,
iii) ΒΓ προς ΑΒ, iv) ΑΓ προς ΒΓ.

3. Δίνεται ευθύγραμμο τμήμα ΑΒ και σημείο του Γ έτσι ώστε ΑΓΓΒ = 12.

Εικόνα

Τότε ο λόγος ΒΓΑΒ είναι: i) 2 ii) 3 iii) 32 iv) 23
ν) κανένα από τα παραπάνω.
(Να δικαιολογήσετε την απάντησή σας).


ΑΝΑΛΟΓΙΕΣ

4. Δίνεται ευθύγραμμο τμήμα AB = 12 cm και το μέσο του Ο. Να βρεθεί σημείο Μ του AO, ώστε τα σημεία Μ και Β να διαιρούν εσωτερικά και εξωτερικά αντίστοιχα το τμήμα AO στον ίδιο λόγο.

Εικόνα

Ασκήσεις Εμπέδωσης

1. Οι γωνίες ενός τριγώνου είναι ανάλογες προς τους αριθμούς 4, 3, 2. Να βρεθούν οι γωνίες του τριγώνου σε μοίρες.
2. Ο λόγος μιας γωνίας ω προς την παραπληρωματική είναι 38. Να βρεθεί η γωνία ω .
3. Οι πλευρές ενός τριγώνου είναι ανάλογες προς τους αριθμούς 6, 3, 4. Αν η περίμετρος του τριγώνου είναι 65cm, να βρεθούν τα μήκη των πλευρών του.

Αποδεικτικές Ασκήσεις

1. Οι εξωτερικές γωνίες ενός τριγώνου είναι ανάλογες των αριθμών 2, 3 και 4. Να υπολογισθούν οι εσωτερικές του γωνίες.
2. Σε ευθεία ε παίρνουμε διαδοχικά τα σημεία Α, Β, Γ και Δ, ώστε ΑΒ = 6cm, ΒΓ = 12cm, ΓΔ = 2cm. Να βρεθεί σημείο Μ του ΒΓ, το οποίο διαιρεί εσωτερικά τα τμήματα ΑΔ και ΒΓ στον ίδιο λόγο.
3. Με τη βοήθεια των ιδιοτήτων των αναλογιών, να διαιρέσετε δοσμένο τμήμα AB = α σε δύο τμήματα, τα οποία έχουν λόγο 34.

7.7    Θεώρημα του Θαλή

Είδαμε στην § 5.6 ότι αν παράλληλες ευθείες τέμνουν δύο άλλες ευθείες και ορίζουν ίσα τμήματα πάνω στη μία, θα ορίζουν ίσα τμήματα και πάνω στην άλλη. Τα παραπάνω γενικεύονται για οποιονδήποτε λόγο στο επόμενο θεώρημα που είναι γνωστό ως θεώρημα του Θαλή.

Θεώρημα

Αν τρεις τουλάχιστον παράλληλες ευθείες τέμνουν δυο άλλες ευθείες, ορίζουν σε αυτές τμήματα ανάλογα.

Εικόνα

 

 

Σχήμα 8
Σχήμα 8
ΚΕΦΑΛΑΙΟ 7

 

Σχήμα 9
Σχήμα 9

Απόδειξη

(i) Αν τα τμήματα ΑΒ και ΒΓ (σχ.9) είναι σύμμετρα, υπάρχει ευθύγραμμο τμήμα μ τέτοιο, ώστε ΑΒ = κμ και ΒΓ = λμ (1), όπου κ, λ φυσικοί αριθμοί. Διαιρούμε το τμήμα ΑΒ σε κ τμήματα ίσα με το μ και το ΒΓ σε λ τμήματα ίσα με το μ.
Από τα σημεία που ορίζονται με τον παραπάνω τρόπο φέρουμε ευθείες παράλληλες προς την ε1, οι οποίες τέμνουν τη δ2. Επειδή τα τμήματα που ορίζονται πάνω στη δ1 είναι ίσα μεταξύ τους, τότε και τα τμήματα που ορίζονται πάνω στη δ2 θα είναι ίσα τμήματα, που το μήκος του καθενός ας είναι ν. Τότε θα έχουμε ΕΖ = κν και ΖΗ = λν (2).

Εικόνα

(ii) Αν τα τμήματα ΑΒ και ΒΓ είναι ασύμμετρα, ο λόγος ΑΒΒΓ είναι ασύμμετρος αριθμός. Αποδεικνύεται ότι και σε αυτή την περίπτωση ισχύει η προηγούμενη αναλογία.
Ισχύει και το αντίστροφο του θεωρήματος του Θαλή.

Θεώρημα

Θεωρούμε δύο ευθείες δ1 και δ2 που τέμνουν δύο παράλληλες ευθείες ε1 και ε2 στα σημεία Α, Β και Ε, Ζ αντίστοιχα. Αν Γ και Η είναι σημεία των ευθειών δ1 και δ2 αντίστοιχα τέτοια, ώστε ΑB = ΕΖΖΗ τότε η ευθεία ΓΗ είναι παράλληλη προς τις ε1 και ε2(σχ.9).

 

ΠΟΡΙΣΜΑ

Κάθε ευθεία που είναι παράλληλη με μία από τις πλευρές ενός τριγώνου χωρίζει τις δύο άλλες πλευρές σε μέρη ανάλογα και αντίστροφα.
ΑΝΑΛΟΓΙΕΣ

Απόδειξη

Έστω τρίγωνο ΑΒΓ και ΔΕ//ΒΓ (σχ. 10). Φέρουμε από την κορυφή Α ευθεία ε//ΒΓ//ΔΕ, οπότε από το θεώρημα του Θαλή προκύπτει ότι

ΑΔΑΕ = ΔΒΕΓ.

Μια σημαντική εφαρμογή του θεωρήματος του Θαλή είναι το επόμενο θεώρημα.

Θεώρημα

Το τρίγωνο που ορίζεται από τις ευθείες δύο πλευρών τριγώνου και μία παράλληλη προς την τρίτη πλευρά του, έχει πλευρές ανάλογες προς τις πλευρές του αρχικού τριγώνου.

Απόδειξη

Έστω τρίγωνο ΑΒΓ και ΔΕ//ΒΓ (σχ.12). Θα αποδείξουμε ότι:

ΑΔΑΒ = ΑΕΑΓ = ΔΕΒΓ .

Επειδή ΔΕ//ΒΓ, από το θεώρημα του Θαλή έχουμε

ΑΔΑΒ = ΑΕΑΓ      (1).

Φέρουμε την ΕΖ παράλληλη της ΑΒ, οπότε το ΔΕΖΒ είναι παραλληλόγραμμο, άρα ΔΕ=ΒΖ (2).
Επειδή ΕΖ//ΑΒ, από το θεώρημα του Θαλή έχουμε

ΑΕΑΓ = ΒΖΒΓ       ή       ΑΕΑΓ = ΔΕΒΓ      (3).

Από τις (1) και (3) προκύπτει ότι ΑΔΑΒ = ΑΕΑΓ = ΔΕΒΓ .

• Με τη βοήθεια του θεωρήματος του Θαλή γίνονται ορισμένες γεωμετρικές κατασκευές. Δύο από τις σπουδαιότερες είναι τα παρακάτω προβλήματα.

Σχήμα 10
Σχήμα 10

 

ΠΑΡΑΤΗΡΗΣH
Το παραπάνω πόρισμα ισχύει και στην περίπτωση που η ΔΕ τέμνει τις προεκτάσεις των πλευρών του τριγώνου ΑΒΓ.
Σχήμα 5
                           Σχήμα 11

 

Σχήμα 12
Σχήμα 12
 
ΚΕΦΑΛΑΙΟ 7

ΠΡΟΒΛΗΜΑ 1 (Κατασκευή τέταρτης αναλόγου)

Αν δοθούν τρία ευθύγραμμα τμήματα α, β και γ, να κατασκευασθεί το τμήμα x, που ορίζεται από την αναλογία αβ = γx      .

