Άλγεβρα - Βιβλίο Μαθητή
4.3 Λογαριθμική συνάρτηση Επιστροφή στην αρχική σελίδα του μαθήματος

ΥΠΟΔΕΙΞΕΙΣ - ΑΠΑΝΤΗΣΕΙΣ ΤΩΝ ΑΣΚΗΣΕΩΝ

ΚΕΦΑΛΑΙΟ 1ο

§ 1.1

A′ ΟΜΑΔΑΣ

5.

Μέγιστο το 2 και ελάχιστο το -2. Η περίοδος ισούται με 4π.

6.

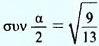
Μέγιστο το 2 και ελάχιστο το -2. Η περίοδος ισούται με 4π.

B′ ΟΜΑΔΑΣ

1.

i) y = ημx,      y = ημ x2,     y = ημ3x

ii) y = ημx,     y = 3ημx,      y = 0,5ημx,      y = -2,5ημx

2.

i) Υψηλότερη 3m, χαμηλότερη -3m, διαφορά 6m

3.

i) 23 m           ii) εφ2π23

4.

i) 0,1

§ 1.2

A′ ΟΜΑΔΑΣ

1.

i) x = λπ, λ ∈ Z

ii) x = 2κπ + π4   ή   x = 2κπ + 2, κ ∈ Z

 

iii) x = λπ + π2, λ ∈ Z

iv) x = 2κπ ± π4, κ ∈ Z

2.

i) x = 2κπ - π6   ή   x = 2κπ + 6, κ ∈ Z

ii) x = 2κπ - π2, κ ∈ Z

 

iii) x = 2κπ ± 4, κ ∈ Z

iv) x = 2κπ + π, κ ∈ Z

3.

i) x = κπ, κ ∈ Z

ii) x = κπ + π6, κ ∈ Z

 

iii) x = κπ + π4, κ ∈ Z

iv) x = κπ + π6, κ ∈ Z

4.

i) x = κπ - π6, κ ∈ Z

ii) x = κπ - π3, κ ∈ Z

5.

i) x = 2κπ + π2   ή   x = 2κπ + π3   ή   x = 2κπ + 3, κ ∈ Z

ii) x = 2κπ - π4   ή   x = 2κπ + 4   ή   x = 2κπ, κ ∈ Z

6.

i) x = κπ - π3   ή   x = κπ + π4, κ ∈ Z

ii) x = 2κπ ± 3   ή   x = κπ ± π3   ή   x = κπ + π2, κ ∈ Z

7.

i) x = 2κπ + 5   ή   x = 2κπ + 5, κ ∈ Z

ii) x = 2κπ ± 5, κ ∈ Z

iii) x = κπ + 22π45, κ ∈ Z

8.

i) x = 6κπ + π9   ή   x = 6κπ + 2π9, κ ∈ Z

 

ii) x = 10κπ + 5π, κ ∈ Z            iii) x = 42κπ + 7π12, κ ∈ Z

9.

i) x = 2κπ - 6, κ ∈ Z

ii) x = 24κπ + 7π36   ή   x = 24κπ - π36, κ ∈ Z

iii) x = -12κπ - π60, κ ∈ Z

10.

i) ω = 2κπ - π2   ή   ω = 2κπ + π6   ή   ω = 2κπ - 6, κ ∈ Z

ii) x = 2κπ ± π3, κ ∈ Z            iii) t = κπ - π6, κ ∈ Z

11.

i) x = 2κπ ± π3   ή   x = 2κπ ± 3, κ ∈ Z            ii) Αδύνατη

12.

i) Μέγιστο για x = π το 3 και ελάχιστο για x = 0 το -3.

ii) Μέγιστο για x = π2, το g(π2) = 7 και ελάχιστο για x = 2, το g(2) = -7.

