Άλγεβρα (Α Λυκείου) - Βιβλίο Μαθητή (Εμπλουτισμένο)
Κεφάλαιο 5: Πρόοδοι Κεφάλαιο 7: Μελέτη Βασικών Συναρτήσεων Επιστροφή στην αρχική σελίδα του μαθήματος
ΒΑΣΙΚΕΣ ΕΝΝΟΙΕΣ
ΤΩΝ ΣΥΝΑΡΤΗΣΕΩΝ
Κεφάλαιο
6

6.1 Η ΕΝΝΟΙΑ ΤΗΣ ΣΥΝΑΡΤΗΣΗΣ

Εισαγωγή

Σε πολλά καθημερινά φαινόμενα εμφανίζονται δύο μεγέθη, τα οποία μεταβάλλονται έτσι, ώστε η τιμή του ενός να καθορίζει την τιμή του άλλου. Η διαδικασία με την οποία κάθε τιμή του ενός μεγέθους αντιστοιχίζεται σε μια ακριβώς τιμή του άλλου μεγέθους, πολλές φορές περιγράφεται από ένα μαθηματικό τύπο, όπως φαίνεται στα παρακάτω παραδείγματα.

  1. Ο τόκος Τ σε ευρώ που αποδίδει κεφάλαιο 5000 ευρώ σε ένα έτος με ετήσιο επιτόκιο ε%, δίνεται κατά τα γνωστά από τον τύποpic61. Ο τύπος αυτός περιγράφει μια διαδικασία, με την οποία κάθε τιμή του ε αντιστοιχίζεται σε μια ακριβώς τιμή του Τ. Για παράδειγμα, αν ε = 3 τότε Τ = 150 , ενώ αν ε = 5, τότε Τ = 250 κτλ.
  2. Το διάστημα S σε km που διανύ-θηκε από ποδηλάτη σε χρονικό διάστημα 2h, με μέση ταχύτητα υ σε km/h, δίνεται από τον τύπο S = 2υ . Ο τύπος αυτός περιγράφει μια διαδικασία, με την οποία κάθε τιμή του υ αντιστοιχίζεται σε μια ακριβώς τιμή του S. Για παράδειγμα, αν υ = 60, τότε S = 120 , ενώ αν υ = 70, τότε S = 140 , κτλ.
  3. Το εμβαδό Ε ενός κύκλου ακτίνας ρ δίνεται από τον τύπο Ε = πρ2. Ομοίως και ο τύπος αυτός περιγράφει μια διαδικασία, με την οποία κάθε τιμή του ρ αντιστοιχίζεται σε μια ακριβώς τιμή του Ε. Για παράδειγμα αν ρ = 1, τότε Ε = π, ενώ αν ρ = 2, τότε Ε = 4π κτλ.

Υπάρχουν όμως και περιπτώσεις όπου η διαδικασία αντιστοίχισης ανάμεσα στις τιμές δύο μεγεθών δεν περιγράφεται ή έστω δεν γνωρίζουμε αν περιγράφεται από κάποιο τύπο. Για παράδειγμα:

  • Οι ώρες της ημέρας και οι αντίστοιχες θερμοκρασίες τους.
  • Οι μέρες του έτους και οι τιμές ενός ξένου νομίσματος (π.χ. του δολαρίου).

Παρατηρούμε ότι σε όλα τα παραπάνω παραδείγματα υπάρχει κάποια διαδικασία, με την οποία κάθε στοιχείο ενός συνόλου Α αντιστοιχίζεται σε ένα ακριβώς στοιχείο κάποιου άλλου συνόλου Β. Μια τέτοια διαδικασία λέγεται συνάρτηση από το Α στο Β. Δηλαδή:

ΟΡΙΣΜΟΣ

Συνάρτηση από ένα σύνολο Α σε ένα σύνολο Β λέγεται μια διαδικασία (κανόνας) με την οποία κάθε στοιχείο του συνόλου Α αντιστοιχίζεται σε ένα ακριβώς στοιχείο του συνόλου Β.


Το σύνολο Α λέγεται πεδίο ορισμού ή σύνολο ορισμού της ƒ .

Οι συναρτήσεις παριστάνονται συνήθως με τα μικρά γράμματα ƒ, g, h κτλ. του Λατινικού αλφαβήτου.

Αν με μια συνάρτηση ƒ από το Α στο Β, το x pic03 Α αντιστοιχίζεται στο ypic03Β , τότε γράφουμε:

y = ƒ(x)

και διαβάζουμε «y ίσον ƒ του x». Το ƒ(x) λέγεται τότε τιμή της ƒ στο x. Το γράμμα x, που παριστάνει οποιοδήποτε στοιχείο του πεδίου ορισμού της ƒ, ονομάζεται ανεξάρτητη μεταβλητή, ενώ το y, που παριστάνει την τιμή της συνάρτησης στο x, ονομάζεται εξαρτημένη μεταβλητή.

Το σύνολο, που έχει για στοιχεία του τις τιμές ƒ(x) για όλα τα xpic03Α, λέγεται σύνολο τιμών της ƒ και το συμβολίζουμε με ƒ(Α) .

Η παραπάνω συνάρτηση συμβολίζεται ως εξής:

pic62

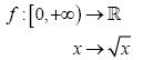
Έτσι π.χ. η συνάρτηση ƒ με την οποία κάθε μη αρνητικός αριθμός αντιστοιχίζεται στην τετραγωνική του ρίζα, συμβολίζεται ως εξής:

pic63

Για καλύτερη κατανόηση του παραπάνω ορισμού ας δούμε τα παραδείγματα που ακολουθούν:

ΠΑΡΑΔΕΙΓΜΑ 1o

Έστω ƒ η συνάρτηση με την οποία κάθε ημέρα μιας ορισμένης εβδομάδας ενός μήνα αντιστοιχίζεται στην υψηλότερη θερμοκρασία της.

pic64

Για τη συνάρτηση αυτή, το πεδίο ορισμού είναι το σύνολο

Α = {1, 2, 3, 4, 5, 6, 7},

ενώ το σύνολο τιμών το σύνολο

ƒ (Α) = {9o, 11o, 12o, 13o, 15o} ⊆ Β

Με αφορμή το παράδειγμα αυτό τονίζουμε τα ακόλουθα χαρακτηριστικά μιας συνάρτησης pic65.

  • Κάθε στοιχείο του Α αντιστοιχίζεται σε ένα ακριβώς στοιχείο του Β.
  • Μερικά στοιχεία του Β μπορεί να μην αποτελούν τιμές της ƒ (π.χ. 18o).
  • Δύο ή περισσότερα στοιχεία του Α μπορεί να αντιστοιχίζονται στο ίδιο στοιχείο του Β (π.χ. τα 3 και 7 αντιστοιχίζονται στο 13°).

ΠΑΡΑΔΕΙΓΜΑ 2o

Θεωρούμε τα σύνολα Α = {α, β, γ} και Β = {1, 2, 3, 4, 5}, καθώς επίσης και τα παρακάτω σχήματα (βελοδιαγράμματα). Παρατηρούμε ότι:

  • Το σχήμα (α) παριστάνει συνάρτηση, αφού κάθε στοιχείο του Α αντιστοιχίζεται σε ένα ακριβώς στοιχείο του Β.
  • Το σχήμα (β) δεν παριστάνει συνάρτηση, αφού το α $\in$ Α αντιστοιχίζεται σε δύο στοιχεία του Β.
  • Το σχήμα (γ) δεν παριστάνει συνάρτηση, αφού το γ$\in$Α δεν αντιστοιχίζεται σε κανένα στοιχείο του Β.
  • Το σχήμα (δ) δεν παριστάνει συνάρτηση. Πρώτον διότι το γ$\in$Α δεν αντιστοιχίζεται σε κανένα στοιχείο του Β και δεύτερον διότι το α$\in$Α αντιστοιχίζεται σε δύο στοιχεία του Β.

pic66

Συντομογραφία συνάρτησης

Είδαμε παραπάνω ότι, για να οριστεί μια συνάρτηση ƒ, πρέπει να δοθούν τρία στοιχεία:

  • Το πεδίο ορισμού της Α
  • Το σύνολο Β και
  • Το ƒ(x) για κάθε x$\in$Α

Οι συναρτήσεις, με τις οποίες θα ασχοληθούμε στο βιβλίο αυτό, είναι της μορφής pic65, όπου Α ⊆ ℝ και Β ⊆ ℝ , είναι δηλαδή, όπως λέμε, πραγματικές συναρτήσεις μιας πραγματικής μεταβλητής.

Πολλές φορές αναφερόμαστε σε μια συνάρτηση ƒ δίνοντας μόνον τον τύπο με τον οποίο εκφράζεται το ƒ(x) . Λέμε π.χ. δίνεται «η συνάρτηση ƒ, με f(x) = $\sqrt{1-4x}$» ή, πιο σύντομα, «η συνάρτηση f(x) = $\sqrt{1-4x}$ » ή, ακόμα, «η συνάρτηση y = $\sqrt{1-4x}$».

Σε μια τέτοια περίπτωση θα θεωρούμε συμβατικά ότι:

  • Το πεδίο ορισμού Α της ƒ είναι το «ευρύτερο» από τα υποσύνολα του ℝ στα οποία το ƒ(x) έχει νόημα.
  • Το σύνολο Β είναι ολόκληρο το σύνολο ℝ των πραγματικών αριθμών.

Έτσι για τη συνάρτηση f(x) = $\sqrt{1-4x}$ το πεδίο ορισμού είναι το σύνολο $A = \left(- \infty, \dfrac{1}{4}\right]$, αφού πρέπει 1 - 4x ≥ 0, ενώ το σύνολο Β είναι όλο το ℝ .

ΣΗΜΕΙΩΣΗ

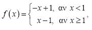
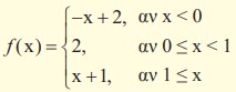
Πολλές φορές μια συνάρτηση περιγράφεται με έναν τύπο που έχει κλάδους, όπως για παράδειγμα η συνάρτηση:

$f(x) = \begin{cases} x^2 + 1 , & \text{αν x

Για να υπολογίσουμε τις τιμές της ƒ στα σημεία -1, 0 και 1 εργαζόμαστε ως εξής:

  • Για x = -1 < 0, από τον κλάδο ƒ(x) = x2 + 1, έχουμε:

ƒ(-1) = (-1)2 + 1 = 1 + 1 = 2.

  • Για x = 0, από τον κλάδο ƒ(x) = x - 1, έχουμε:

ƒ(0) = 0 - 1 = -1.

  • Τέλος, για x = 1 ≥ 0, από τον κλάδο ƒ(x) = x - 1, έχουμε:

ƒ(1) = 1 - 1 = 0.



ΣΧΟΛΙΟ

Αν και, γενικά, χρησιμοποιούμε το γράμμα f για τα συμβολισμό μιας συνάρτησης και το γράμμα χ για το συμβολισμό του τυχαίου στοιχείου του πεδίου ορισμού της, ωστόσο μπορούμε να χρησιμοποιήσουμε και άλλα γράμματα. Έτσι για παράδειγμα οι

ƒ(x) = x2 - 4x + 7, g(t) = t2 - 4t + 7 και h(s) = s2 - 4s + 7

ορίζουν την ίδια συνάρτηση.

Επομένως το x στον τύπο μιας συνάρτησης θα παίζει το ρόλο μιας «άδειας θέσης». Με αυτό το σκεπτικό, η παραπάνω συνάρτηση θα μπορούσε να έχει τη μορφή

ƒ( ) = ( )2 - 4 ( ) + 7,

όπου οι παρενθέσεις έχουν πάρει τη θέση ενός γράμματος.

Έτσι για να υπολογίσουμε το ƒ(-2) απλά τοποθετούμε το -2 στις θέσεις, που ορίζουν οι παρενθέσεις:

ƒ(-2) = (-2)2 - 4(-2) + 7

= 4 + 8 + 7 = 19

Ομοίως, έχουμε

ƒ(3x) = (3x)2 - 4(3x) + 7

= 9x2 - 12x + 7

Υπάρχει όμως και μια παραπέρα απλοποίηση των εκφράσεών μας που σχετίζονται με συναρτήσεις. Πολλές φορές αντί να λέμε «η συνάρτηση $s = \dfrac{1}{2}gt^2$», θα λέμε «η συνάρτηση $s = \dfrac{1}{2}gt^2$», δηλαδή γράφουμε s υπονοώντας το s(t). Αυτή η απλοποίηση γίνεται συχνότατα σε διάφορες επιστήμες, που χρησιμοποιούν τη μαθηματική γλώσσα και τα μαθηματικά εργαλεία, όπως η φυσική, η χημεία κτλ. Συνήθως στις περιπτώσεις αυτές υπάρχει κάποιο πείραμα, όπου το t είναι η τιμή ενός μεγέθους, που υπεισέρχεται στο πείραμα, και το s(t) η αντίστοιχη τιμή κάποιου άλλου μεγέθους.

Μικροπείραμα μικροπείραμα      Μικροπείραμα μικροπείραμα      Μικροπείραμα μικροπείραμα

ΕΦΑΡΜΟΓΗ

Να βρεθεί το πεδίο ορισμού της συνάρτησης

$f(x) = \dfrac{1}{x-2} + \sqrt{x-1}$.

ΛΥΣΗ

Η συνάρτηση ƒ ορίζεται για εκείνα μόνο τα x για τα οποία ισχύει

x - 2 ≠ 0 και x - 1 ≥ 0

ή, ισοδύναμα, για

x ≠ 2 και x ≥ 1

Άρα το πεδίο ορισμού της ƒ είναι το σύνολο Α = [1,2) $\cup$ (2, +∞) (Σχήμα)

pic614

Μικροπείραμα μικροπείραμα

ΑΣΚΗΣΕΙΣ Α' ΟΜΑΔΑΣ
1.

Να βρείτε το πεδίο ορισμού των παρακάτω συναρτήσεων:

i) $f(x) = \dfrac{4}{x-1} + 5$                 ii) $f(x) = \dfrac{x^2-16}{x^2-4x}$

iii) $f(x) = \dfrac{1}{x^2+1}$                 iv) $f(x) = \dfrac{1}{|x| +x}$.

2.

Ομοίως των συναρτήσεων:

i) $f(x) = \sqrt{x-1} + \sqrt{2-x}$                 ii) $f(x) = \sqrt{x^2-4}$

iii) $f(x) = \sqrt{-x^2+4x-3}$                 iv) $f(x) = \dfrac{1}{\sqrt{x}-1}$.

Μικροπείραμα μικροπείραμα      Μικροπείραμα μικροπείραμα      Μικροπείραμα μικροπείραμα

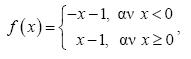
3.

Δίνεται η συνάρτηση

$f(x) = \begin{cases} x^3 , & \text{αν x

Να βρείτε τις τιμές ƒ(-5), ƒ(0) και ƒ (6).

4.

Μια συνάρτηση ƒ ορίζεται ως εξής:

"Σκέψου έναν φυσικό αριθμό, πρόσθεσε σ' αυτόν το 1, πολλαπλασίασε το άθροισμα με 4 και στο γινόμενο πρόσθεσε το τετράγωνο του αριθμού".

i) Να βρείτε τον τύπο της ƒ και στη συνέχεια τις τιμές της για x = 0 , x =1, x = 2 και x = 3. Τι παρατηρείτε;

ii) Να βρείτε τους φυσικούς αριθμούς x για τους οποίους ισχύει

ƒ(x) = 36, ƒ(x) = 49, ƒ(x) = 100 και ƒ(x) = 144.

5.

Δίνονται οι συναρτήσεις:

i) $f(x) = \dfrac{4}{x-1} + 5$                 ii) $g(x) = \dfrac{x^2-16}{x^2-4x}$      και     iii) $h(x) = \dfrac{1}{x^2+1}$ .

Να βρείτε τις τιμές του x για τις οποίες ισχύει:

i) $f(x) = 7$                 ii) $g(x) = 2$      και     iii) $h(x) = \dfrac{1}{5}$.

Μικροπείραμα μικροπείραμα

6.2 ΓΡΑΦΙΚΗ ΠΑΡΑΣΤΑΣΗ ΣΥΝΑΡΤΗΣΗΣ

Καρτεσιανές συντεταγμένες

Η παράσταση ενός σημείου του επιπέδου με ένα διατεταγμένο ζεύγος πραγματικών αριθμών, βοήθησε στην επίλυση γεωμετρικών προβλημάτων με αλγεβρικές μεθόδους. Η παράσταση αυτή, όπως μάθαμε σε προηγούμενες τάξεις, γίνεται ως εξής:

Πάνω σε ένα επίπεδο σχεδιάζουμε δύο κάθετους άξονες x'x και y'y με κοινή αρχή ένα σημείο Ο. Από αυτούς ο οριζόντιος x'x λέγεται άξονας των τετμημένων ή άξονας των x, ενώ ο κατακόρυφος y'y άξονας των τεταγμένων ή άξονας των y.

Όπως είναι γνωστό, σε κάθε σημείο Μ του επιπέδου των αξόνων μπορούμε να αντιστοιχίσουμε ένα διατεταγμένο ζεύγος (α, β) πραγματικών αριθμών και αντιστρόφως, σε κάθε διατεταγμένο ζεύγος (α, β) πραγματικών αριθμών, μπορούμε να αντιστοιχίσουμε ένα μοναδικό σημείο Μ του επιπέδου, όπως φαίνεται στο σχήμα:

pic620

Οι αριθμοί α, β λέγονται συντεταγμένες του Μ. Ειδικότερα ο α λέγεται τετμημένη και ο β τεταγμένη του σημείου Μ. Το σημείο Μ που έχει συντεταγμένες α και β συμβολίζεται με Μ(α, β) ή, απλά, με (α, β).

Επειδή η ιδέα της χρησιμοποίησης ζευγών για την παράσταση σημείων του επιπέδου ανήκει στον Καρτέσιο, το παραπάνω ζεύγος των αξόνων το λέμε καρτεσιανό σύστημα συντεταγμένων στο επίπεδο και το συμβολίζουμε Οxy , ενώ το επίπεδο στο οποίο ορίστηκε το σύστημα αυτό το λέμε καρτεσιανό επίπεδο. Αν επιπλέον οι μονάδες των αξόνων έχουν το ίδιο μήκος, το σύστημα Οxy λέγεται ορθοκανονικό.

Μικροπείραμα μικροπείραμα

ΣΗΜΕΙΩΣΗ

Στα επόμενα, εκτός αν αναφέρεται διαφορετικά, όταν λέμε καρτεσιανό σύστημα συντεταγμένων, θα εννοούμε ορθοκανονικό καρτεσιανό σύστημα συντεταγμένων.



Ας θεωρήσουμε τώρα ένα σύστημα Oxy συντεταγμένων στο επίπεδο. Τότε:

  • Τα σημεία του άξονα x'x και μόνο αυτά έχουν τεταγμένη ίση με το μηδέν, ενώ τα σημεία του άξονα y'y και μόνο αυτά έχουν τετμημένη ίση με το μηδέν.
  • Οι άξονες χωρίζουν το επίπεδο σε τέσσερα τεταρτημόρια, που είναι τα εσωτερικά των γωνιών pic621 και ονομάζεται 1o, 2o, 3o και 4o, τεταρτημόριο, αντιστοίχως. Τα πρόσημα των συντεταγμένων των σημείων τους φαίνονται στο παρακάτω σχήμα.
pic622
  • Αν Α (α, β) είναι ένα σημείο του καρτεσιανού επιπέδου, με τη βοήθεια της συμμετρίας ως προς άξονα και ως προς κέντρο, διαπιστώνουμε ότι:
  • Το συμμετρικό του ως προς τον άξονα x'x είναι το σημείο Δ (α,-β), που έχει ίδια τετμημένη και αντίθετη τεταγμένη (Σχ. α').
  • Το συμμετρικό του ως προς τον άξονα y'y είναι το σημείο Β(-α,β), που έχει ίδια τεταγμένη και αντίθετη τετμημένη (Σχ. α').
  • Το συμμετρικό του ως προς την αρχή των αξόνων είναι το σημείο Γ (-α,-β), που έχει αντίθετες συντεταγμένες (Σχ. α').
  • Το συμμετρικό του ως προς τη διχοτόμο της 1ης και 3ης γωνίας των αξόνων είναι το σημείο Α'(β,α) που έχει τετμημένη την τεταγμένη του Α και τεταγμένη την τετμημένη του Α (Σχ. β').

pic623

Απόσταση σημείων

Έστω Oxy ένα σύστημα συντεταγμένων στο επίπεδο και Α(x1,y1) και Β(x2,y2) δύο σημεία αυτού. Θα δείξουμε ότι η απόστασή τους δίνεται από τον τύπο:

$(ΑΒ) = \sqrt{(x_2 - x_1)^2 + (y_2 - y_1)^2}$.

ΑΠΟΔΕΙΞΗ

Από το ορθογώνιο τρίγωνο ΚΑΒ του παρακάτω σχήματος έχουμε:

$(AB)^2$ $ = (KA)^2 + (KB)^2$
   $= |x_2 - x_1|^2 + |y_2 - y_1|^2$
   $=(x_2-x_1)^2+(y_2-y_1)^2$

οπότε:

$(AB) = \sqrt{(x_2-x_1)^2 + (y_2-y_1)^2}$.

pic625

Ο παραπάνω τύπος ισχύει και στην περίπτωση που η ΑΒ είναι παράλληλη με τον άξονα x'x (Σχήμα γ') ή παράλληλη με τον άξονα y'y (Σχήμα δ').

pic625

(Σχήμα γ') (Σχήμα δ')

Για παράδειγμα, αν Α(3,1), Β(3,5) και Γ (-1,1) είναι οι κορυφές ενός τριγώνου ΑΒΓ, τότε θα είναι:

$(AB) = \sqrt{(3-3)^2 + (5-1)^2} = \sqrt{4^2} = 4$
$(AΓ) = \sqrt{(-1-3)^2 + (1-1)^2} = \sqrt{4^2} = 4$
$(BΓ) = \sqrt{(-1-3)^2 + (1-5)^2} = \sqrt{4^2+4^2} = 4\sqrt{2}.$

Αφού, λοιπόν, είναι (ΑΒ) = (ΑΓ), το τρίγωνο ΑΒΓ είναι ισοσκελές και επειδή επιπλέον ισχύει (ΑΒ)2 + (ΑΓ)2 = 32 = (ΒΓ)2, το τρίγωνο ΑΒΓ είναι και ορθογώνιο .

ΕΦΑΡΜΟΓΗ

Έστω C o κύκλος με κέντρο την αρχή O των αξόνων και ακτίνα ρ. Να αποδειχτεί ότι ένα σημείο Μ (x, y) ανήκει στον κύκλο C, αν και μόνο αν ισχύει x2 + y2 = ρ2

ΑΠΟΔΕΙΞΗ

Είναι προφανές ότι ένα σημείο Μ(x,y) ανήκει στον κύκλο C, αν και μόνο αν ισχύει (ΟΜ) = ρ . Όμως $(OM) = \sqrt{x^2+y^2}$, οπότε έχουμε:

pic630

$(OM) = ρ ⇔ \sqrt{x^2 + y^2} = ρ ⇔ x^2 + y^2 = ρ^2$

Επομένως το σημείο Μ (x,y) ανήκει στο κύκλο C (Ο,ρ), αν και μόνο αν οι συντεταγμένες του ικανοποιούν την εξίσωση

$ x^2 + y^2 = ρ^2$    (1)

Η εξίσωση (1), που ικανοποιείται από τις συντεταγμένες των σημείων του κύκλου C (Ο, ρ) και μόνο από αυτές, λέγεται εξίσωση του κύκλου με κέντρο Ο και ακτίνα ρ.

Για παράδειγμα, η εξίσωση του κύκλου με κέντρο Ο και ακτίνα ρ = 1 είναι η x2 + y2 = 1. Ο κύκλος αυτός λέγεται και μοναδιαίος κύκλος.

Γραφική παρασταση συνάρτησης

Έστω ƒ μια συνάρτηση με πεδίο ορισμού Α και Oxy ένα σύστημα συντεταγμένων στο επίπεδο. Το σύνολο των σημείων M (x, y) για τα οποία ισχύει y = ƒ(x), δηλαδή το σύνολο των σημείων M (x, ƒ(x)), x$\in$A, λέγεται γραφική παράσταση της ƒ και συμβολίζεται συνήθως με Cƒ . Η εξίσωση, λοιπόν, y = ƒ(x) επαληθεύεται από τα σημεία της Cƒ και μόνο από αυτά. Επομένως, η y = ƒ(x) είναι η εξίσωση της γραφικής παράστασης της ƒ. Για το λόγο αυτό, τη γραφική παράσταση Cƒ της ƒ τη συμβολίζουμε, πολλές φορές, απλά με την εξίσωσή της, δηλαδή με y = ƒ(x).

Επειδή κάθε x$\in$ A αντιστοιχίζεται σε ένα μόνο y$\in$ℝ , δεν υπάρχουν σημεία της γραφικής παράστασης της ƒ με την ίδια τετμημένη. Αυτό σημαίνει ότι κάθε κατακόρυφη ευθεία έχει με τη γραφική παράσταση της ƒ το πολύ ένα κοινό σημείο (Σχ. α'). Έτσι, ο κύκλος δεν αποτελεί γραφική παράσταση συνάρτησης (Σχ. β').

pic634

Όταν δίνεται η γραφική παράσταση μιας συνάρτησης ƒ μπορούμε, επίσης, να σχεδιάσουμε και τη γραφική παράσταση της συνάρτησης -ƒ, παίρνοντας τη συμμετρική της γραφικής παράστασης της ƒ ως προς τον άξονα x'x και τούτο διότι η γραφική παράστασης της -ƒ αποτελείται από τα σημεία M'(x,-ƒ(x)) που είναι συμμετρικά των σημείων M(x, ƒ(x)) της γραφικής παράστασης της ƒ ως προς τον άξονα x'x .

pic635

ΕΦΑΡΜΟΓΗ

Στο παρακάτω σχήμα δίνονται οι γραφικές παραστάσεις δύο συναρτήσεων ƒ και g , που είναι ορισμένες σε όλο το ℝ.

i) Να βρείτε τις τιμές της ƒ στα σημεία:

3, -2, -1, 0, 1 και 2

ii) Να λύσετε τις εξισώσεις:

ƒ(x) = 0, ƒ(x) = 2 και ƒ(x) = g(x)

iii)Να λύσετε τις ανισώσεις:

ƒ(x) > 0 και ƒ(x) > g( x).

pic636

ΛΥΣΗ

i) Είναι:

ƒ(-3) = 2, ƒ(-2) = 0, ƒ(-1) = -1, ƒ(0 ) = -1, ƒ(1) = 0 και ƒ(2) = 2.

ii) Οι ρίζες της εξίσωσης ƒ(x) = 0 είναι οι τετμημένες των κοινών σημείων της γραφικής παράστασης της f και του άξονα x'x, δηλαδή οι αριθμοί x1 = -2 και x2 = 1.

Οι ρίζες της εξίσωσης ƒ(x) = 2 είναι οι τετμημένες των σημείων της γραφικής παράστασης της ƒ που έχουν τεταγμένη 2, δηλαδή οι αριθμοί x1 = -3 και x2 = 2 .

Οι ρίζες της εξίσωσης ƒ(x) = g(x) είναι οι τετμημένες των κοινών σημείων των γραφικών παραστάσεων των συναρτήσεων ƒ και g , δηλαδή οι αριθμοί x1 = -1, x2 = 0 και x3 = 2 .

iii) Οι λύσεις της ανίσωσης ƒ(x) > 0 είναι οι τετμημένες των σημείων της γραφικής παράστασης της ƒ που βρίσκονται πάνω από τον άξονα x'x, δηλαδή όλα τα x$\in$(-∞, -2) $\cup$ (1, +∞).

Οι λύσεις της ανίσωσης ƒ(x) > g(x) είναι οι τετμημένες των σημείων της γραφικής παράστασης της ƒ που βρίσκονται πάνω από τη γραφική παράσταση της g , δηλαδή όλα τα x$\in$(-∞, -1) $\cup$ (0,2).

Μικροπείραμα μικροπείραμα

ΑΣΚΗΣΕΙΣ Α' ΟΜΑΔΑΣ
1.

Να σημειώσετε σε ένα καρτεσιανό επίπεδο τα σημεία:

Α(-1,2), Β(3,4), Ο(0,0), Γ(3,0), Δ(0,-5) και Ε(-2,-3).

2.

Ένα σημείο Μ (x,y) κινείται μέσα στο ορθογώνιο ΑΒΓΔ του παρακάτω σχήματος. Ποιοι περιορισμοί ισχύουν για τα x, y ;

Μικροπείραμα μικροπείραμα

pic637

3.

Να βρείτε το συμμετρικό του σημείου Α (-1,3),

  1. ως προς τον άξονα x' x
  2. ως προς τον άξονα y' y
  3. ως προς τη διχοτόμο της γωνίας $x\hat{Ο}y$
  4. ως προς την αρχή O των αξόνων.
4.

Να βρείτε τις αποστάσεις των σημείων:

i) O(0, 0) και Α(4, -2)
ii) Α(‒1,1) και Β(3,4)
iii) Α(‒3,‒1) και Β(1,‒1)
iv) Α(1,‒1) και Β(1,4).

5.

Να αποδείξετε ότι:

  1. Τα σημεία Α(1,2), Β(4,-2) και Γ(-3,5) είναι κορυφές ισοσκελούς τριγώνου.
  2. Τα σημεία Α(1,-1), Β(-1,1) και Γ(4,2) είναι κορυφές ορθογωνίου τριγώνου.
6.

Να σχεδιάσετε το πολύγωνο με κορυφές τα σημεία:

Α(2,5), Β(5,1) , Γ(2,-3) , Δ(-1,1)

και στη συνέχεια να αποδείξετε ότι αυτό είναι ρόμβος.

7.

Σε καθεμιά από τις παρακάτω περιπτώσεις να βρείτε την τιμή του k για την οποία το σημείο Μ ανήκει στη γραφική παράσταση της συνάρτησης.

  1. ƒ(x) = x2 + k , Μ (2,6)
  2. g(x) = kx3, Μ (-2,8)
  3. $h(x) = k \sqrt{x + 1}$, M(3, 8).

Μικροπείραμα μικροπείραμα

8.

Σε καθεμιά από τις παρακάτω περιπτώσεις, να βρείτε τις συντεταγμένες των κοινών σημείων της γραφικής παράστασης της συνάρτησης με τους άξονες.

i) $f(x) = x - 4$                      ii) $g(x) = (x - 2)(x - 3)$

iii) $h(x) = (x-1)^2$              iv)$q(x) = x^2 + x + 1$

v) $φ(x) = x\sqrt{x-1}$              vi) $ψ(x) = x\sqrt{x^2 - 4}$.

Μικροπείραμα μικροπείραμα

9.

Δίνεται η συνάρτηση ƒ(x) = x2 -1. Να βρείτε:

  1. Τα σημεία τομής της Cƒ με τους άξονες.
  2. Τις τετμημένες των σημείων της Cƒ που βρίσκονται πάνω από τον άξονα x'x .

Μικροπείραμα μικροπείραμα

10.

Δίνονται οι συναρτήσεις ƒ(x) = x2 - 5x + 4 και g(x) = 2x - 6. Να βρείτε:

  1. Τα κοινά σημεία των Cƒ και Cƒ .
  2. Τις τετμημένες των σημείων της Cƒ που βρίσκονται κάτω από την Cƒ .

Μικροπείραμαμικροπείραμα

Μικροπείραμα - Άσκησημικροπείραμα

6.3 Η ΣΥΝΑΡΤΗΣΗ ƒ(x) = αx + β

Συντελεστής διεύθυνσης ευθείας

Έστω Oxy ένα σύστημα συντεταγμένων στο επίπεδο και ε μια ευθεία που τέμνει τον άξονα x'x στο σημείο Α.

pic642

Τη γωνία ω που διαγράφει η ημιευθεία Αx , όταν στραφεί γύρω από το Α κατά τη θετική φορά(1) μέχρι να πέσει πάνω στην ευθεία ε, τη λέμε γωνία που σχηματίζει η ε με τον άξονα x'x . Αν η ευθεία ε είναι παράλληλη προς τον άξονα x 'x ή συμπίπτει με αυτόν, τότε λέμε ότι η ευθεία ε σχηματίζει με τον άξονα x 'x γωνία ω = 0°. Σε κάθε περίπτωση για τη γωνία ω ισχύει

0° ≤ ω

Ως συντελεστή διεύθυνσης ή ως κλίση μιας ευθείας ε ορίζουμε την εφαπτομένη της γωνίας ω που σχηματίζει η ε με τον άξονα x'x. Ο συντελεστής διεύθυνσης μιας ευθείας ε συμβολίζεται συνήθως με λε. ή απλά με λ. Είναι φανερό ότι ο συντελεστής διεύθυνσης της ευθείας ε είναι θετικός, αν η γωνία ω είναι οξεία, αρνητικός, αν η γωνία ω είναι αμβλεία και μηδέν, αν η γωνία ω είναι μηδέν. Στην περίπτωση που η γωνία ω είναι ίση με 90°, δηλαδή όταν η ευθεία ε είναι κάθετη στον άξονα x'x, δεν ορίζουμε συντελεστή διεύθυνσης για την ε.

(1) Ως θετική φορά περιστροφής εννοούμε τη φορά κατά την οποία πρέπει να περιστραφεί ο ημιάξονας Οx για να συμπέσει με τον ημιάξονα Oy, αφού προηγουμένως διαγράψει γωνία 90°

Γραφική παράσταση της συνάρτησης ƒ(x) = αx + β

Ας θεωρήσουμε τη συνάρτηση ƒ(x) = 0,5x + 1. Όπως πρακτικά διαπιστώσαμε στο Γυμνάσιο, η γραφική παράσταση της ƒ είναι ευθεία γραμμή με εξίσωση y = 0,5x + 1 (Σχήμα).

pic643

Η ευθεία αυτή:

  • Τέμνει τον άξονα x'x στο σημείο Α(-2,0), αφού για y = 0 βρίσκουμε x = -2, και τον άξονα y'y στο σημείο Β(0,1), αφού για x = 0 βρίσκουμε y = 1 και
  • Έχει κλίση:

$λ = εφω = \dfrac{(OB)}{(OA)} = \dfrac{1}{2} = 0,5.$

Παρατηρούμε, δηλαδή, ότι η κλίση λ της ευθείας y = 0,5x + 1 είναι ίση με το συντελεστή του x.

Γενικά, όπως θα αποδείξουμε στην Β' Λυκείου, η γραφική παράσταση της συνάρτησης ƒ(x) = αx + β είναι μία ευθεία, με εξίσωση y = αx + β, η οποία τέμνει τον άξονα των y στο σημείο Β(0,β) και έχει κλίση λ = α . Είναι φανερό ότι:

  • αν α > 0 , τότε 0° < ω < 90°
  • αν α < 0, τότε 90° < ω < 180°
  • αν α = 0 , τότε ω = 0°.

Στην περίπτωση που είναι α = 0 , η συνάρτηση παίρνει την μορφή ƒ(x) = β και λέγεται σταθερή συνάρτηση, διότι η τιμή της είναι η ίδια για κάθε x$\in$ℝ.

Ας θεωρήσουμε τώρα δύο τυχαία σημεία A(x1,y1) και B(x2,y2) της ευθείας y = α - x + β .

pic645

Τότε θα ισχύει:

y1 = αx1 + β και y2 = αx2 + β,

οπότε θα έχουμε:

y2 - y1 = (αx2 + β) - (αx1 + β) = α(x2 - x1).

Επομένως θα είναι:

$α = \dfrac{y_2 - y_1}{x_2 - x_1}$

Για παράδειγμα, η ευθεία που διέρχεται από τα σημεία A(-1,3) και B(3,6) έχει κλίση $α = \dfrac{6-3}{3-(-1)} = 0,75$. Επομένως, η ευθεία αυτή σχηματίζει με τον άξονα x'x γωνία ω με εφω = 0,75, οπότε θα είναι ω $\simeq$ 36,87°.

Μικροπείραμα μικροπείραμα

Η συνάρτηση ƒ(x) = αx

Αν β = 0, τότε η ƒ παίρνει τη μορφή ƒ(x) = αx , οπότε η γραφική της παράσταση είναι η ευθεία y = αx και περνάει από την αρχή των αξόνων. Ειδικότερα:

  • Για α = 1 έχουμε την ευθεία y = x . Για τη γωνία ω, που σχηματίζει η ευθεία αυτή με τον άξονα x'x, ισχύει εφω = α = 1, δηλαδή ω = 45ο. Επομένως η ευθεία y = x είναι η διχοτόμος των γωνιών pic649 των αξόνων.
  • Για α = -1 έχουμε την ευθεία y = -x . Για τη γωνία ω, που σχηματίζει η ευθεία αυτή με τον άξονα x'x, ισχύει εφω = α = -1, δηλαδή ω = 135°. Επομένως η ευθεία y = -x είναι η διχοτόμος των γωνιών pic650 των αξόνων.

pic648

Σχετικές θέσεις δύο ευθειών

Ας θεωρήσουμε δύο ευθείες ε1 και ε2 με εξισώσεις y = α1x + β1 και y = α2x + β2 αντιστοίχως και ας υποθέσουμε ότι οι ευθείες αυτές σχηματίζουν με τον άξονα x'x γωνίες ω1 και ω2 αντιστοίχως.

  • Αν α1 = α2, τότε εφω1 = εφω2, οπότε ω1 = ω2 και άρα οι ευθείες ε1 και ε2 είναι παράλληλες ή συμπίπτουν. Ειδικότερα :
  • Αν α1 = α2 και β1β2, τότε οι ευθείες είναι παράλληλες (Σχ. α'), ενώ
  • Αν α1 = α2 και β1 = β2, τότε οι ευθείες ταυτίζονται.
  • Αν α1 ≠ α2, τότε εφω1εφω2, οπότε ω1ω2 και άρα οι ευθείες ε1 και ε2 τέμνονται. (Σχ. β')

pic651

Σύμφωνα με τα παραπάνω συμπεράσματα:

  • Οι ευθείες της μορφής y = αx +1, με α$\in$ℝ, όπως είναι για παράδειγμα οι ευθείες: y = x +1, y = - x + 1, y = 2x + 1 κτλ., διέρχονται όλες από το ίδιο σημείο, το σημείο 1 του άξονα y' y

Γενικά, οι ευθείες της μορφής y = αx + β, όπου β σταθερό και α μεταβλητό διέρχονται όλες από το σημείο β του άξονα y'y.

pic652

  • Οι ευθείες της μορφής y = 2x + β , βpic03ℝ, όπως είναι για παράδειγμα οι ευθείες: y = 2x, y = 2x - 1, y = 2x + 3 κτλ., είναι παράλληλες μεταξύ τους, αφού έχουν όλες κλίση α = 2

Γενικά, οι ευθείες της μορφής y = αx + β, όπου α σταθερό και β μεταβλητό, είναι όλες παράλληλες μεταξύ τους.

pic653

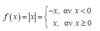
Η συνάρτηση ƒ(x) = |x|

Σύμφωνα με τον ορισμό της απόλυτης τιμής έχουμε:

pic654

Επομένως η γραφική παράσταση της συνάρτησης ƒ(x) = |x| αποτελείται από τις δύο ημιευθείες:

  • y = -x, με x ≤ 0 και
  • y = x, με x $\ge$ 0

που διχοτομούν τις γωνίες pic656 και pic657 αντιστοίχως.

pic655

Μικροπείραμα μικροπείραμα      Μικροπείραμα μικροπείραμα      Μικροπείραμα μικροπείραμα

Μικροπείραμα μικροπείραμα      Μικροπείραμα μικροπείραμα      Μικροπείραμα μικροπείραμα

ΕΦΑΡΜΟΓΗ

Στο παρακάτω σχήμα δίνεται η γραφική παράσταση μιας συνάρτησης ƒ που είναι ορισμένη σε όλο το ℝ.

  1. Να βρείτε την εξίσωση της ευθείας που διέρχεται από τα σημεία Α και Β και στη συνέχεια να δείξετε ότι η ευθεία αυτή διέρχεται και από το σημείο Γ.
  2. Να λύσετε γραφικά την ανίσωση ƒ(x) > -0,5 x + 1.

pic658

ΛΥΣΗ

i) Η ευθεία ΑΒ έχει εξίσωση της μορφής y = αx + β και επειδή διέρχεται από τα σημεία Α (2,0) και Β (0,1) θα ισχύει:

0 = α · 2 + β και 1 = α · 0 + β,

οπότε θα έχουμε:

α = -0,5 και β = 1

Άρα η εξίσωση της ΑΒ είναι:

y = -0,5 · x + 1.

pic659

Για να δείξουμε τώρα ότι το σημείο Γ ανήκει στην ευθεία ΑΒ, αρκεί να δείξουμε ότι το ζεύγος (-2,2) των συντεταγμένων του επαληθεύει την εξίσωση αυτής, δηλαδή αρκεί να δείξουμε ότι 2 = -0,5 · (-2) + 1, που ισχύει.

ii) Οι λύσεις της ανίσωσης ƒ(x) > -0,5 · x + 1 είναι οι τετμημένες των σημείων της γραφικής παράστασης της ƒ που βρίσκονται πάνω από την ευθεία με εξίσωση y = -0,5 · x + 1, δηλαδή πάνω από την ευθεία ΑΒ. Επομένως, η ανίσωση αυτή αληθεύει για x$\in$(-2,0) $\cup $ (2, +∞).