Λύση

Έστω μια γωνία zÔy. Πάνω στη μία πλευρά της Οz παίρνουμε διαδοχικά τα τμήματα ΟΑ = α, ΑΒ = β και πάνω στην Oy το τμήμα ΟΓ = y. Από το Β φέρουμε την παράλληλη προς την ΑΓ, που τέμνει την Oy στο Δ. Τότε ΓΔ = x γιατί

ΟΑΑΒ = ΟΓΓΔ ή αβ = γx      .

Είναι φανερό ότι με τον ίδιο τρόπο κατασκευάζεται το τμήμα x αν xα = βγ ή αx = βγ ή αβ = xγ , αρκεί κάθε φορά να γράφουμε το x ως τέταρτο όρο της αναλογίας.

Σχήμα 13
Σχήμα 13

ΠΡΟΒΛΗΜΑ 2 (Διαίρεση ευθύγραμμου τμήματος σε δοσμένο λόγο)

Να διαιρεθεί ευθύγραμμο τμήμα ΑΒ, εσωτερικά και εξωτερικά, σε δοσμένο λόγο μν , όπου μ,ν γνωστά τμήματα.

Λύση

Από το Α φέρουμε μια ημιευθεία Αχ, πάνω στην οποία παίρνουμε τμήμα ΑΕ=μ. Από το Β φέρουμε ευθεία παράλληλη της Αχ και παίρνουμε πάνω σε αυτή εκατέρωθεν του Β τμήματα ΒΖ=ΒΗ=ν. Τα σημεία Γ και Δ στα οποία οι ευθείες ΕΗ και ΕΖ τέμνουν την ευθεία ΑΒ είναι τα ζητούμενα. Πράγματι, τα τρίγωνα ΑΕΓ και ΓΗΒ έχουν ανάλογες πλευρές, οπότε:

ΓΑΓΒ = ΑΕΒΗ = μν .

Όμοια τα τρίγωνα ΔΑΕ και ΔΒΖ έχουν ανάλογες πλευρές, οπότε:

Σχήμα 14
Σχήμα 14
ΚΕΦΑΛΑΙΟ 7

ΔΑΔΒ = ΑΕΒΖ = μν .

• Αν μ=ν, το τετράπλευρο ΑΒΖΕ είναι παραλληλόγραμμο, οπότε η ΕΖ δε δίνει σημείο Δ πάνω στην ΑΒ, ενώ το Γ είναι το μέσο του ΑΒ.

Σχήμα 15
Σχήμα 15

Δύο σημεία Γ και Δ, που διαιρούν εσωτερικά και εξωτερικά το τμήμα ΑΒ στον ίδιο λόγο, λέγονται συζυγή αρμονικά των Α και Β (σχ.16).

Δηλαδή τα Γ και Δ είναι συζυγή αρμονικά των Α και Β, αν τα τέσσερα σημεία είναι συνευθειακά και  

ΓΑΓΒ = ΔΑΔΒ .

Από τη σχέση αυτή παίρνουμε την αναλογία

ΓΑΔΒ = ΓΒΔΒ ή ΑΓΑΔ = ΒΓΒΔ .

από την οποία προκύπτει ότι και τα Α και Β είναι συζυγή αρμονικά των Γ και Δ. Τα τέσσερα σημεία (Α,Β) και (Γ,Δ) λέμε ότι αποτελούν αρμονική τετράδα.

Σημείωση

Το Δ λέγεται αρμονικό συζυγές του Γ ως προς τα Α και Β. Όπως είδαμε παραπάνω, αν το Γ είναι το μέσο του ΑΒ, το Δ δεν υπάρχει.

 

 

Σχήμα 16
Σχήμα 16
ΚΕΦΑΛΑΙΟ 7

ΑΣΚΗΣΕΙΣ ΓΙΑ ΛΥΣΗ

Ερωτήσεις Κατανόησης

1. Στα παρακάτω σχήματα να βρείτε τα x και y.

Εικόνα

2. Να δικαιολογήσετε γιατί ΑΒ//ΓΔ και ΕΖ//ΚΛ//ΜΝ
στα παρακάτω σχήματα.

Εικόνα

3. Στο διπλανό σχήμα είναι:
i) ΑΕΕΔ = ΒΖΖΓ .      Σ     Λ
ii) ΕΖ//ΓΔ .      Σ     Λ
Να χαρακτηρίσετε ως σωστή (Σ) ή λάθος (Λ) καθεμία από τις προηγούμενες σχέσεις και να δικαιολογήσετε τις απαντήσεις σας.
.Εικόνα

4. Δίνεται τμήμα ΑΒ και δυο σημεία Γ και Δ ώστε ΓΑΓΒ = ΔΑΔΒ .   Αρκεί η προηγούμενη σχέση ώστε τα Γ και Δ να είναι συζυγή αρμονικά των Α και Β;
5. Στο παρακάτω σχήμα είναι ΚΛ = 4, ΛΕ = 2. Να βρεθεί σημείο Ζ τέτοιο, ώστε τα σημεία (Ζ,Ε) να είναι συζυγή αρμονικά των (Κ,Λ).

Εικόνα

Ασκήσεις Εμπέδωσης

1. Στο διπλανό σχήμα είναι ΔΕ//ΒΓ, ΕΖ//ΑΒ και ΖΗ//ΑΓ. Να αποδείξετε ότι

ΔΑΔΒ = ΗΒΗΑ .  

Εικόνα

2. Από την κορυφή Α παραλληλογράμμου ΑΒΓΑ φέρουμε ευθεία ε η οποία τέμνει τη διαγώνιο ΒΑ στο Ε, την πλευρά ΒΓ στο Ζ και την προέκταση της ΑΓ στο Η. Να αποδείξετε ότι
i) ΑΖΑΗ = ΑΒΔΗ               ii) ΑΕ2 = ΕΑ •ΕΗ. 
3. Οι μη παράλληλες πλευρές ΑΔ, ΒΓ τραπεζίου ΑΒΓΔ τέμνονται στο Ο. Η παράλληλη από το Β προς την ΑΓ τέμνει την ΑΔ στο Ε. Να αποδείξετε ότι το ΟΑ είναι μέσο ανάλογο των ΟΔ και ΟΕ.
4. Από σημείο Δ της πλευράς ΒΓ τριγώνου ΑΒΓ φέρουμε την παράλληλη προς τη διάμεσό του ΑΜ, που τέμνει τις ευθείες ΑΒ και ΑΓ στα σημεία Ε και Ζ αντίστοιχα. Να αποδείξετε ότι AEAZ = AB .  
5. Δίνεται τετράπλευρο ΑΒΓΔ και σημείο Ε της διαγωνίου ΑΓ. Οι παράλληλες από το Ε προς τις ΒΓ, ΓΔ τέμνουν τις ΑΒ, ΑΔ στα Ζ και Η αντίστοιχα. Να αποδείξετε ότι ΖΗ//ΑΒ.
6. Δίνεται τρίγωνο ΑΒΓ και σημεία Δ, Ε της πλευράς ΒΓ, ώστε ΒΕ - ΓΕ < ΒΓ2 .  Οι παράλληλες από τα Δ και Ε προς τις ΑΓ και ΑΒ αντίστοιχα τέμνουν την ΑΒ στο Ζ και την ΑΓ στο Η. Να αποδείξετε ότι ΖΗ//ΒΓ.
7. Από τυχαίο σημείο Κ της διαμέσου ΑΜ τριγώνου

ΑΝΑΛΟΓΙΕΣ

ΑΒΓ φέρουμε παράλληλες προς τις ΑΒ και ΑΓ, που τέμνουν τη ΒΓ στα Δ και Ε αντίστοιχα. Να αποδείξετε ότι ΜΔ = ΜΕ.
8. Δίνεται τραπέζιο ΑΒΓΔ (ΑΒ//ΓΔ) και Ε το μέσο της μικρής βάσης ΑΒ. Αν η ΔΕ τέμνει την ΑΓ στο Ζ και την προέκταση της ΓΒ στο Η, να αποδείξετε ότι τα Ζ, Η είναι συζυγή αρμονικά των Δ, Ε.
9. Δεξαμενή ύψους υ=12m περιέχει νερό που φτάνει σε ύψος h. Ράβδος μήκους 15m τοποθετείται στη δεξαμενή, όπως στο διπλανό σχήμα. Βγάζουμε τη ράβδο και παρατηρούμε ότι το τμήμα που βρέχτηκε έχει μήκος 10m. Μπορούμε να υπολογίσουμε το ύψος h του νερού;