13.

i) Ιανουάριος - Μάιος            ii) Μάρτιος

B′ ΟΜΑΔΑΣ

1.

i) x = κπ - π8, κ ∈ Z            ii) x = κπ5 + π30, κ ∈ Z

2.

i) x = κπ + π4, κ ∈ Z           ii) x = κπ - π4   ή   x = κπ + 5, κ ∈ Z

3.

13π4

4.

π2,   π

5.

π12,   12,   13π12,   19π12

§ 1.3

A′ ΟΜΑΔΑΣ

1.

i) 12

ii) - 12

iii) 1

iv) 0

2.

i) συνx

ii) 22

 

4.

i) 1

ii) 1

iii) √3

iv) 0

5.

i) ημ3x

ii) 12

iii) -εφx

iv) -σφx

7.

ημ105o = 2(1 + √3)4,   συν105o = 2(1 - √3)4,   εφ105o = -2 - √3,

σφ105o = -2 + √3,   ημ195o = 2(1 - √3)4,   συν195o = -√2(1 + √3)4,

εφ195o = 2 - √3,   σφ195o = 2 + √3

10.

i) ημ(α + β) = 3365,   συν(α + β) = -5665,   εφ(α + β) = -3356,   σφ(α + β) = -5633

11.

i) x = κπ + π6, κ ∈ Z           ii) x = κπ ± π3, κ ∈ Z           iii) x = κπ + π4, κ ∈ Z

B′ ΟΜΑΔΑΣ

1.

Είναι     ημ(α - β)συνασυνβ = εφα - αφβ κτλ.

2.

ημ(α + 2β) = ημ((α + β) + β) = …

3.

x = π4   ή   x = 4

4.

Είναι   β = π4 - α,   οπότε   εφβ = εφ(π4 - α) = …

8.

x = π6   ή   x = 3

§ 1.4

A′ ΟΜΑΔΑΣ

1.

i) -1

ii) 32

iii) 0

iv) - 33

2.

i) ημ4α

ii) ημ2α

iii) εφ6α

 

4.

i) ημ2α = 2425,

συν2α = 725,

εφ2α = 247,

σφ2α = 724

5.

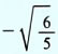
εφ(α + 2β) = 1613

7.

i) x = 2κπ   ή   x = 2κπ + π, κ ∈ Z

ii) x = 2κπ ± 3   ή   x = 2κπ + π3, κ ∈ Z

8.

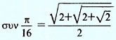
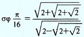
Εικόνα,   Εικόνα,   Εικόνα

Εικόνα

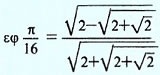
9.

i) Εικόνα,

Εικόνα,

εφ α2 = 23,

σφ α2 = 32

 

ii) Εικόνα,

Εικόνα,

εφ α2 = - 12,

σφ α2 = -2

10.

i) x = 2κπ ± π2   ή   x = 2κπ ± 3, κ ∈ Z

ii) x = 2κπ ± π3, κ ∈ Z

 

iii) x = 2κπ ± π2, κ ∈ Z

iv) x = 2κπ + π, κ ∈ Z

B′ ΟΜΑΔΑΣ

3.

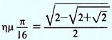
Είναι π8 + 8 = π2, οπότε συν(8) = ημ(π8) = …

6.

i) x = 2κπ ± π2   ή   x = 2κπ + π6   ή   x = 2κπ + 6, κ ∈ Z

 

ii) x = κπ + π3   ή   x = 2κπ - π3, κ ∈ Z

§ 1.5

A′ ΟΜΑΔΑΣ

1.

i) 14

ii) 3 + 24

iii) - 14

iv) 14

2.

i) ημ3x - ημx

ii) συν2x - συν6x

iii) συν2x + συν8x

 
 

iv) 12 (ημ8x - ημ4x)

v) 12 συν2x

 

3.

i) x = κπ3   ή   x = 2κπ + π10, κ ∈ Z

 

ii) x = 2κπ + π8   ή   x = 2κπ - π2, κ ∈ Z

4.

i) 62

ii) - 22

iii) 0

 

5.

i) 2ημ3xσυνx

ii) -2ημ4xημx

iii) 2συν2x2συνx

 
 

iv) 2ημ2(π4 + x2)

v) 2συν2x2

 

8.

i) x = κπ ± π4   ή   x = 2κπ + π6   ή   x = 2κπ + 6, κ ∈ Z

ii) x = κπ - π12   ή   x = κπ + 12   ή   x = κπ3, κ ∈ Z

iii) x = κπ6   ή   x = 6κπ + 2π9   ή   x = 6κπ - 2π9, κ ∈ Z

B′ ΟΜΑΔΑΣ

1.

Μετασχηματίζουμε τα γινόμενα σε αθροίσματα.

4.

Μετασχηματίζουμε τα αθροίσματα σε γινόμενα.

5.

Είναι   Α + Β + Γ = π   οπότε …

§ 1.6

A′ ΟΜΑΔΑΣ

1.

i) 2π,   2,   2

ii) 2π,   1,   -1

2.

i) f(x) = 2ημ(x + 11π6)

ii) f(x) = √2ημ(x + 4)

 

iii) f(x) = 2ημ(x + 3)

ii) f(x) = √2ημ(x - π4)

4.

i) x = 2κπ - 3, κ ∈ Z

ii) x = 2κπ - π2   ή   x = 2κπ, κ ∈ Z

 

iii) x = 2κπ - 12   ή   x = 2κπ + 11π12, κ ∈ Z

B′ ΟΜΑΔΑΣ

1.

ω = π12   ή   ω = 12

2.

i) (ΟΑ) + (ΟΒ) = 2√2ημ(θ + π4)

ii) θ = π4, μέγιστη τιμή (ΟΑ) + (ΟΒ) = 2√2

3.

i) 16,   -10

ii) 2√2 + 2,   -2√2 + 2

4.

x = κπ + π24   ή   x = κπ + 24, κ ∈ Z

5.

ii) θ = π4, ελάχιστη τιμή του h = 40(√2 - 1)

6.

ii) θ = π8, μέγιστη τιμή του P = 1 + √2

§ 1.7

A′ ΟΜΑΔΑΣ

1.

ΑΒ ≈ 284 m

2.

ΒΔ ≈ 1,58 m

5.

θ ≈ 115o

6.

AB ≈ 51,2 m

7.

θ ≈ 60,25o

B′ ΟΜΑΔΑΣ

1.-5.

Εφαρμόζουμε το νόμο των ημιτόνων.

6.-7.

Εφαρμόζουμε το νόμο των συνημιτόνων.

8.-10.

Εφαρμόζουμε τον τύπο   Ε = 12 βγημΑ.

11.

Εικόνα

ΓΕΝΙΚΕΣ ΑΣΚΗΣΕΙΣ

3.

Αρκεί να δείξετε ότι (ΜΚ) = 2.

4.

i) x = 2κπ ± π3, κ ∈ Z

ii) x = 2κπ + π6   ή   x = 2κπ + επ2, κ ∈ Z

6.

13π3

7.

i) (10 + 2√2)m,   14m,   (10 - 2√2)m

ii) 10 + 4ημ(π(t + 1)4)

9.

6 - √24,   22,   - 6 + √24

12.

x = 2κπ + π4   ή   x = 2κπ3 + π4, κ ∈ Z

13.

ii) S = 200√2ημ(2θ + π4) + 200            ii) θ = π8,   Smax = 200(√2 + 1)

15.

Β = 60o,   Γ = 45o

ΚΕΦΑΛΑΙΟ 2ο

§ 2.1

A′ ΟΜΑΔΑΣ

1.

i) Ναι

ii) Ναι

iii) Όχι

iv) Όχι

2.

Πράξεις

3.

μ = 12

4.

α = 1

5.

i) -1 ρίζα

ii) -1, 1 ρίζες

 

6.

k = 6

7.

α = 1   ή   α = 2

B′ ΟΜΑΔΑΣ

1.

α = 3,   β = -10,   γ = 5

2.

α = -2,   β = -19

3.

λ = -3,   μ = -5

4.

Εξετάζουμε τις περιπτώσεις

i) λ ≠ 0, 23, - 23

ii) λ = 0

 

iii) λ = 23

iv) λ = - 23

5.

P(x) = x2 - 5x + 1

§ 2.2

A′ ΟΜΑΔΑΣ

1.

i) π(x) = 3x2 - 3x - 8,

υ(x) = 44

ii) π(x) = x3 + 3x2 + 9x + 27,

υ(x) = 0

 

iii) π(x) = 4x3 - 166,

υ(x) = - 53

iv) π(x) = 2x2 + 1,

υ(x) = x + 1

 

v) π(x) = x + 3,

υ(x) = 6x2 - 8x + 3

vi) π(x) = x2,

υ(x) = x2 + 7

2.

υ = 14

3.

k = 1   ή   k = -4

4.

i) π(x) = -x2 + 10x - 25,

υ = 0

ii) π(x) = x2 - 8x + 64,

υ = 0

 

iii) π(x) = x4 + x3 + x2 + x + 1,

υ = 2

iv) π(x) = -3x3 - 6x2 - 6x2 -12x - 24,

υ = -48

 

v) π(x) = 4x2 + 14x - 30,

υ = 0

 

5.

P(-11) = 4840

6.

Εργαζόμαστε με σχήμα Horner.

7.

Αν P(x) = xν - yν αποδείξτε ότι P(-y) = 0.

8.

Παρατηρούμε ότι   P(ρ) > 0   ενώ   Q(ρ) < 0.

9.

Για   P(x) = xν + 1   είναι   P(-1) = 0.

10.

Θεωρούμε το διαιρετέο και το διαιρέτη ως πολυώνυμα του x.

B′ ΟΜΑΔΑΣ

1.

Γράφουμε xμ - αμ = xρν - αρν κτλ.

2.

i) Γράφουμε P(x) = (αx + β)π(x) + υ.

ii) β = 0   ή   α = β   ή   α = -β

3.

Σχήμα Horner διαδοχικά με   x - 1   και   x - 2.

4.

Είναι   P(0) = 0,   P(-1) = 0,   P(- 12) = 0.

5.

α = ν,   β = -1 - ν

§ 2.3

A′ ΟΜΑΔΑΣ

1.

i) 0, Εικόνα, Εικόνα

ii) -2, 3, -3

iii) 0, 1, -1, - 53

 
 

iv) 2, -2

v) 1

vi) 1, 2, -3

 
 

vii) -2

viii) - 23, 1, - 1322

ix) -2, 9 + 4√5, 9 - 4√5

 
 

x) √2, -√2, 1, 2

 

2.

i) 2

ii) 1, -4

iii) -2

iv) -1

3.

i) Οι ±1, ±2 δεν είναι ρίζες.

ii) Οι ±1, ±5 δεν είναι ρίζες.

4.

i) x > -2

ii) x = 1

iii) x < -2

iv) x ≤ -1   ή   x ≥ 2

5.

i) (2,0)

ii) (1,0),   (- 12,0)

 

6.

2 - √5 < x < 0   ή   1 < x < 2 + √5

7.

i) 2, -2

ii) 2, 3

iii) - 35, 2

 

B′ ΟΜΑΔΑΣ

1.

i) 1, -2, -4

ii) 3, 2, -15

 

2.

-1, 2, -2, -3

3.

-3, 1, -7, -11

4.

Οι διαιρέτες του 2 για λ ∈ Z δεν επαληθεύουν την ςξίσωση.

5.

1,   -1,   Εικόνα,   Εικόνα

6.

3, 7, 1

7.

t ≈ 4,6,   c ≈ 0,45

8.

x = 3m

9.

ν = 20 ημέρες

10.

t = 3sec

11.

y + 4x ≤ 108   και   x2y = 11664,   x = 18cm,   y = 36cm

12.

i) y = 5x - 3

iii) x1 = 1 διπλή,   x2 = -3 και Γ(-3, -18)

§ 2.4

A′ ΟΜΑΔΑΣ

1.

i) x = -3

ii) -√2,   √2

 

2.

x ≤ 1   ή   x > 0

3.

x = 2κπ + π6   ή   x = (2κ + 1)π - π6, κ ∈ Z

4.

i) 0,   16

ii) 6

iii) αδύνατη

iv) 69,   -59

 

i) -1,   2

ii) 36

iii) 4,   16

iv) 0,   4

B′ ΟΜΑΔΑΣ

1.

i) - 32 ≤ x < - 25

ii) περιπτώσεις   x - 5 < 0,   x - 5 ≥ 0

2.

i) 4

ii) 8

3.

i) -3, 2

ii) 5

4.

i) περιπτώσεις   α < 0,   α ≥ 0

ii) περιπτώσεις   x < λ2,   x ≥ λ2

5.

x = 2κπ + π2   ή   x = 2κπ + π6   ή   x = (2κ + 1)π - π6, κ ∈ Z

ΓΕΝΙΚΕΣ ΑΣΚΗΣΕΙΣ

1.

Να θεωρήσετε τη διαφορά P(x) - (x2 + x + 1) = x - 1 + x3μ+1 - x + x3ρ+2 - x.

2.

i) Γράψτε   f(x) 

= vxν(x - 1) - (xν - 1) = … =

= (x - 1)P(x) και P(x) = (x - 1)π(x)

ii) Γράψτε   g(x) = (x - 1)P(x) και P(x) = (x - 1)Q(x) και Q(x) = (x - 1)π(x).

3.

Να διαιρέσετε με x2 και μετά να θέσετε   x + 1x = y.

4.

Να διαιρέσετε με x2 και να θέσετε στην

 

i) x - 2x = y,

ii) x - 1x = y.

 

5.

Να θέσετε   x2 + 2x - 1 = y,   οπότε   x2 + 2x + 3 = y + 4.

7.

Στην ταυτότητα της διαίρεσης να θέσετε x = √2.

8.

i) Με σχήμα Horner βρίσκουμε ότι P(11) = 10.

ii) Γράψτε το   P(x) = x17 - 1 - 12x·x16 - 1x + 1   κτλ.

9.

i) x = 1 εκατομ. χρόνια

ii) αρχίζει σε 3 εκατομ. χρόνια και διαρκεί 3 εκατομ. χρόνια.


ΚΕΦΑΛΑΙΟ 3ο

§ 3.1

A′ ΟΜΑΔΑΣ

1.

i) 3, 5, 7, 9, 11

ii) 2, 4, 8, 16, 32

iii) 2, 6, 12, 20, 30

iv) 0, 1, 2, 3, 4

 

v) 1, -0,1, 0,01, -0,001, 0,0001

vi) 32, 34, 98, 1516, 3332

vii) 4, 3, 2, 1, 0

 

viii) 22, 1, 22, 0, - 22

ix) 2, 1, 89, 1, 3332

x) 1, - 12, 13, - 14, 15

 

xi) 1, -1, 1, -1, 1

2.

i) 2, 12, 2, 12, 2

ii) 0, 1, 2, 5, 26

iii) 3, 4, 6, 10, 18

3.

i) α1 = 6 και αν+1 = 1 + αν

ii) α1 = 2 και αν+1 = 2αν

 

iii) α1 = 1 και αν+1 = 2αν + 1

iv) α1 = 8 και αν+1 = 5 + αν

4.

i) αν = 2ν - 1

ii) αν = 3·5ν-1

B′ ΟΜΑΔΑΣ

1.

αν = 2ημ πν

2.

αν = 2ν + 32

3.

i) Ευθύγραμμο τμήμα ίσο με τη διαφορά των ευθύγραμμων τμημάτων με μήκη 1ν και    1   ν + 1.

 

ii) Πάρτε τη διαφορά αν+1 - αν.

4.

αν = ν!

5.    α4 = 2,645752

6.

i) Sν = 3·4ν-1

ii) Uν = 3·(43)ν-1

§ 3.2

A′ ΟΜΑΔΑΣ

1.

i) αν = 3ν + 4

ii) αν = 2ν + 9

iii) αν = -3ν + 8

iv) αν = 12 ν + 32

 

v) αν = -3ν - 3

2.

i) α15 = 68

ii) α20 = 144

iii) α30 = 323

iv) α35 = 289

 

v) α50 = 1013

vi) α47 = 35

3.

i) α1 = 7, ω = 1

ii) α1 = 2, ω = 4

iii) α1 = 14, ω = 3

4.

i) α50 = 8,5

ii) α18 = 121

5.

i) Ο 20ος όρος

ii) Ο 60ος όρος

6.

i) -15

ii) x = 16

7.

20 και 30

8.

i) 1840

ii) 1560

iiι) 3360

iv) 3620

9.

i) -9320

ii) 2080

10.

i) 4950

ii) 1386

iii) -2030

11.

i) 9 όρους

ii) 8 όρους

12.

53,585

B′ ΟΜΑΔΑΣ

1.

Πάρτε τη διαφορά   αν+1 - αν,   α1 = 8,   ω = -4.

2.

Χρησιμοποιείστε την ιδιότητα του αριθμητικού μέσου.

3.

Αντικαταστήστε στο σύστημα x = -1, y = 2.

4.

i) 40000

ii) 90300

iii) 36036

5.

i) 3900

ii) 6615

6.

i) 2205

ii) -4220

7.

S = (1 + 2 + … + 200) - (4 + 8 + … + 200) - (9 + 18 + … + 198) + (36 + 72 + … + 180) = 13263

8.

Aπαιτουνται τουλάχιστον 20 πρώτοι όροι.

9.

i) αν = Sν - Sν-1 = 8ν - 7

Άρα α1 = 1, ω = 8

ii) α1 = - 34, ω = 12

10.

1η γραμμή 10, 780

2η γραμμή 4, 1539

3η γραμμή 1, 34

4η γραμμή -38, -368

11.

78 το 12/ωρο και άρα 156 το 24/ωρο.

12.

81840, 2480

13.

Συμβολίστε τους όρους με α1 - 3ω, α1 - ω, α1 + ω, α1 + 3ω

 

2,

6,

10,

14

ή

14,

10,

6,

2

14.

10, 17, 24, 31, 38, 45, 52, 59, 66, 73

15.

ν + 12

16.    40m βάθος

§ 3.3

A′ ΟΜΑΔΑΣ

1.

i) αν = 3·2ν-1

ii) αν = 2·3ν-2

iii) αν = 3ν+1

iv) αν =  1 2ν+1

 

v) αν =  1 2ν-5

vi) αν =  2 3ν-3

vii) αν = (0,4)ν-1

 

viii) αν = (-2)ν

ix) αν = (-3)ν

2.

i) α9 = 64

ii) α7 = 1458

iii) α8 = 13

iv) α11 = 34

 

v) α10 = -512

vi) α8 = - 2187128

vii) α10 =    1   39366

viii) α9 = (32)5

3.

i) α1 = 13

ii) α1 = 1

4.

i) λ = 2

ii) λ = 23

5.

i) α15 = 20·(1,05)14

ii) α14 = 10008192

iii) α21 = 16√2

6.

9 όροι

7.

i) Ο 10ος όρος

ii) Ο 11ος όρος

8.

i) 10,1

ii) x = 3

9.

i) 1023

ii) 8572

iii) 1364

10.

i) ≈ 242,7

ii) ≈ 1,33

11.

i) 10922

ii) ≈ 8

iii) 171

12.

12288

13.    ≈ 0,74 m

B′ ΟΜΑΔΑΣ

1.

Πάρτε τον λόγο αν+1αν.

2.

Χρησιμοποιήστε την ιδιότητα του γεωμετρικού μέσου.

3.

i) Πάρτε το 2ο μέλος, κάντε τις πράξεις και χρησιμοποιήστε την ιδιότητα του γεωμετρικού μέσου.

ii) Πάρτε το 1ο μέλος, κάντε τις πράξεις και χρησιμοποιήστε την ιδιότητα του γεωμετρικού μέσου.

4.

ν = 14

5.

i) Σχηματίζουν γεωμετρική πρόοδο με 1ο όρο α12 και λόγο λ2.

ii) Σχηματίζουν γεωμετρική πρόοδο με 1ο όρο ακ2 και λόγο λκ.

6.

i) α1 = 3, λ = 2

ii) α1 = √3, λ = √3   ή   α1 = -(3 + 2√3), λ = -√3

7.

1023

8.

i) αν - 1α - 1

ii) 1 - αν

iii) xν - yν

9.

2ν(ν + 1)2

10.

-1, -3, -9   ή   -9, -3, -1

11.

i) αν = Sν - Sν-1 = 2ν-1 = 1·2ν-1, άρα α1 = 1 και λ = 2

ii) α1 = 2, λ = 3

iii) α1 = 3, λ = 2

12.

666…6 = 6·100 + 6·101 + 6·102 + … + 6·10ν-1 = 6·10ν - 1ν - 1 = 23 (10ν - 1) κτλ. ν ψηφία

13.

αν+1 = 1,02·αν,

≈ 109,8 εκατομμύρια

14.

Iν+1 = 0,9·Iν,

≈ 0,35 I0

15.

i) Εικόνα,

ii) Εικόνα

16.

i) Dν+1 = 0,9Dν

ii) ≈ 20,87 lt

17.

9,223·1011 τόννοι

18.

i) rν+1 = 3rν

ii) 37

iii) 7381 π

§ 3.4

A′ ΟΜΑΔΑΣ

1.

6381,4 ευρώ

2.    37.204,87 ευρώ

3.    5%

4.

27342,05 ευρώ

5.    900 ευρώ

Β′ ΟΜΑΔΑΣ

1.

76896,75 ευρώ

2.    34719,09 ευρώ

3.    70 χρόνια

4.

25345 ευρώ

5.    6,4 δις

6.    888,52 ευρώ

§ 3.5

A′ ΟΜΑΔΑΣ

1.

i) 4

ii) 40,5

iii) 3

iv) 7,5

v) 32

vi) 6,75

 

vii) - 163

viii) 353

2.

i) 4(2 + √2)

ii) -(1 + 55)

3.

i) 49

ii) 2699

iii) 16

iv) 509990

4.

x - 2x - 1

Β′ ΟΜΑΔΑΣ

1.

α1 = 6, λ = 13

2.

i) x > 0,   Σ =  (α + x)3 4αx(α - x)

ii) x ≠ 0,   Σ = 1 + 1x2

3.

i) Pν+1 = 12 Pν,   Eν+1 = 14 Eν

ii) 6α,   α233

4.

i) Iν+1 = Iν·22,   Iν = α(22)ν

ii) α(√2 + 1)

iii) α2

5.

i) dν+1 =  1 100 dν

ii) Ο Αχιλλέας θα φθάσει τη χελώνα όταν διανύσει 1 199 στάδια.

ΓΕΝΙΚΕΣ ΑΣΚΗΣΕΙΣ

1.

i) Χρησιμοποιήστε τον τύπο του γενικού όρου αριθμητικής προόδου.

ii) