Άλγεβρα (Α Λυκείου) - Βιβλίο Μαθητή (Εμπλουτισμένο)
Επαναληπτικές Ασκήσεις Επιστροφή στην αρχική σελίδα του μαθήματος

ΥΠΟΔΕΙΞΕΙΣ - ΑΠΑΝΤΗΣΕΙΣ ΑΣΚΗΣΕΩΝ

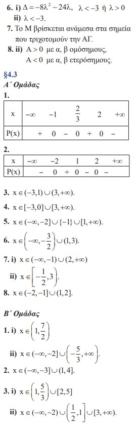
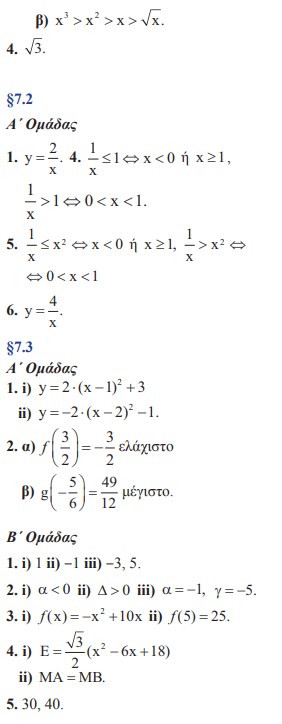
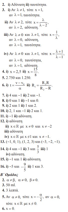
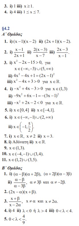
text text
title
text text
title
text text
title
text text
title
text text
title
text text
title
text text
title
text text
text

 

 

Βάσει του ν. 3966/2011 τα διδακτικά βιβλία του Δημοτικού, του Γυμνασίου, του Λυκείου, των ΕΠΑ.Λ. και των ΕΠΑ.Σ. τυπώνονται από το ΙΤΥΕ - ΔΙΟΦΑΝΤΟΣ και διανέμονται δωρεάν στα Δημόσια Σχολεία. Τα βιβλία μπορεί να διατίθενται προς πώληση, όταν φέρουν στη δεξιά κάτω γωνία του εμπροσθόφυλλου ένδειξη «ΔΙΑΤΙθΕΤΑΙ μΕ ΤΙμή ΠώΛήΣήΣ». Κάθε αντίτυπο που διατίθεται προς πώληση και δεν φέρει την παραπάνω ένδειξη θεωρείται κλεψίτυπο και ο παραβάτης διώκεται σύμφωνα με τις διατάξεις του άρθρου 7 του Νόμου 1129 της 15/21 μαρτίου 1946 (ΦΕΚ 1946, 108, Α΄).

 

 

 

 

 

 

 

 

Απαγορεύεται η αναπαραγωγή οποιουδήποτε τμήματος αυτού του βιβλίου, που καλύπτεται από δικαιώματα (copyright), ή η χρήση του σε οποιαδήποτε μορφή, χωρίς τη γραπτή άδεια του Υπουργείου Παιδείας, Διά Βίου Μάθησης και Θρησκευμάτων/ΙΤΥΕ - ΔΙΟΦΑΝΤΟΣ.