Εικόνα

Αποδεικτικές Ασκήσεις

1. Αν τα Γ, Δ είναι συζυγή αρμονικά των Α, Β και Ο είναι το μέσο του ΑΒ, να αποδείξετε ότι τα Γ και Δ βρίσκονται προς το ίδιο μέρος του Ο.
2. Να διαιρεθεί ευθύγραμμο τμήμα AB = a σε τμήματα x, y, ω τέτοια, ώστε 4x = 6y = 3ω.
3. Δίνεται τρίγωνο ΑΒΓ εγγεγραμμένο σε κύκλο (Ο,R) και έστω Δ η τομή της διαμέτρου ΑΕ με τη ΒΓ. Αν Ζ και Η είναι οι προβολές του Δ στις ΑΒ και ΑΓ αντίστοιχα, να αποδείξετε ότι ΖΗ//ΒΓ.
4. Δίνεται παραλληλόγραμμο ΑΒΓΔ και σημείο Ε της ΔΒ τέτοιο, ώστε ΔΕ = 15 ΔΒ. Αν η ΓΕ τέμνει την ΑΔ στο Ζ, να αποδείξετε ότι ΑΖ = 3ΔΖ.
5. Από την κορυφή Β παραλληλογράμμου ΑΒΓΔ φέρουμε ευθεία ε, που τέμνει την πλευρά ΑΔ στο Ε και την προέκταση της ΓΔ στο Ζ. Να αποδείξετε ότι

ΔΑΔΕ - ΔΓΔΖ = 1.  

6. Δίνεται τρίγωνο ΑΒΓ και τα σημεία Δ, Ε της ΒΓ ώστε ΒΔ = ΔΕ = ΕΓ. Η παράλληλη από το Δ προς την ΑΒ τέμνει τη διάμεσο ΑΜ στο Κ. Να αποδείξετε ότι:
i) Το Κ είναι το βαρύκεντρο του τριγώνου ΑΒΓ.
ii) ΚΕ//ΑΓ.

7. Τραπεζίου ΑΒΓΔ (ΑΒ//ΓΔ) οι διαγώνιες ΑΓ, ΒΔ τέμνονται στο Ο. Από το Ο φέρουμε παράλληλες προς τις ΑΔ, ΒΓ που τέμνουν τη ΔΓ στα Ε και Ζ αντίστοιχα. Να αποδείξετε ότι ΔΕ = ΓΖ.

Σύνθετα θέματα

1. Δίνεται τρίγωνο ΑΒΓ και τα σημεία Δ και Ε των πλευρών του ΑΒ και ΑΓ αντίστοιχα, ώστε ΔΑΔΒ = ΕΓΕΑ.  Να αποδείξετε ότι τα μέσα Κ, Λ, Μ των ΑΒ, ΑΓ και ΔΕ αντίστοιχα, είναι συνευθειακά σημεία.
2. Από το μέσο Μ της πλευράς ΒΓ τριγώνου ΑΒΓ φέρουμε τυχαία ευθεία, που τέμνει τις ΑΒ και ΑΓ στα Ζ και Η αντίστοιχα. Να αποδείξετε ότι ΖΑ • ΗΓ = ΗΑ • ΖΒ.
3. Δίνεται ευθεία ε, τέσσερα διαδοχικά σημεία της Α, Γ, Β, Δ και σημείο Ο εκτός αυτής. Από το Β φέρουμε παράλληλη προς την ΟΑ, η οποία τέμνει τις ΟΓ, ΟΔ στα Ε και Ζ αντίστοιχα. Να αποδείξετε ότι τα Γ, Δ είναι συζυγή αρμονικά των Α, Β, αν και μόνο αν ΒΕ = ΒΖ.
4. Αν ένα σημείο Δ χωρίζει εσωτερικά την πλευρά ΒΓ τριγώνου ΑΒΓ σε λόγο λ και ένα σημείο Ε χωρίζει εσωτερικά το ΑΔ σε λόγο κ, να υπολογισθεί ο λόγος στον οποίο χωρίζει η ευθεία ΒΕ την πλευρά ΑΓ.
5. Η εφαπτομένη ενός κύκλου σε σημείο του Μ τέμνει τις εφαπτόμενες στα άκρα Α, Β μιάς διαμέτρου του ΑΒ, στα σημεία Γ και Δ αντίστοιχα. Αν Κ είναι το σημείο τομής των ΒΓ, ΑΔ, να αποδείξετε ότι ΜΚ ⊥ ΑΒ.


ΚΕΦΑΛΑΙΟ 7

 


 

 

 

Σχήμα 17
Σχήμα 17

 

 

 

Σχήμα 18
Σχήμα 18

 

7.8   Θεωρήματα των διχοτόμων τριγώνου

Θα μελετήσουμε εδώ, ως εφαρμογές του θεωρήματος του Θαλή, βασικές ιδιότητες της εσωτερικής και εξωτερικής διχοτόμου γωνίας τριγώνου.

Θεώρημα (εσωτερικής διχοτόμου τριγώνου)

Η διχοτόμος μιας γωνίας τριγώνου διαιρεί την απέναντι πλευρά εσωτερικά σε λόγο ίσο με το λόγο των προσκείμενων πλευρών.

Δηλαδή, αν ΑΔ διχοτόμος του τριγώνου ΑΒΓ, ισχύει

Εικόνα

Απόδειξη

Έστω τρίγωνο ΑΒΓ και η διχοτόμος του ΑΔ (σχ.18). Από το Β φέρουμε παράλληλη προς την ΑΔ, που τέμνει την προέκταση της ΑΓ στο Ε. Από το θεώρημα του Θαλή στο τρίγωνο ΓΕΒ έχουμε ΔBΔΓ = ΑΕΑΓ (1).  

Για να αποδείξουμε το ζητούμενο, αρκεί να αποδείξουμε ότι ΑΕ = ΑΒ. Πράγματι:
A
1 = Β1 (εντός εναλλάξ των παραλλήλων ΑΔ και ΒΕ),
A
2 = Ε (εντός εκτός και επί τα αυτά των παραλλήλων ΑΔ και ΒΕ),
A
1 = A2 (ΑΔ διχοτόμος),
οπότε Β1 = Ε άρα ΑΕ = ΑΒ (2).

Από τις (1) και (2) προκύπτει ότι ΔBΔΓ = ΑΒΑΓ .  

Επειδή το σημείο Δ που διαιρεί την πλευρά ΒΓ σε λόγο ΑΒΑΓ είναι μοναδικό, το θεώρημα ισχύει και αντίστροφα, δηλαδή:
Αν το Δ είναι σημείο της πλευράς ΒΓ και ισχύει ΔBΔΓ = ΑΒΑΓ   τότε η ΑΔ είναι διχοτόμος της γωνίας A.

ΑΝΑΛΟΓΙΕΣ

• Υπολογισμός των ευθύγραμμων τμημάτων, στα οποία διαιρεί η διχοτόμος την απέναντι πλευρά ως συνάρτηση των α,β,γ.

Στο σχ. 18 θέλουμε να υπολογίσουμε τις αποστάσεις του Δ από τα Β και Γ.
Η προηγούμενη αναλογία γράφεται:

Εικόνα
Εικόνα

Θεώρημα (εξωτερικής διχοτόμου τριγώνου)

Η διχοτόμος μιας εξωτερικής γωνίας τριγώνου τέμνει την προέκταση της απέναντι πλευράς σε ένα σημείο, το οποίο διαιρεί εξωτερικά την πλευρά αυτή σε λόγο ίσο με το λόγο των προσκείμενων πλευρών.

Δηλαδή, αν η ΑΕ είναι εξωτερική διχοτόμος του τριγώνου ΑΒΓ, ισχύει ότι:

Εικόνα

Απόδειξη

Έστω τρίγωνο ΑΒΓ και η εξωτερική διχοτόμος του ΑΕ (σχ.20). Από το Β φέρουμε παράλληλη προς την ΑΕ, που τέμνει την ΑΓ στο Ζ. Από το θεώρημα του Θαλή στο τρίγωνο ΓΑΕ έχουμε

ΕΒΕΓ = ΑZΑΓ     (1).     

Για να αποδείξουμε το ζητούμενο, αρκεί να αποδείξουμε ότι ΑΖ = ΑΒ. Πράγματι:

A1 = Β1 (εντός εναλλάξ των παραλλήλων ΑΕ και ΒΖ),
A2= Ζ1 (εντός εκτός και επί τα αυτά των παραλλήλων ΑΕ και ΒΖ),
A1 = A2 (ΑΕ εξωτερική διχοτόμος),
οπότε Β1 = Ζ1 άρα ΑΕ = ΑΒ (2).

Από τις (1) και (2) προκύπτει ότι ΕΒΕΓ = ΑΒΑΓ .

 

 

 

 

 

 

 

 

 

 

 



Σχήμα 19
Σχήμα 19

 

Σχήμα 20
Σχήμα 20

 
ΚΕΦΑΛΑΙΟ 7

 


 

 

 

 


                  

         

ΠΑΡΑΤΗΡΗΣΗ

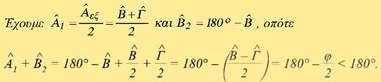
Το σημείο Ε βρίσκεται προς το μέρος της μικρότερης πλευράς. Πράγματι αν β>γ τότε Β > Γ οπότε A = φ>0 . Αρκεί να αποδείξουμε ότι A1+Β2Εικόνα

Αν ΑΒ = ΑΓ, τότε το Ε δεν υπάρχει. (Εφαρμογή 1 - § 4.8)

Το θεώρημα ισχύει και αντίστροφα, δηλαδή:
Αν το Ε είναι σημείο της προέκτασης της πλευράς ΒΓ και ισχύει ΒΕΕΓ = ΑΒΑΓ τότε η ΑΕ είναι η εξωτερική διχοτόμος της γωνίας A.

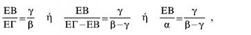
• Υπολογισμός των ευθύγραμμων τμημάτων στα οποία διαιρεί η εξωτερική διχοτόμος την απέναντι πλευρά ως συνάρτηση των α,β,γ.

Στο σχ.20 θέλουμε να υπολογίσουμε τις αποστάσεις του Ε από τα Β και Γ.
Η προηγούμενη αναλογία γράφεται:

Εικόνα

Εικόνα

ΕικόναΠΑΡΑΤΗΡΗΣΗ
Αν Δ και Ε είναι τα ίχνη της εσωτερικής και εξωτερικής διχοτόμου της γωνίας Α ̂, τριγώνου ΑΒΓ, στην απέναντι πλευρά, θα είναι
Εικόνα
Δηλαδή τα ίχνη Δ και Ε των δύο διχοτόμων είναι σημεία συζυγή αρμονικά ως
προς τις κορυφές Β και Γ του τριγώνου ΑΒΓ.

ΑΝΑΛΟΓΙΕΣ

7.9   Απολλώνιος Κύκλος

ΕΦΑΡΜΟΓΗ 1η

Nα βρεθεί ο γεωμετρικός τόπος των σημείων που οι αποστάσεις τους από δύο ορισμένα σημεία Α και Β του επιπέδου έχουν γνωστό λόγο = μν ≠ 1.

Λύση
Έστω δύο δεδομένα σημεία Α, Β και Μ τυχαίο σημείο του τόπου με την ιδιότητα ΜΑΜΒ = μν    (1)

Φέρουμε την εσωτερική διχοτόμο ΜΓ και την εξωτερική διχοτόμο ΜΔ του τριγώνου ΜΑΒ. Τότε Εικόνα

Σχήμα 22
Σχήμα 22

Δηλαδή, τα σημεία Γ και Δ είναι ορισμένα, αφού χωρίζουν το ΑΒ εσωτερικά και εξωτερικά σε λόγο μν  .
Ακόμα είναι ΓΜΔ = 90°, επειδή οι ΜΓ και ΜΔ είναι διχοτόμοι των δύο εφεξής και παραπληρωματικών γωνιών ΑΜΒ και ΒΜΗ. Άρα το Μ ανήκει σε κύκλο με διάμετρο το τμήμα ΓΔ.

Αντίστροφα: Έστω Ν ένα σημείο του κύκλου με διάμετρο το τμήμα ΓΔ. Τότε ΓΝΔ = 90° .

Θα αποδείξουμε ότι ΝΑΝΒ = μν .

Από το Β φέρουμε ΒΕ//ΓΝ, οπότε στο τρίγωνο ΑΒΕ είναι

Εικόνα

Επίσης φέρουμε ΒΖ//ΔΝ, οπότε στο τρίγωνο ΑΔΝ είναι

Εικόνα

Από τις σχέσεις (4) και (5) προκύπτει ότι ΝΑΝΕ = ΝΑΝΖ   , οπότε ΝΕ=ΝΖ, δηλαδή το Ν είναι μέσο του ΕΖ.
Επειδή ΓΝΔ = 90° και ΒΕ//ΓΝ, ΒΖ//ΔΝ, θα είναι και EΒZ=90° , δηλαδή το τρίγωνο ΕΒΖ είναι ορθογώνιο στο Β με διάμεσο ΒΝ, οπότε ΝΒ = ΝΕ = ΝΖ (6).

ΚΕΦΑΛΑΙΟ 7

Από τις σχέσεις (4) και (6) έχουμε ΝΑΝΒ = μν .

Άρα ο ζητούμενος γεωμετρικός τόπος είναι ο κύκλος με διάμετρο ΓΔ.

Κατασκευή

Αν δοθούν τα σημεία Α και Β και ο λόγος μν , διαιρούμε το τμήμα ΑΒ εσωτερικά και εξωτερικά σε λόγο μν όπως στο πρόβλημα 2, § 7.7 και βρίσκουμε τα Γ και Δ. Στη συνέχεια γράφουμε τον κύκλο με διάμετρο ΓΔ.

Διερεύνηση

Αν είναι μν =1 , τότε ΜΑΜΒ = 1  ή ΜΑ = ΜΒ. Άρα το Μ ισαπέχει από τα Α και Β, οπότε ο ζητούμενος γεωμετρικός τόπος είναι η μεσοκάθετος του τμήματος ΑΒ.


ΠΑΡΑΤΗΡΗΣΗ
Ο προηγούμενος γεωμετρικός τόπος λέγεται Απολλώνιος κύκλος, από το όνομα του Έλληνα μαθηματικού Απολλωνίου που πρώτος μελέτησε το θέμα.
Γενικά υπάρχουν άπειροι απολλώνιοι κύκλοι ως προς δύο σημεία Α και Β. Για να ορισθεί κάποιος από αυτούς, όταν δοθούν τα Α και Β, χρειάζεται να δοθεί ο λόγος μν ή ένα από τα σημεία Γ, Α, ή ισοδύναμα, ένα τυχαίο σημείο του απολλώνιου κύκλου, ώστε ο λόγος να είναι προσδιορισμένος.


ΑΣΚΗΣΕΙΣ ΓΙΑ ΛΥΣΗ

Ερωτήσεις Κατανόησης

1. Να εξηγήσετε γιατί τα ίχνη Δ, Ε της εσωτερικής και εξωτερικής διχοτόμου της γωνίας A, τριγώνου ΑΒΓ, είναι συζυγή αρμονικά των Β και Γ.
2. Αν ΑΔ είναι η διχοτόμος τριγώνου ΑΒΓ και ΔΒ = γ2 να δικαιολογήσετε γιατί β + γ = 2α.
3. Τι ονομάζεται Απολλώνιος κύκλος ως προς δυο σημεία Α και Β; Πόσοι τέτοιοι Απολλώνιοι κύκλοι υπάρχουν; Με ποιους τρόπους μπορεί να ορισθεί κάποιος από αυτούς;

Εικόνα4. Στο διπλανό σχήμα είναι ΑΔ η διχοτόμος, I το έγκεντρο και Ια το παράκεντρο του τριγώνου ΑΒΓ. Τα σημεία (Α,Δ) και (Ι,Ια) αποτελούν αρμονική τετράδα; Να δικαιολογήσετε την απάντησή σας.

5. Ο γεωμετρικός τόπος των σημείων του επιπέδου που οι αποστάσεις τους από δύο ορισμένα σημεία Α και Β έχουν λόγο λ=1 είναι:
i) Κύκλος διαμέτρου ΑΒ ii) Η μεσοκάθετος του ΑΒ
iii) Το μέσο Μ του ΑΒ iv) Κανένα από τα παραπάνω.
(Να δικαιολογήσετε την απάντησή σας).


ΑΝΑΛΟΓΙΕΣ

Ασκήσεις Εμπέδωσης

1. Η διάμεσος ΑΜ και η διχοτόμος ΒΔ τριγώνου ΑΒΓ τέμνονται στο Ε. Να αποδείξετε ότι ΑΕΕΜ= 2 ΑΔΔΓ .
2. Δίνεται τρίγωνο ΑΒΓ με ΑΒ=6, ΒΓ=10, ΑΓ=9. Αν ΑΔ, ΑΕ η εσωτερική και εξωτερική διχοτόμος της γωνίας A, να υπολογισθεί το ΔΕ.
3. Δίνεται τρίγωνο ΑΒΓ με A = 90° και η διάμεσός του ΑΜ. Αν η διχοτόμος της γωνίας AΜB τέμνει την ΑΒ στο Δ και την προέκταση της ΓΑ στο Ε, να αποδείξετε ότι ΕΑ • ΔΒ = ΕΓ • ΑΔ.
4. Αν Μ είναι το μέσο της πλευράς ΒΓ ενός τριγώνου ΑΒΓ και οι διχοτόμοι των γωνιών AΜB και ΑΜΓ τέμνουν τις πλευρές ΑΒ και ΑΓ στα Δ και Ε αντίστοιχα, να αποδείξετε ότι ΔΕ//ΒΓ.
5. Αν ΑΔ, ΒΕ και ΓΖ είναι οι διχοτόμοι των γωνιών ενός τριγώνου ΑΒΓ, να αποδείξετε ότι:

ΔΒΔΓΕΓΕΑΖΑΖΒ = 1 .

Διατυπώστε και αποδείξτε ανάλογη πρόταση για τις εξωτερικές διχοτόμους.
6. Δίνεται ισοσκελές τρίγωνο ΑΒΓ (ΑΒ = ΑΓ) εγγεγραμμένο σε κύκλο (Ο,Β). Αν Δ τυχαίο σημείο του τόξου ΒΓ και η ΑΔ τέμνει την πλευρά ΒΓ στο Ε, να αποδείξετε ότι ΕΔ • ΔΓ = ΕΓ • ΔΒ.
7. Σε ένα ημικύκλιο διαμέτρου ΑΒ φέρουμε τις εφαπτόμενες στα άκρα της διαμέτρου, καθώς και μία εφαπτομένη σε τυχαίο σημείο του Ε, που τέμνει την ευθεία ΑΒ στο Ζ και τις άλλες δύο εφαπτόμενες στα Γ και Δ. Να αποδείξετε ότι τα σημεία Γ, Δ είναι συζυγή αρμονικά των Ε, Ζ.
8. Δύο πλευρές ενός τριγώνου είναι 20m και 36m. Η διχοτόμος της γωνίας, η οποία περιέχεται μεταξύ των δύο αυτών πλευρών, διαιρεί την τρίτη πλευρά σε δύο μέρη, τα οποία διαφέρουν κατά 12m. Να υπολογισθεί η τρίτη πλευρά.

Αποδεικτικές Ασκήσεις

1. Δίνονται οι διαδοχικές γωνίες xÔy = yÔz = zÔt = 45° και τα σημεία Α, Δ των Οx, Ot αντίστοιχα, τέτοια ώστε OA = ΟΔ. Αν Β, Γ είναι τα σημεία τομής της ΑΔ με τις Oy, ΟZ αντίστοιχα, να αποδείξετε ότι ΑΒ2 = ΒΓ •ΑΔ.
2. Από το μέσο Μ της πλευράς ΒΓ ενός τριγώνου ΑΒΓ φέρουμε την παράλληλη στη διχοτόμο του ΑΔ, που

τέμνει τις ΑΒ, ΑΓ στα Ε, Ζ αντίστοιχα. Να αποδείξετε ότι ΒΕ = ΓΖ.
3. Δίνεται τρίγωνο ΑΒΓ, η διχοτόμος του ΑΔ και το έγκεντρό του I.
i) Να υπολογισθεί ο λόγος ΑΙΙΔ ως συνάρτηση των πλευρών α, β, γ του τριγώνου.
ii) Αν β + γ = 2α και Κ το βαρύκεντρο του τριγώνου, τότε: α) ΙΚ//ΒΓ , β) ΖΕ = β+γ3 όπου Ζ, Ε τα σημεία τομής των ΑΒ, ΑΓ αντίστοιχα με την ευθεία ΙΚ.

4. Αν οι διχοτόμοι των γωνιών Β και Γ ενός τριγώνου ΑΒΓ, τέμνουν τη διάμεσό του ΑΜ στα Δ και Ε αντίστοιχα, να αποδείξετε ότι ΑΔΔΜ + ΑΕΕΜ . > 2.
5. Οι μη παράλληλες πλευρές τραπεζίου ΑΒΓΔ (ΑΒ//ΓΔ) τέμνονται στο Ο. Αν η διχοτόμος της γωνίας ΑΟΒ τέμνει τις ΑΒ, ΓΔ στα Ε και Ζ αντίστοιχα, να αποδείξετε ότι:
i) ΖΔ•ΒΓ = ΖΓ•ΑΔ ,
ii) ΕΑ•ΒΓ = ΕΒ•ΑΔ .

Σύνθετα θέματα

1. Δίνεται τρίγωνο ΑΒΓ εγγεγραμμένο σε κύκλο (Ο,R). Αν η κάθετη διάμετρος ΚΛ στη ΒΓ τέμνει τις ΑΒ, ΑΓ στα Ε, Ζ αντίστοιχα, να αποδείξετε ότι τα Ε, Ζ είναι συζυγή αρμονικά των Κ, Λ.
2. Αν οι διχοτόμοι δύο απέναντι γωνιών τετραπλεύρου ΑΒΓΔ τέμνονται πάνω στη διαγώνιο που ενώνει τις δύο άλλες κορυφές του, τότε είναι ΑΒ • ΓΔ = ΑΔ • ΒΓ. Να εξετασθεί αν ισχύει η αντίστροφη πρόταση.
3. Δίνεται τόξο ΑΒ κύκλου (Ο,R). Να ορίσετε σημείο Μ του τόξου ΑΒ τέτοιο ώστε ΜΑΜΒ = μν , όπου μ, ν δοσμένα τμήματα.
4. Δίνεται παραλληλόγραμμο ΑΒΓΔ και τα σημεία Ε, Ζ των πλευρών του ΑΔ, ΑΒ αντίστοιχα, ώστε ΔΕ = ΒΖ. Αν Η είναι το σημείο τομής των ΒΕ και ΔΖ, να αποδείξετε ότι η ΓΗ είναι διχοτόμος της γωνίας ΒΓΔ.
5. Να κατασκευάσετε τρίγωνο ΑΒΓ με βάση ΒΓ=α, ύψος ΑΗ=υ και ΑΒΑΓ = μν , όπου μ,ν δοσμένα τμήματα.

KΕΦΑΛΑΙΟ 7

ΓΕΝΙΚΕΣ ΑΣΚΗΣΕΙΣ

1. Δίνονται δύο κύκλοι (Κ,R) και (Λ,ρ) που εφάπτονται εξωτερικά στο Α. Φέρουμε το κοινό εφαπτόμενο τμήμα τους ΑΕ και την ΑΒ κάθετη στη ΑΕ . Να αποδείξετε ότι

ΑΒ = 2RρR+ρ .

2. Μια μεταβλητή ευθεία ε, διέρχεται από το βαρύκεντρο Θ ενός τριγώνου ΑΒΓ και τέμνει τις πλευρές ΑΒ, ΑΓ στα Α, Ε αντίστοιχα. Να αποδείξετε ότι

ΔΒΔΑ + ΕΓΕΑ = 1 .

3. i) Θεώρημα Μενελάου. Δίνεται τρίγωνο ΑΒΓ και ευθεία ε που τέμνει τις ευθείες ΑΒ, ΒΓ, ΓΑ στα Α, Ε, Ζ αντίστοιχα. Να αποδείξετε ότι

ΔΑΔΒΕΒΕΓΖΓΖΑ = 1 .

ii) Θεώρημα Ceva. Δίνεται τρίγωνο ΑΒΓ και τα σημεία Α, Ε, Ζ των ευθειών ΒΓ, ΓΑ, ΑΒ, αντίστοιχα. Αν οι ευθείες ΑΔ, ΒΕ και ΓΖ συντρέχουν, τότε ισχύει:

ΔΒΔΓΕΓΕΑΖΑΖΒ = 1 .

Να εξετασθεί και για τα δύο θεωρήματα, αν ισχύει το αντίστροφο.
4. Δίνεται παραλληλόγραμμο ΑΒΓΔ. Αν η διχοτόμος της γωνίας ΒAΓ τέμνει τη ΒΑ στο Ε και τη ΒΓ στο Ζ, να αποδείξετε ότι ΕΑΕΖ - = 1 .
5. Δίνεται κύκλος διαμέτρου ΑΒ και χορδή ΓΑ κάθετη στην ΑΒ. Αν Μ είναι σημείο της χορδής και οι ευθείες ΜΑ και ΜΒ τέμνουν τον κύκλο στα Ε και Ζ αντίστοιχα, να αποδείξετε ότι ΕΖ •ΖΔ = ΕΔ • ΖΓ.

6. Αν τα σημεία (Α,Β) και (Γ,Α) αποτελούν αρμονική τετράδα και το Β είναι μεταξύ των Γ, Α, να αποδείξετε ότι:
i) ΟΑ2 = ΟΓ • ΟΑ, όπου Ο το μέσο του ΑΒ.
ii) 2ΑΒ = 1ΑΓ +
1ΑΔ .
7. Να κατασκευαστεί εσωτερική ημιευθεία Αx της γωνίας A τριγώνου ΑΒΓ τέτοια, ώστε αν Α, Ε είναι οι προβολές των Β, Γ στην Αx αντίστοιχα, να είναι = μν , όπου μ, ν είναι γνωστά τμήματα.
8. Δίνεται γωνία xÔy και σταθερό σημείο Α στο εσωτερικό της γωνίας. Να κατασκευασθεί ευθεία, που να διέρχεται από το Α και να τέμνει τις πλευρές της γωνίας στα σημεία Β και Γ, ώστε:
i) το Α να είναι μέσο του ΒΓ,
ii) να είναι ΑΒ = 23 ΒΓ και
iii) να είναι AB = μν ,
όπου μ, ν είναι γνωστά τμήματα.
9. Δύο κύκλοι (Κ,R) και (Λ,ρ) τέμνονται στα σημεία Α και Α'. Να κατασκευασθεί ευθεία, που να διέρχεται από το Α και να τέμνει τους κύκλους στα σημεία Β και Γ, ώστε να είναι:
i) AB = ΑΓ,      ii) AB = 34 .

10. Αν ΑΔ, ΒΕ, ΓΖ είναι οι διχοτόμοι ενός τριγώνου ΑΒΓ και Ι είναι το έγκεντρο του τριγώνου, να αποδείξετε ότι

IA + ΙΒΙΕ + ΙΓΙΖ ≥ 6 .




Δραστηριότητες

Εικόνα1. Να αποδείξετε το αντίστροφο του θεωρήματος του Θαλή.
2. Δίνεται ευθύγραμμο τμήμα ΒΓ και τυχαίο σημείο Α του επιπέδου, διαφορετικό των Β και Γ. Να κατασκευάσετε τον Απολλώνιο κύκλο ως προς τα Β και Γ, ο οποίος διέρχεται από το Α.
3. Δίνεται τρίγωνο ΑΒΓ και η διχοτόμος του ΑΔ. Να εξετάσετε αν τα Β και Γ ανήκουν στον ίδιο Απολλώνιο κύκλο ως προς τα Δ και Α. Να κατασκευάσετε τον παραπάνω κύκλο και να βρείτε το λόγο MA. ως συνάρτηση των πλευρών α, β, γ του τριγώνου, όπου Μ τυχαίο σημείο του κύκλου.

Εργασία

Δίνεται ευθύγραμμο τμήμα ΑΒ και σημείο Γ της ευθείας ΑΒ. Να βρεθεί το αρμονικό συζυγές του Γ ως προς τα Α και Β (δύο περιπτώσεις).

ΑΝΑΛΟΓΙΕΣ

ΙΣΤΟΡΙΚΟ ΣΗΜΕΙΩΜΑ
Μέτρηση

Στα πρώτα στάδια ανάπτυξης της κοινωνίας η μέτρηση γινόταν «με το μάτι», αφού το μέτρο δεν είχε διακριθεί ως ανεξάρτητη ιδιότητα ενός αντικειμένου. Στην πορεία ανάπτυξης της κοινωνίας, όταν τέτοιου είδους «ποιοτικά» μέτρα κρίθηκαν ανεπαρκή, εμφανίσθηκαν κάποια φυσικά μέτρα, που ήταν συνήθως μέρη του ανθρώπινου σώματος, όπως το μήκος του ποδιού, το πλάτος της παλάμης κ.ά. Για την ύπαρξη τέτοιων μέτρων μαρτυρούν και οι ονομασίες των μέτρων μήκους που διατηρήθηκαν μέχρι σήμερα, όπως «πόδι», «δάκτυλος», «παλάμη» κ. α. Τα μέτρα αυτά χρησιμοποιούνταν αρχικά για τον προσδιορισμό της ισότητας των μετρούμενων μεγεθών ή της ισοδυναμίας των σχημάτων. Το μέτρο ενός μεγέθους Α ήταν το πλησιέστερο ακέραιο πολλαπλάσιο της μονάδας Ε.
Η ανάγκη για πιο ακριβείς μετρήσεις οδήγησε στη χρήση υποδιαιρέσεων της μονάδας μέτρου. Έτσι εμφανίστηκαν τα πρώτα «συγκεκριμένα κλάσματα», ως μέρη των συγκεκριμένων μέτρων από όπου προήλθαν. Η ιστορική διαδικασία γένεσης των συγκεκριμένων κλασμάτων ως αποτέλεσμα της ανάγκης μέτρησης επιβεβαιώνεται από την ανομοιομορφία του συμβολισμού των κλασμάτων αυτού του τύπου. Στη Βαβυλώνα τα σύμβολα για το 1/2, το 1/3 και το 2/3 είναι ταυτόχρονα και σύμβολα δοχείων, δηλαδή συγκεκριμένων μέτρων όγκου. Στην αρχαία Αίγυπτο διακρίνονται τα φυσικά κλάσματα (1/2, 1/3, 1/4 και 2/3), που διαμορφώθηκαν από άμεσες πρακτικές ανάγκες και έχουν ιδιάζουσα ονοματολογία και ιερογλυφικό συμβολισμό, και τα αλγοριθμικά κλάσματα, που ήταν της μορφής 1/ν, και εμφανίσθηκαν ως προϊόν μαθηματικής επεξεργασίας.
Η ανεξαρτητοποίηση του κλάσματος από το συνυφασμένο πεδίο μεγεθών ήταν πολύ πιο αργή από τη διαμόρφωση της έννοιας του φυσικού αριθμού. Δεν έγινε γρήγορα αντιληπτό ότι οι αριθμητικές ιδιότητες των κλασμάτων δεν εξαρτώνται από τις ιδιότητες του πεδίου μεγεθών, στο οποίο ανήκουν.
Η πρώτη Ελληνική θεωρία μέτρησης. Μία από τις σημαντικές διαφορές της Ελληνικής μαθηματικής παράδοσης από την Αιγυπτιακή και τη Βαβυλωνιακή είναι ότι τα προβλήματα της μέτρησης συνεχών μεγεθών τίθενται σε νέα θεωρητική βάση. Οι μαθηματικοί αρχίζουν να αναζητούν μεθόδους μέτρησης

με βάση κάποια αφηρημένη μονάδα μέτρου μήκους, επιφανείας ή όγκου. Και εδώ δεν εννοούμε εμπειρικές μεθόδους (προσεγγιστικού) προσδιορισμού του μέτρου που να ικανοποιούν πρακτικές ανάγκες. Απαιτείται η απόδειξη της ύπαρξης ενός τέτοιου μέτρου. Η νέα αυτή προσέγγιση απαιτούσε την εισαγωγή νέων θεωρητικών εννοιών και νέων τρόπων συλλογισμού. Κάθε συγκεκριμένο είδος μεγεθών είναι συνυφασμένο με ορισμένο τρόπο σύγκρισης των φυσικών αντικειμένων ή σωμάτων. Τα ευθύγραμμα τμήματα, π.χ. μπορούν να συγκριθούν με τη βοήθεια της έννοιας της «εφαρμογής» του ενός επί του άλλου, η οποία οδηγεί στην έννοια του μήκους: δύο ευθύγραμμα τμήματα έχουν το ίδιο μήκος αν με τη μεταφορά του ενός επί του άλλου «εφαρμόζουν», ενώ το ένα υπολείπεται του άλλου τότε το πρώτο είναι μικρότερο του δεύτερου. Τα βάρη είναι μεγέθη άλλου είδους. Δεν έχει νόημα το ερώτημα αν το βάρος του σώματος είναι μεγαλύτερο, ίσο, ή μικρότερο από το μήκος ενός ευθύγραμμου τμήματος. Έτσι, τα μήκη, τα εμβαδά, οι όγκοι, είναι διαφορετικά είδη μεγεθών. Το πρόβλημα της μέτρησης ενός μεγέθους Α με τη βοήθεια της μονάδας Ε συνίσταται αρχικά, στην αρχαία Ελλάδα στο να βρεθεί πόσες φορές περιέχεται η μονάδα στο Α, δηλαδή ζητείται ο αριθμός α τέτοιος, ώστε A = αΕ, όπου Α και Ε είναι μεγέθη του αυτού είδους. Ένα μέγεθος Χ είναι κοινό μέτρο δύο μεγεθών Α και Β, όταν περιέχεται ακέραιο αριθμό φορών στα μεγέθη αυτά, δηλ. Α =αΧ, B =βΧ. Τότε τα μεγέθη λέγονται σύμμετρα.
Οι αρχαίοι Έλληνες γεωμέτρες είχαν βρει μια αποτελεσματική διαδικασία με την οποία μπορούσαν να βρουν το κοινό μέτρο δύο μεγεθών Α και Β, αν υπάρχει. Πρόκειται για τη διαδικασία της ανθυφαίρεσης ή ανταναίρεσης (γνωστής σήμερα ως αλγόριθμος του Ευκλείδη), η οποία εκτίθεται στις δύο πρώτες προτάσεις του Βιβλίου VII των «Στοιχείων» του Ευκλείδη. Αν υποθέσουμε ότι Α>Β, τότε αφαιρούμε το Β από το Α όσες φορές γίνεται. Αν δεν περισσεύει υπόλοιπο, τότε το Β μετρά ακριβώς το Α και είναι το κοινό μέτρο. Ειδεμή έχουμε υπόλοιπο Β1, με Β>Β1. Εφαρμόζουμε την ίδια διαδικασία στα Β, Β1. Αν δεν προκύπτει υπόλοιπο, το Β1 είναι το κοινό μέτρο, ειδεμή έχουμε ένα νέο υπόλοιπο Β2. Αν η επανάληψη

ΚΕΦΑΛΑΙΟ 7

ΙΣΤΟΡΙΚΟ ΣΗΜΕΙΩΜΑ
αυτής της διαδικασίας τερματιστεί σε κάποιο Βν που μετρά ακριβώς το Αν τότε το Βν είναι το ζητούμενο κοινό μέτρο. Αν ο αλγόριθμος δεν τερματίζεται τα δύο μεγέθη είναι ασύμμετρα. Πιθανότατα στο Θεαίτητο να ανήκει η ιδέα να εφαρμοστεί η ανθυφαίρεση ως κριτήριο ασυμμετρίας δύο τμημάτων. Το κριτήριο αυτό αποδεικνύεται στην Πρόταση 2 του Βιβλίου Χ των «Στοιχείων».
Η ανακάλυψη ότι δεν υπάρχει κοινό μέτρο της διαγωνίου και της πλευράς του τετραγώνου αποδίδεται στον Πυθαγόρα. Το πώς ακριβώς έγινε αυτή η ανακάλυψη παραμένει θέμα ανοικτό για το οποίο έχουν προταθεί ποικίλες ερμηνείες. Όμως η ανακάλυψη αυτή, καθώς και οι δυσκολία λύσης του προβλήματος του τετραγωνισμού του κύκλου (βλ. Τα μη επιλύσιμα γεωμετρικά προβλήματα της αρχαιότητας) έδωσαν νέα ώθηση στα μαθηματικά των μετρούμενων μεγεθών.
Η γενική θεωρία των αναλογιών του Ευδόξου. Η ύπαρξη ασύμμετρων μεγεθών οδήγησε στη διατύπωση μιας νέας θεωρίας από τον Εύδοξο τον Κνίδιο που εκτίθεται στο Βιβλίο V των «Στοιχείων» του Ευκλείδη. Η νέα θεωρία των αναλογιών στηρίζεται στη γενική έννοια του μεγέθους, περιλαμβάνοντας έτσι και τους αριθμούς και τα άλλα συνεχή μεγέθη (μήκη, επιφάνειες, όγκοι). Η έννοια αυτή εισάγεται αξιωματικά με τη βοήθεια των Κοινών Εννοιών στο Βιβλίο I που ορίζουν τις σχέσεις ισότητας και ανισότητας.
Ο Εύδοξος ορίζει πότε δύο ζεύγη Αρχιμήδειων μεγεθών α,β και γ,δ έχουν τον ίδιο λόγο με τη βοήθεια των πολλαπλασίων αυτών των μεγεθών, δηλαδή όταν: 1) μα > νβ και μγ > νδ ή 2) μα=νβ και μγ = νδ, ή 3) μα ανάλογα. Η σχέση της αναλογίας είναι σχέση τύπου ισότητας, δηλαδή συμμετρική και μεταβατική, και έτσι τα ζεύγη μεγεθών διαμερίζονται σε κλάσεις ισοδυναμίας ζευγών που έχουν τον ίδιο λόγο. Έτσι, ο λόγος μπορεί να εισαχθεί ως το κοινό χαρακτηριστικό που έχουν τα ζεύγη μεγεθών μιας κλάσης.
Η γενική θεωρία των αναλογιών αποτελεί τη βάση της μεθόδου της εξάντλησης, η οποία εφαρμόστηκε από τους αρχαίους Έλληνες στη μέτρηση (μη στοιχειωδών) επιφανειών και όγκων. Στηρίζεται στην ιδέα ότι αν από κάποιο μέγεθος αφαιρέσουμε περισσότερο από το μισό, από το υπόλοιπο επίσης κ.ο.κ., τότε μετά από
πεπερασμένο αριθμό βημάτων παίρνουμε υπόλοιπο μικρότερο από οποιοδήποτε δεδομένο μέγεθος («Στοιχεία», Βιβλίο Χ, Πρόταση 1). Με άλλα λόγια, η διαφορά ανάμεσα σε μιά μεταβλητή ποσότητα που τείνει σε ένα όριο, και στο όριο αυτό, μπορεί να γίνει όσο μικρή θέλουμε με υποδιπλασιασμό της. Με τη βοήθεια της μεθόδου της εξάντλησης ο Εύδοξος απέδειξε τα παρακάτω θεωρήματα:
1. Τα εμβαδά δύο κύκλων έχουν λόγο ίσο προς το λόγο των τετραγώνων των διαμέτρων τους.
2. Ο όγκος πυραμίδας ισούται με το 1/3 του όγκου του πρίσματος με την ίδια βάση και ύψος.
3. Ο όγκος του κώνου ισούται με το 1/3 του όγκου του κυλίνδρου με την ίδια βάση και ύψος.
Με την ίδια μέθοδο ο Αρχιμήδης βρήκε ένα πλήθος νέων εμβαδών και όγκων, όπως το εμβαδόν της παράπλευρης επιφάνειας κυλίνδρου και κώνου, το εμβαδόν της επιφάνειας σφαίρας, τον όγκο της σφαίρας κ.ά.
Αρχιμήδεια και μη Αρχιμήδεια μεγέθη. Για να ισχύει η θεωρία των αναλογιών πρέπει να ορίζεται ο λόγος ανάμεσα στα συγκρινόμενα μεγέθη α,β. Αυτό εξασφαλίζεται αν υπάρχουν ακέραιοι μ και ν τέτοιοι, ώστε μα>β και νβ>α («Στοιχεία», Βιβλίο V, Ορισμός 4). Η συνθήκη αυτή ονομάζεται σήμερα αξίωμα του Ευδόξου (ή, συχνότερα, αξίωμα Αρχιμήδη - Ευδόξου). Τα μεγέθη για τα οποία ικανοποιείται το αξίωμα αυτό λέγονται σήμερα Αρχιμήδεια.
Ας σημειωθεί πως μη Αρχιμήδεια μεγέθη ήταν γνωστά στην Ελληνική αρχαιότητα, όπως οι λεγόμενες κερατοειδείς γωνίες. Πρόκειται για τη γωνία που σχηματίζεται π.χ. από το τόξο περιφέρειας και την εφαπτομένη στο ένα άκρο της, δηλαδή το μέρος του επιπέδου που περιέχεται μεταξύ του τόξου και της εφαπτομένης στο σημείο επαφής. Οσοδήποτε και αν μεγαλώσει μια τέτοια γωνία δεν μπορεί ποτέ να υπερβεί τη γωνία που σχηματίζεται από την εφαπτομένη και οποιαδήποτε τέμνουσα του τόξου στο σημείο τομής. Ένα τέτοιο μέγεθος α, το οποίο πολλαπλασιαζόμενο επί οποιονδήποτε πεπερασμένο αριθμό ν παραμένει μικρότερο του μεγέθους β, ονομάζεται ενεργεία απειροστό ως προς το β, ή αντίθετα, το β λέγεται ενεργεία άπειρο μέγεθος ως προς το α.

ΑΝΑΛΟΓΙΕΣ

ΑΝΑΚΕΦΑΛΑΙΩΣΗ

Μέγεθος λέγεται οτιδήποτε επιδέχεται αύξηση ή ελάττωση. Στη Γεωμετρία έχουμε τα γεωμετρικά μεγέθη.

• Ένα ευθύγραμμο τμήμα ΓΔ λέγεται υποδιαίρεση του ΑΒ, αν υπάρχει ένας φυσικός αριθμός ν, ώστε ΓΔ = ΑΒν .

• Ένα ευθύγραμμο τμήμα ΓΔ λέγεται γινόμενο του ΑΒ επί το θετικό ρητό q = μν (μ > 0, αριθμό ν>0), αν είναι άθροισμα μ ευθύγραμμων τμημάτων ίσων με = ΑΒν .

• Αν για δυο μη μηδενικά ευθύγραμμα τμήματα ΑΒ και ΓΔ υπάρχει ρητός q = μν τέτοιος, ώστε ΓΔ = qΑΒ, τα δύο ευθύγραμμα τμήματα λέγονται σύμμετρα και ο αριθμός λέγεται λόγος των δύο τμημάτων.

• Μια κοινή υποδιαίρεση ΚΛ = ΑΒν = ΓΔμλέγεται και κοινό μέτρο των ΑΒ και ΓΔ. Δύο σύμμετρα ευθύγραμμα τμήματα είναι ακέραια πολλαπλάσια κάθε κοινού τους μέτρου.

• Δύο ευθύγραμμα τμήματα που δεν είναι σύμμετρα λέγονται ασύμμετρα και ο λόγος τους είναι ένας άρρητος αριθμός.

Τα ευθύγραμμα τμήματα α, γ, λέγονται ανάλογα προς τα τμήματα β, δ όταν είναι αβ = γδ .

Αναλογία τμημάτων λέγεται κάθε ισότητα της μορφής αβ = γδ όπου α, β, γ, δ είναι ευθύγραμμα τμήματα.

Μέτρο ενός ευθύγραμμου τμήματος α είναι ο λόγος του α προς ένα άλλο τμήμα που παίρνουμε αυθαίρετα ως μονάδα μέτρησης. Έτσι:
- Δύο ίσα τμήματα έχουν ίσα μέτρα και αντίστροφα.
- Ο λόγος των μέτρων δύο τμημάτων, που μετρώνται με την ίδια μονάδα μέτρησης, ισούται με το λόγο των δύο τμημάτων.

• Αν για τα διαφορετικά συνευθειακά σημεία Α, Β, Μ ισχύει ΜΑΜΒ = λ , τότε λέμε ότι το Μ διαιρεί το ευθύγραμμο τμήμα ΑΒ σε λόγο λ.
- Το Μ διαιρεί εσωτερικά ή εξωτερικά το τμήμα ΑΒ σε λόγο λ, αν το Μ είναι αντίστοιχα μεταξύ των Α και Β ή στην προέκταση του ΑΒ.
- Το σημείο Μ που διαιρεί ή εσωτερικά ή εξωτερικά το τμήμα ΑΒ σε λόγο λ είναι μοναδικό.

• Θεώρημα Θαλή
- Τρεις τουλάχιστον παράλληλες ευθείες:

Αν ε1//ε2//ε3, τότε ΑΒΕΖ = ΒΓΖΗ ΑΓΕΗ .

Αντίστροφο: Αν ε1//ε2 και ΑΒΒΓ = ΕΖΖΗ , τότε ΓΗ//ε1//ε2.

Εικόνα

ΚΕΦΑΛΑΙΟ 7

ΑΝΑΚΕΦΑΛΑΙΩΣΗ

- Στο τρίγωνο

Εικόνα

Αν ΔΕ//ΒΓ, τότε ΑΔΑΕ = ΔΒΕΓ και ΑΔΑΒ = ΑΕΑΓ = ΔΕΒΓ .

Αντίστροφο: Αν ΑΔΑΕ = ΔΒΕΓ , τότε ΔΕ//ΒΓ

• Γεωμετρικές κατασκευές
- Κατασκευή τετάρτης αναλόγου
- Διαίρεση ευθύγραμμου τμήματος εσωτερικά και εξωτερικά σε δοσμένο λόγο

• Συζυγή αρμονικά
Δύο σημεία Γ και Δ που διαιρούν εσωτερικά και εξωτερικά το τμήμα ΑΒ στον ίδιο λόγο, λέγονται συζυγή αρμονικά των Α και Β.

• Θεωρήματα διχοτόμων

Εικόνα

Εσωτερικής διχοτόμου Εξωτερικής διχοτόμου

• Τα ίχνη Δ και Ε της εσωτερικής και εξωτερικής διχοτόμου της γωνίας A, τριγώνου ΑΒΓ, είναι σημεία συζυγή αρμονικά ως προς τα Β και Γ.

Εικόνα

Απολλώνιος κύκλος ως προς τα σημεία Α και Β λέγεται κάθε κύκλος διαμέτρου ΓΔ, όπου τα Γ και Δ είναι συζυγή αρμονικά των Α και Β.