ΑΣΚΗΣΕΙΣ Α' ΟΜΑΔΑΣ
1.

Να βρείτε τη γωνία που σχηματίζει με τον άξονα x' x η ευθεία:

i) $y = x + 2$           ii) $y = \sqrt{3}x - 1$
iii) y = -x + 1          iv) $y = -\sqrt{3}x + 2$.

2.

Να βρείτε την κλίση της ευθείας που διέρχεται από τα σημεία:

i) A(1,2) και B(2,3)               ii) Α(1,2) και Β(2,1)
iii) A(2,1) και Β(‒1,1)          iv) Α(1,3) και Β(2,1).

3.

Να βρείτε την εξίσωση της ευθείας η οποία:

  1. Έχει κλίση α = -1 και τέμνει τον άξονα y'y στο σημείο B(0,2).
  2. Σχηματίζει με τον άξονα x'x γωνία ω = 45° και τέμνει τον άξονα y'y στο σημείο B(0,1).
  3. Είναι παράλληλη με την ευθεία y = 2x - 3 και διέρχεται από το σημείο A (1,1).

Μικροπείραμα μικροπείραμα

4.

Να βρείτε την εξίσωση της ευθείας που διέρχεται από τα σημεία:

i) A(1,2) και B(2,3)               ii) Α(1,2) και Β(2,1)
iii) Α(2,1) και Β(‒1,1)          iv) Α(1,3) και Β(2,1).

5.

Να αποδείξετε ότι η εξίσωση της ευθείας που παριστάνει τη σχέση μεταξύ της θερμοκρασίας C σε βαθμούς Celsius και της θερμοκρασίας F σε βαθμούς Fahrenheit είναι η

$C = \dfrac{5}{9}(F - 32)$.

Γνωρίζουμε ότι το νερό παγώνει σε 0oC ή 32°F και βράζει σε 100°C ή 212°F.

Υπάρχει θερμοκρασία που να εκφράζεται και στις δύο κλίμακες με τον ίδιο αριθμό;

6.

Να παραστήσετε γραφικά τη συνάρτηση:

pic664

7.

Στο παρακάτω σχήμα δίνονται η γραφική παράσταση μιας συνάρτησης ƒ που είναι ορισμένη σε όλο το ℝ και η ευθεία y = x.

Να λύσετε γραφικά:

i) Τις εξισώσεις:

ƒ(x) = 1 και ƒ(x) = x .

ii) Τις ανισώσεις:

ƒ(x)

Μικροπείραμα μικροπείραμα



pic665
8.

i) Στο ίδιο σύστημα συντεταγμένων να χαράξετε τις γραφικές παραστάσεις των συναρτήσεων

ƒ(x) = |x| και g(x) = 1

και με τη βοήθεια αυτών να λύσετε τις ανισώσεις:

|x| ≤ 1 και |x| > 1.

ii) Να επιβεβαιώσετε αλγεβρικά τις απαντήσεις σας στο προηγούμενο ερώτημα.

ΑΣΚΗΣΕΙΣ B' ΟΜΑΔΑΣ
1.

Η πολυγωνική γραμμή ΑΒΓΔΕ του παρακάτω σχήματος είναι η γραφική παράσταση μιας συνάρτησης ƒ που είναι ορισμένη στο διάστημα [-6,5].

pic666

i) Να βρείτε την τιμή της συνάρτησης ƒ σε κάθε ακέραιο x$\in$[-6,5].

ii) Να λύσετε τις εξισώσεις:

ƒ(x) = 0, ƒ(x) = -1 και ƒ(x) = 1

iii) Να βρείτε την εξίσωση της ευθείας ΒΔ και στη συνέχεια να λύσετε γραφικά την ανίσωση

ƒ(x) ≤ 0,5 · x .

2.

Μια φωτεινή ακτίνα κινείται κατά μήκος της ευθείας y = 1 - x και ανακλάται στον άξονα x'x. Να γράψετε την εξίσωση της ευθείας κατά μήκος της οποίας κινείται η ανακλώμενη ακτίνα.

Μικροπείραμα μικροπείραμα

3.

Σε μια δεξαμενή υπάρχουν 600 λίτρα βενζίνης. Ένα βυτιοφόρο που περιέχει 2000 λίτρα βενζίνης αρχίζει να γεμίζει τη δεξαμενή. Αν η παροχή του βυτιοφόρου είναι 100 λίτρα το λεπτό και η δεξαμενή χωράει όλη τη βενζίνη του βυτιοφόρου:

i) Να βρείτε τις συναρτήσεις που εκφράζουν, συναρτήσει του χρόνου t, την ποσότητα της βενζίνης:

α) στο βυτιοφόρο και β) στη δεξαμενή.

ii) Να παραστήσετε γραφικά τις παραπάνω συναρτήσεις και να βρείτε τη χρονική στιγμή κατά την οποία το βυτιοφόρο και η δεξαμενή έχουν την ίδια ποσότητα βενζίνης

4.

Στο παρακάτω σχήμα το σημείο Μ διαγράφει το ευθύγραμμο τμήμα ΑΒ από το Α προς το Β. Συμβολίζουμε με x το μήκος της διαδρομής ΑΜ του σημείου Μ και με ƒ(x) το εμβαδό του τριγώνου ΜΓΔ. Να βρείτε το πεδίο ορισμού και τον τύπο της συνάρτησης E = ƒ(x) και στη συνέχεια να την παραστήσετε γραφικά.

Μικροπείραμα μικροπείραμα


pic667

5.

Δύο κεριά Κ1 και Κ2, ύψους 20cm το καθένα, άρχισαν να καίγονται την ίδια χρονική στιγμή και το πρώτο κερί κάηκε σε 3 ώρες, ενώ το δεύτερο κάηκε σε 4 ώρες. Τα ύψη των κεριών Κ1 και Κ2, συναρτήσει του χρόνου t, κατά το χρονικό διάστημα που καθένα από αυτά καιγόταν, παριστάνονται με τα ευθύγραμμα τμήματα k1 και k2 του παρακάτω σχήματος.

pic668

  1. Να βρείτε τις συναρτήσεις h = h1(t) και h = h2(t) που εκφράζουν, συναρτήσει του χρόνου t, τα ύψη των κεριών Κ1 και Κ2 αντιστοίχως.
  2. Να βρείτε πότε το κερί Κ2 είχε διπλάσιο ύψος από το κερί Κ1.
  3. Να λύσετε το ίδιο πρόβλημα και στη γενική περίπτωση που το αρχικό ύψος των κεριών ήταν ίσο με υ. Τι παρατηρείτε;

Μικροπείραμα μικροπείραμα

Μικροπείραμα - Άσκησημικροπείραμα

6.4 ΚΑΤΑΚΟΡΥΦΗ - ΟΡΙΖΟΝΤΙΑ ΜΕΤΑΤΟΠΙΣΗ ΚΑΜΠΥΛΗΣ

Κατακόρυφη μετατόπιση καμπύλης

α) Ας θεωρήσουμε τη συνάρτηση ƒ(x) = |x| + 1. Επειδή

pic669

η γραφική παράσταση της συνάρτησης ƒ(x) = |x| + 1, θα αποτελείται από τις ημιευθείες

  • y = -x + 1, με x ≤ 0 και
  • y = x + 1, με x ≥ 0,

που έχουν αρχή το σημείο 1 του άξονα y' y και είναι παράλληλες με τις διχοτόμους των γωνιών pic656 και pic657 από τις οποίες, όπως είναι γνωστό, αποτελείται η γραφική παράσταση της φ(x) = |x| (Σχήμα).

pic670

Επομένως, αν μετατοπίσουμε τη γραφική παράσταση της φ(x) = |x| κατακόρυφα(1) και προς τα πάνω κατά 1 μονάδα, τότε αυτή θα συμπέσει με τη γραφική παράσταση της ƒ(x) = |x| +1. Αυτό, άλλωστε, ήταν αναμενόμενο, αφού ισχύει:

ƒ(x) = φ(x) + 1, για κάθε x$\in$ℝ,

που σημαίνει ότι για κάθε x$\in$ℝ το ƒ(x) είναι κατά 1 μονάδα μεγαλύτερο του φ(x).

Γενικά:

Η γραφική παράσταση της συνάρτησης ƒ , με:

ƒ(x) = φ(x) + c, όπου c > 0,

προκύπτει από μια κατακόρυφη μετατόπιση της γραφικής παράστασης της φ κατά c μονάδες προς τα πάνω (Σχήμα α')

(1) Δηλαδή παράλληλα με τον άξονα y'y

pic671

β) Ας θεωρήσουμε τη συνάρτηση ƒ(x) = |x| - 1. Επειδή

pic672

η γραφική παράσταση της ƒ(x) = |x| -1, θα αποτελείται από τις ημιευθείες

  • y = -x - 1, με x $\le$ 0 και
  • y = x - 1, με x $\geq$ 0,

που έχουν αρχή το σημείο -1 του άξονα y' y και είναι παράλληλες με τις διχοτόμους των γωνιών pic656 και pic657 από τις οποίες αποτελείται η γραφική παράσταση της φ(x) = |x| (Σχήμα).

pic673

Επομένως, αν μετατοπίσουμε τη γραφική παράσταση της φ(x) = |x| κατακόρυφα και προς τα κάτω κατά 1 μονάδα, τότε αυτή θα συμπέσει με τη γραφική παράσταση της ƒ(x) = |x| - 1. Αυτό, άλλωστε, ήταν αναμενόμενο, αφού ισχύει :

ƒ(x) = φ(x) - 1, για κάθε x$\in$ℝ,

που σημαίνει ότι για κάθε x$\in$ℝ το ƒ(x) είναι κατά 1 μονάδα μικρότερο του φ(x).

Γενικά:

Η γραφική παράσταση της συνάρτησης ƒ , με:

ƒ(x) = φ(x) - c, όπου c > 0 ,

προκύπτει από μια κατακόρυφη μετατόπιση της γραφικής παράστασης της φ κατά c μονάδες προς τα κάτω (Σχήμα β')

pic674

Οριζόντια μετατόπιση καμπύλης

α) Ας θεωρήσουμε τη συνάρτηση ƒ(x) = |x - 1|. Επειδή

pic675

η γραφική παράσταση της ƒ(x) = |x - 1|, θα αποτελείται από τις ημιευθείες

  • y = -x + 1, με x $\le$ 1 και
  • y = x - 1, με x $\geq$ 1,

που έχουν αρχή το σημείο 1 του άξονα x'x και είναι παράλληλες με τις διχοτόμους των γωνιών pic656 και pic657 από τις οποίες αποτελείται η γραφική παράσταση της φ(x) = |x| (Σχήμα).

pic676

Επομένως, αν μετατοπίσουμε τη γραφική παράσταση της φ(x) = |x| οριζόντια(2) και προς τα δεξιά κατά 1 μονάδα, τότε αυτή θα συμπέσει με τη γραφική παράσταση της ƒ(x) = |x -1|. Αυτό, άλλωστε, ήταν αναμενόμενο, αφού ισχύει

ƒ(x) = φ(x - 1) , για κάθε x$\in$ℝ

σημαίνει ότι η τιμή της ƒ(x) = |x -1| στη θέση x είναι ίδια με την τιμή της φ(x) = |x| στη θέση x - 1.

Γενικά:

Η γραφική παράσταση της συνάρτησης ƒ με:

ƒ(x) = φ(x - c), όπου c > 0,

προκύπτει από μια οριζόντια μετατόπιση της γραφικής παράστασης της φ κατά c μονάδες προς τα δεξιά (Σχήμα γ').

(2) Δηλαδή παράλληλα με τον άξονα x'x .

Πράγματι επειδή ƒ(x) = φ(x - c), η τιμή της ƒ στη θέση x είναι ίδια με την τιμή της φ στη θέση x - c, που βρίσκεται c μονάδες αριστερότερα της θέσης x. Άρα, η γραφική παράσταση της ƒ θα βρίσκεται c μονάδες δεξιότερα της γραφικής παράστασης της φ (Σχήμα γ').

pic677

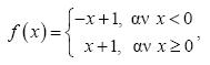
β) Ας θεωρήσουμε τη συνάρτηση ƒ(x) = |x + 1| . Επειδή

$f(x) = \begin{cases} -x-1 , & \text{αν x

η γραφική παράσταση της ƒ(x) = |x + 1|, θα αποτελείται από τις ημιευθείες

  • y = -x - 1, με x $ \le$-1 και
  • y = x + 1, με x ≥ -1,

που έχουν αρχή το σημείο -1 του άξονα x' x και είναι παράλληλες με τις διχοτόμους των γωνιών pic656 και pic657 από τις οποίες αποτελείται η γραφική παράσταση της φ(x) = |x| (Σχήμα).

pic679

Επομένως, αν μετατοπίσουμε τη γραφική παράσταση της φ(x) = |x| οριζόντια και προς τα αριστερά κατά 1 μονάδα, τότε αυτή θα συμπέσει με τη γραφική παράσταση της ƒ(x) = |x + 1|. Αυτό, άλλωστε, ήταν αναμενόμενο, αφού ισχύει

ƒ(x) = φ(x + 1) , για κάθε x$\in$ℝ ,

που σημαίνει ότι η τιμή της ƒ(x) = |x + 1| στη θέση x είναι ίδια με την τιμή της φ(x) = |x| στη θέση x + 1.

Γενικά:

Η γραφική παράσταση της συνάρτησης ƒ, με:

ƒ(x) = φ(x + c), όπου c > 0,

προκύπτει από μια οριζόντια μετατόπιση της γραφικής παράστασης της φ κατά c μονάδες προς τα αριστερά (Σχήμα δ').

Πράγματι• επειδή ƒ(x) = φ(x + c), η τιμή της ƒ στη θέση x είναι ίδια με την τιμή της φ στη θέση x + c, που βρίσκεται c μονάδες δεξιότερα της θέσης x. Άρα, η γραφική παράστα-ση της ƒ θα βρίσκεται c μονάδες αριστερότερα της γραφικής παράστασης της φ (Σχήμα δ').

pic680

Μικροπείραμα μικροπείραμα      Μικροπείραμα μικροπείραμα      Μικροπείραμα μικροπείραμα      Μικροπείραμα μικροπείραμα

ΕΦΑΡΜΟΓΗ

Να παραστεί γραφικά η συνάρτηση ƒ(x) = |x + 3| + 2:

ΛΥΣΗ

Αρχικά χαράσσουμε την y = |x + 3|, που όπως είδαμε προκύπτει από μια οριζόντια μετατόπιση της y = |x| κατά 3 μονάδες προς τα αριστερά. Στη συνέχεια χαράσσουμε την y = |x + 3| + 2,που όπως είδαμε προκύπτει από μια κατακόρυφη μετατόπιση της γραφικής παράστασης της y = |x + 3| κατά 2 μονάδες προς τα πάνω.

Επομένως, η γραφική παράσταση της

ƒ(x) = |x + 3| + 2

προκύπτει από δύο διαδοχικές μετατοπίσεις της συνάρτησης y = |x|, μιας οριζόντιας κατά 3 μονάδες προς τα αριστερά και μιας κατακόρυφης κατά 2 μονάδες προς τα πάνω (Σχήμα).

pic681

ΣΗΜΕΙΩΣΗ

Με ανάλογο τρόπο, δουλεύουμε για να παραστήσουμε γραφικά τις συναρτήσεις της μορφής:

ƒ(x) = φ(x ± c) ± d, με c, d > 0

Δηλαδή, αξιοποιούμε τόσο την οριζόντια όσο και την κατακόρυφη μετατόπιση καμπύλης.

ΑΣΚΗΣΕΙΣ Α' ΟΜΑΔΑΣ
1. Στο ίδιο σύστημα συντεταγμένων να παραστήσετε γραφικά τις συναρτήσεις:

φ(x) = |x|, ƒ(x) = |x| + 2 και g(x) = |x| - 2.

2. Ομοίως για τις συναρτήσεις

φ(x) = |x|, h(x) = |x + 2| και g(x) = |x - 2|.

3. Ομοίως για τις συναρτήσεις

φ(x) = |x|, F(x) = |x + 2| + 1 και G(x) = |x - 2| - 1.

4. Στο παρακάτω σχήμα δίνεται η γραφική παράσταση μιας συνάρτησης φ που αποτελείται από την διχοτόμο της δεύτερης γωνίας των αξόνων και από το ημικύκλιο που ανήκει στο 1ο τεταρτημόριο και έχει διάμετρο που ορίζουν τα σημεία O(0,0) και A(2,0).

pic682

Στο ίδιο σύστημα συντεταγμένων να παραστήσετε γραφικά τις συναρτήσεις:

i) ƒ(x) = φ(x) + 2 και g(x) = φ(x) - 2

ii) h(x) = φ(x + 3) και q(x) = φ(x - 3)

iii) F(x) = φ(x + 3) + 2 και G(x) = φ(x - 3) - 2.

Μικροπείραμα μικροπείραμα

5. Δίνεται η συνάρτηση $φ(x) = 2x^2 -1$. Να βρείτε τον τύπο της συνάρτησης ƒ της οποίας η γραφική παράσταση προκύπτει από δύο διαδοχικές μετατοπίσεις της γραφικής παράστασης της φ:

i) κατά 2 μονάδες προς τα δεξιά και κατά 1 μονάδα προς τα πάνω.

ii) κατά 3 μονάδες προς τα δεξιά και κατά 2 μονάδες προς τα κάτω.

iii) κατά 2 μονάδες προς τα αριστερά και κατά 1 μονάδες προς τα πάνω.

iv) κατά 3 μονάδες προς τα αριστερά και κατά 2 μονάδες προς τα κάτω.

6.5 ΜΟΝΟΤΟΝΙΑ - ΑΚΡΟΤΑΤΑ - ΣΥΜΜΕΤΡΙΕΣ ΣΥΝΑΡΤΗΣΗΣ

Μονοτονιά συνάρτησης

Στο παρακάτω σχήμα δίνεται η γραφική παράσταση της συνάρτησης T = ƒ(t) που εκφράζει τη θερμοκρασία Τ ενός τόπου συναρτήσει του χρόνου t κατά το χρονικό διάστημα από τα μεσάνυχτα μιας ημέρας (t = 0) μέχρι τα μεσάνυχτα της επόμενης μέρας (t = 24).

pic683

α) Παρατηρούμε ότι στο διάστημα [4,16] η γραφική παράσταση της θερμοκρασίας ανέρχεται.

pic684

Αυτό σημαίνει ότι στο διάστημα αυτό, με την πάροδο του χρόνου, η θερμοκρασία αυξάνεται, δηλαδή για οποιαδήποτε t1, t2 $\in$[4,16] με t1 < t2 ισχύει:

ƒ(t1) 2)

Για το λόγο αυτό λέμε ότι η συνάρτηση T = ƒ(t) είναι γνησίως αύξουσα στο διάστημα [4,16].

Γενικά:

ΟΡΙΣΜΟΣ

Μια συνάρτηση ƒ λέγεται γνησίως αύξουσα σε ένα διάστημα Δ του πεδίου ορισμού της, όταν για οποιαδήποτε x1, x2 $\in$ Δ με x12 ισχύει:

ƒ(x1) 2)

Για να δηλώσουμε ότι η συνάρτηση ƒ είναι γνησίως αύξουσα στο διάστημα Δ γράφουμε pic685.

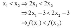
Για παράδειγμα, η συνάρτηση ƒ(x) = 2x - 3 είναι γνησίως αύξουσα στο ℝ . Πράγματι έστω x1,x2pic03ℝ, με x1 < x2. Τότε έχουμε:

pic687

Γενικά:

Η συνάρτηση ƒ(x) = αx + β, με α > 0 είναι γνησίως αύξουσα στο ℝ.

β) Στο ίδιο σχήμα, παρατηρούμε επιπλέον ότι στο διάστημα [16,24] η γραφική παράσταση της θερμοκρασίας κατέρχεται.

pic686

Αυτό σημαίνει ότι στο διάστημα αυτό, με την πάροδο του χρόνου, η θερμοκρασία μειώνεται, δηλαδή για οποιαδήποτε t1, t2$\in$[16,24] με t1 < t2 ισχύει:

ƒ(t1) > ƒ(t2)

Για το λόγο αυτό λέμε ότι η συνάρτηση T = ƒ(t) είναι γνησίως φθίνουσα στο διάστημα [16,24].

Γενικά:

ΟΡΙΣΜΟΣ

Μια συνάρτηση ƒ λέγεται γνησίως φθίνουσα σε ένα διάστημα Δ του πεδίου ορισμού της, όταν για οποιαδήποτε x1, x2$\in$Δ με x12 ισχύει:

ƒ(x1) > ƒ(x2)

Για να δηλώσουμε ότι η συνάρτηση είναι γνησίως φθίνουσα στο διάστημα Δ γράφουμε pic688

 

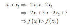
Για παράδειγμα, η συνάρτηση ƒ(x) = -2x + 5 είναι γνησίως φθίνουσα στο ℝ. Πράγματι• έστω x1, x2pic03ℝ, με x1 < x2. Τότε έχουμε:

pic687b

Γενικά:

Η συνάρτηση ƒ(x) = αx + β, με α

Μια συνάρτηση που είναι είτε γνησίως αύξουσα είτε γνησίως φθίνουσα σε ένα διάστημα Δ λέγεται γνησίως μονότονη στο Δ.

Ελάχιστο και μέγιστο συνάρτησης

Ας θεωρήσουμε και πάλι τη γραφική παράσταση της συνάρτησης T = ƒ(t) .

pic690

Παρατηρούμε ότι:

α) Τη χρονική στιγμή t1 = 4 η θερμοκρασία του τόπου παίρνει την ελάχιστη τιμή της, που είναι η ƒ(4) = 3 βαθμοί Κελσίου. Δηλαδή ισχύει:

ƒ(t) ≥ ƒ(4) = 3 , για κάθε tpic03[0,24]

Για το λόγο αυτό λέμε ότι η συνάρτηση T = ƒ(t) παρουσιάζει στο t = 4 ελάχιστο, το ƒ(4) = 3.

Γενικά:

ΟΡΙΣΜΟΣ

Μια συνάρτηση ƒ, με πεδίο ορισμού ένα σύνολο Α, λέμε ότι παρουσιάζει στο x0$\in$Α (ολικό) ελάχιστο όταν:

ƒ(x) ≥ ƒ(x0), για κάθε x$\in$Α

Το x0$\in$Α λέγεται θέση ελαχίστου, ενώ το ƒ(x0) ολικό ελάχιστο ή απλώς ελάχιστο της συνάρτησης ƒ και το συμβολίζουμε με min ƒ(x).

Για παράδειγμα, ας θεωρήσουμε τη συνάρτηση $ƒ(x) = 3x^4 + 1$. Επειδή

x4 ≥ 0, για κάθε x$\in$ℝ,

θα είναι

3x4 ≥ 0, για κάθε x$\in$ℝ ,

οπότε θα έχουμε

3x4 + 1 ≥ 1, για κάθε x$\in$ℝ.

Επομένως:

ƒ(x) ≥ ƒ(0), για κάθε x$\in$ℝ

Άρα, η ƒ παρουσιάζει ελάχιστο στο x0 = 0 , το ƒ(0) = 1

β) Τη χρονική στιγμή t2 = 16 η θερμοκρασία του τόπου παίρνει τη μέγιστη τιμή της, που είναι η T(16) = 11 βαθμοί Κελσίου. Δηλαδή ισχύει:

ƒ(t) ≤ ƒ(16) = 11, για κάθε t$\in$[0,24]

Για το λόγο αυτό λέμε ότι η συνάρτηση T = ƒ(t) παρουσιάζει στο t = 16 μέγιστο, το ƒ(16) = 11. Γενικά:

ΟΡΙΣΜΟΣ

Μια συνάρτηση ƒ, με πεδίο ορισμού ένα σύνολο Α, λέμε ότι παρουσιάζει στο x0$\in$Α (ολικό) μέγιστο όταν

ƒ(x) ≤ ƒ(x0) , για κάθε x$\in$Α

Το x0pic03Α λέγεται θέση μεγίστου, ενώ το ƒ(x0) ολικό μέγιστο ή απλώς μέγιστο της ƒ και το συμβολίζουμε με max ƒ(x) .

Για παράδειγμα, ας θεωρήσουμε τη συνάρτηση ƒ(x) = -3x4 + 1. Επειδή

x4 ≥ 0, για κάθε x$\in$ℝ,

θα είναι

-3x4 ≤ 0 , για κάθε x$\in$ℝ,

οπότε θα έχουμε

-3x4 + 1 ≤ 1, για κάθε x$\in$ℝ .

Επομένως:

ƒ(x) ≤ ƒ(0), για κάθε x$\in$ℝ

Άρα, η ƒ παρουσιάζει μέγιστο στο x0 = 0 , το ƒ(0) = 1.

Το (ολικό) μέγιστο και το (ολικό) ελάχιστο μιας συνάρτησης λέγονται ολικά ακρότατα αυτής.

ΣΧΟΛΙΟ

Μια συνάρτηση ενδέχεται να έχει και μέγιστο και ελάχιστο (Σχ. α) ή μόνο ελάχιστο (Σχ. β') ή μόνο μέγιστο (Σχ. γ') ή να μην έχει ούτε μέγιστο ούτε ελάχιστο (Σχ. δ').


pic692

Άρτια συνάρτηση

α) Στο παρακάτω σχήμα δίνεται η γραφική παράσταση Cƒ μιας συνάρτησης ƒ που έχει πεδίο ορισμού όλο το R . Παρατηρούμε ότι η Cƒ έχει άξονα συμμετρίας τον άξονα y'y, αφού το συμμετρικό κάθε σημείου της Cƒ ως προς τον άξονα y'y ανήκει στην Cƒ . pic693

Επειδή, όμως, το συμμετρικό του τυχαίου σημείου M(x,y) της Cƒ ως προς τον άξονα y'y είναι το σημείο M'(-x,y) και επειδή τα σημεία M(x,y) και M'(-x,y) ανήκουν στην Cƒ , θα ισχύει y = ƒ(x) και y = ƒ(-x), οπότε θα έχουμε:

ƒ(-x) = ƒ(x)

Η συνάρτηση ƒ με την παραπάνω ιδιότητα λέμε λέγεται άρτια. Γενικά:

ΟΡΙΣΜΟΣ

Μια συνάρτηση ƒ, με πεδίο ορισμού ένα σύνολο Α, θα λέγεται άρτια, όταν για κάθε x$\in$Α ισχύει:

-x$\in$Α και ƒ(-x) = ƒ(x)

Η γραφική παράσταση μιας άρτιας συνάρτησης έχει άξονα συμμετρίας τον άξονα y 'y

Για παράδειγμα, η συνάρτηση ƒ(x) = 2x4 - x2 + 1 είναι άρτια συνάρτηση, αφού έχει πεδίο ορισμού όλο το ℝ και για κάθε x$\in$ℝ ισχύει:

ƒ(-x) = 2(-x)4 - (-x)2 + 1 = 2x4 - x2 + 1 = ƒ(x)

Συνεπώς, η γραφική της παράσταση έχει άξονα συμμετρίας τον άξονα y'y .

Περιττή συνάρτηση

β) Στο παρακάτω σχήμα δίνεται η γραφική παράσταση Cƒ μιας συνάρτησης ƒ που έχει πεδίο ορισμού όλο το R .

Παρατηρούμε ότι η Cƒ έχει κέντρο συμμετρίας την αρχή των αξόνων, αφού το συμμετρικό κάθε σημείου της Cƒ ως προς την αρχή των αξόνων ανήκει στην Cƒ .

pic694

Επειδή, όμως, το συμμετρικό του τυχαίου σημείου M(x,y) της Cƒ ως προς την αρχή των αξόνων είναι το σημείο M'(-x, -y) και επειδή τα σημεία M(x,y) και M'(-x, -y) ανήκουν στην Cƒ , θα ισχύει y = ƒ(x) και -y = ƒ(-x), οπότε θα έχουμε:

ƒ(-x ) = -ƒ(x)

Η συνάρτηση f με την παραπάνω ιδιότητα λέγεται περιττή. Γενικά:

ΟΡΙΣΜΟΣ

Μια συνάρτηση ƒ, με πεδίο ορισμού ένα σύνολο Α, θα λέγεται περιττή, όταν για κάθε xpic03bΑ ισχύει:

-x$\in$Α και ƒ(-x) = - ƒ(x)

Η γραφική παράσταση μιας περιττής συνάρτησης έχει κέντρο συμμετρίας την αρχή των αξόνων.

Για παράδειγμα, η συνάρτηση ƒ(x) = 2x3 - x είναι περιττή συνάρτηση, διότι έχει πεδίο ορισμού όλο το ℝ και για κάθε x$\in$ℝ ισχύει:

ƒ(-x) = 2(-x)3 - (-x) = -2x3 + x = - ƒ(x)

Συνεπώς, η γραφική της παράσταση έχει κέντρο συμμετρίας την αρχή των αξόνων.

ΣΗΜΕΙΩΣΗ

Ο όρος "άρτια" προέκυψε αρχικά από το γεγονός ότι οι συναρτήσεις y = x2, y = x4, y = x6 κτλ., που έχουν άρτιο εκθέτη, έχουν άξονα συμμετρίας τον άξονα y'y, είναι δηλαδή άρτιες συναρτήσεις, ενώ ο όρος "περιττή" προέρχεται από το γεγονός ότι οι συναρτήσεις y = x , y = x3, y = x5 κτλ., που έχουν περιττό εκθέτη, έχουν κέντρο συμμετρίας την αρχή των αξόνων, είναι δηλαδή περιττές συναρτήσεις.

Μικροπείραμα μικροπείραμα      Μικροπείραμα μικροπείραμα      Μικροπείραμα μικροπείραμα      Μικροπείραμα μικροπείραμα

ΕΦΑΡΜΟΓΗ

Στο παρακάτω σχήμα δίνονται ορισμένα τμήματα της γραφικής παράστασης μιας άρτιας συνάρτησης ƒ που έχει πεδίο ορισμού το διάστημα [-6,6].

Να χαραχθούν και τα υπόλοιπα τμήματα της γραφικής παράστασης της συνάρτησης ƒ και με τη βοήθεια αυτής:

α) Να βρεθούν τα διαστήματα στα οποία η συνάρτηση ƒ:

i) είναι γνησίως αύξουσα,

ii) είναι γνησίως φθίνουσα

iii) είναι σταθερή.

β) Να βρεθεί η μέγιστη και η ελάχιστη τιμή της ƒ, καθώς επίσης οι θέσεις των ακροτάτων αυτών.

sel_182

ΛΥΣΗ

Επειδή η συνάρτηση ƒ είναι άρτια, η γραφική της παράσταση θα έχει άξονα συμμετρίας τον άξονα y'y. Επομένως, αν πάρουμε τα συμμετρικά ως προς τον άξονα y'y των δοθέντων τμημάτων της γραφικής παράστασης της ƒ, θα έχουμε ολόκληρη τη γραφική παράσταση της ƒ, που είναι η πολυγωνική γραμμή Α΄Β΄ΓΌΓΒΑ (Σχήμα).

pic696

Από την παραπάνω γραφική παράσταση προκύπτει ότι:

α) Η συνάρτηση ƒ:

i) είναι γνησίως αύξουσα σε καθένα από τα διαστήματα [0,2] και [5,6],

ii) είναι γνησίως φθίνουσα σε καθένα από τα διαστήματα [-2,0] και [-6,-5], τα οποία είναι συμμετρικά ως προς το Ο των διαστημάτων [0,2] και [5,6] αντιστοίχως στα οποία η ƒ είναι γνησίως αύξουσα.

iii) είναι σταθερή σε καθένα από τα διαστήματα [-5,-2] και [2,5] τα οποία είναι συμμετρικά μεταξύ τους ως προς το Ο.

β) Η μέγιστη τιμή της ƒ είναι ίση με 4 και παρουσιάζεται όταν το x πάρει τις τιμές -6 και 6. Δηλαδή ισχύει:

max ƒ(x) = ƒ(-6) = ƒ(6) = 4

Η ελάχιστη τιμή της ƒ είναι ίση με 0 και παρουσιάζεται όταν το x πάρει την τιμή 0. Δηλαδή ισχύει:

min ƒ(x) = ƒ(0) = 0.

ΑΣΚΗΣΕΙΣ Α' ΟΜΑΔΑΣ
1.

Να βρείτε τα διαστήματα στα οποία καθεμιά από τις παρακάτω συναρτήσεις είναι:

α) γνησίως αύξουσα και β) γνησίως φθίνουσα.

pic697

2. Να προσδιορίσετε τα ολικά ακρότατα των συναρτήσεων της προηγούμενης άσκησης, καθώς και τις θέσεις των ακροτάτων αυτών.
3.

Να δείξετε ότι:

i) Η συνάρτηση ƒ(x) = x2 - 6x +10 παρουσιάζει ελάχιστο για x = 3 .

ii) Η συνάρτηση $g(x) = \dfrac{2x}{x^2 + 1}$ παρουσιάζει μέγιστο για x = 1.

4.

Να βρείτε ποιες από τις παρακάτω συναρτήσεις είναι άρτιες και ποιες είναι περιττές:

i) $f_1(x) = 3x^2 + 5x^4$          ii) $f_2(x) = 3|x| + 1 $          iii) $f_3(x) = |x+1|$

iv) $f_4(x) = x^3 - 3x^5$          v) $f_5(x) = \dfrac{x^2}{1+x}$             vi) $f_6(x) = \dfrac{2x}{x^2 + 1}.$

5.

Ομοίως για τις συναρτήσεις:

i) $f_1(x) = \dfrac{1}{|x|}$          ii) $f_2(x) = \sqrt{x-2} $          iii) $f_3(x) = |x-1| - |x+1|$

iv) $f_4(x) = \dfrac{x+\dfrac{1}{x}}{x^2+1}$          v) $f_5(x) = \sqrt{|x|}$             vi) $f_6(x) = \sqrt{1-x^2}.$

6.

Να βρείτε ποιες από τις παρακάτω γραμμές είναι γραφικές παραστάσεις άρτιας και ποιες περιττής συνάρτησης.

pic69101

7.

Ομοίως για τις παρακάτω γραμμές

pic69102

8.

Να συμπληρώσετε τις παρακάτω γραμμές ώστε να παριστάνουν γραφικές παραστάσεις

pic69103

α) Άρτιας συνάρτησης και β) Περιττής συνάρτησης.

ΕΡΩΤΗΣΕΙΣ ΚΑΤΑΝΟΗΣΗΣ 6ου ΚΕΦΑΛΑΙΟΥ

I)

Σε καθεμιά από τις παρακάτω περιπτώσεις να κυκλώσετε το γράμμα Α, αν ο ισχυρισμός είναι αληθής και το γράμμα Ψ, αν ο ισχυρισμός είναι ψευδής.

 
1. Υπάρχει συνάρτηση της οποίας η γραφική παράσταση διέρχεται από τα σημεία Α (1,2) και Β(1,3). Α Ψ
2. Οι ευθείες y = α2 x - 2 και y = -x + 1 τέμνονται. Α Ψ
3. Αν μία συνάρτηση f είναι γνησίως αύξουσα, τότε η - ƒ είναι γνησίως φθίνουσα. Α Ψ
4. Μία γνησίως μονότονη συνάρτηση έχει το πολύ μία ρίζα. Α Ψ
5. Υπάρχει γνησίως μονότονη συνάρτηση που διέρχεται από τα σημεία Α (1,2), Β(2,1) και Γ (3,3). Α Ψ
6. Αν μια συνάρτηση ƒ είναι γνησίως φθίνουσα και έχει ρίζα τον αριθμό 1, τότε θα ισχύει ƒ(0) < 0 . Α Ψ
7. Αν μια συνάρτηση ƒ είναι γνησίως μονότονη και η γραφική της παράσταση διέρχεται από τα σημεία Α (1,2) και Β (2,5), τότε η ƒ είναι γνησίως αύξουσα. Α Ψ
8. Αν η μέγιστη τιμή μιας συνάρτησης ƒ είναι ίση με 1, τότε η εξίσωση ƒ(x) = 2 είναι αδύνατη. Α Ψ
9. Η συνάρτηση f:[-1, 2] → ℝ με ƒ(x) = 3x2 είναι άρτια. Α Ψ
10. Αν μια συνάρτηση είναι άρτια ή περιττή και έχει ρίζα τον αριθμό ρ, τότε θα έχει ρίζα και τον αριθμό -ρ. Α Ψ
11. Αν μία συνάρτηση ƒ είναι άρτια, τότε η ƒ δεν είναι γνησίως μονότονη. Α Ψ
12. Αν μία συνάρτηση ƒ είναι άρτια, τότε η -ƒ είναι περιττή. Α Ψ
II) Να επιλέξετε τη σωστή απάντηση για την παρακάτω συνάρτηση ƒ.
 
Η συνάρτηση ƒ, της οποίας η γραφική παράσταση προκύπτει από δύο διαδοχικές μετατοπίσεις της γραφικής παράστασης της συνάρτησης φ(x) = 3x4 μιας οριζόντιας κατά 1 μονάδα προς τα αριστερά και μιας κατακόρυφης κατά 2 μονάδες προς τα πάνω, έχει τύπο:

A) $f(x) = 3(x-1)^4 + 2$       B) $f(x) = 3(x-1)^4 - 2$

Γ) $f(x) = 3(x+1)^4 + 2$       Δ) $f(x) = 3(x+1)^4 - 2.$

ΙΣΤΟΡΙΚΟ ΣΗΜΕΙΩΜΑ

Η ιδέα της χρησιμοποίησης διατεταγμένων ζευγών για τα σημεία ενός επιπέδου και της περιγραφής καμπύλων με εξισώσεις, ανήκει στον Rene Descartes (1596 - 1650) και στον Pierre de Fermat (1601 - 1665).

Ο Descartes (Καρτέσιος) γεννήθηκε στη La Haye (σημερινή Ντερκατ) της Touraine και πέθανε στη Στοκχόλμη. Σε ηλικία 10 χρόνων εγγράφηκε στο Βασιλικό Κολλέγιο της La Fleche, όπου δίδασκαν Ιησουίτες. Από εκείνη τη στιγμή αρχίζει και το ενδιαφέρον του για τα μαθηματικά. Στη ζωή του υπήρξε φιλόσοφος, αλλά ένα μεγάλο μέρος του χρόνου του το διέθετε για τα μαθηματικά.

Τα αποτελέσματα και οι μέθοδοί του, που δημοσίευσε το 1637 στο βιβλίο του Le Geometrie, δημιούργησαν ένα νέο κλάδο των μαθηματικών που αργότερα ονομάστηκε Αναλυτική Γεωμετρία.

Ο Καρτέσιος διείδε τη δύναμη της Άλγεβρας για τη λύση γεωμετρικών προβλημάτων και η σκέψη του αντιπροσώπευε μια ριζική απόκλιση από την μέχρι τότε επικρατούσα άποψη για τη Γεωμετρία. Ο όρος «Καρτεσιανές συντεταγμένες», οφείλεται στο όνομά του.

Ο Fermat, που έζησε στην Toulouse της νότιας Γαλλίας, αν και ήταν νομικός στο επάγγελμα, υπήρξε ένας από τους μεγαλύτερους μαθηματικούς του 17ου αιώνα.

Τις ιδέες του για συντεταγμένες στη Γεωμετρία, τυποποίησε στις αρχές του 1629 και τις κυκλοφόρησε με αλληλογραφία, αλλά δεν δημοσιεύτηκαν πριν από το 1679. Ο Fermat συνέδεσε το όνομά του με τον ισχυρισμό:

«Για κάθε ν > 2 είναι αδύνατο να βρούμε θετικούς ακέραιους α, β, γ που να ικανοποιούν την σχέση αν = βν + γν ».

που είναι γνωστός ως το «τελευταίο θεώρημα του Fermat». Τον ισχυρισμό του αυτόν έγραψε ο Fermat στο περιθώριο ενός βιβλίου του προσθέτοντας και τα εξής:

«Έχω βρει μια πραγματικά θαυμάσια απόδειξη την οποία το περιθώριο αυτό είναι πολύ στενό για να χωρέσει».

Ο ισχυρισμός αυτός του Fermat αποδείχτηκε αληθής το 1994 από τον Άγγλο μαθηματικό Α. Wiles, αφού υπήρξε για 350 χρόνια ένα από τα διασημότερα άλυτα προβλήματα της Θεωρίας Αριθμών.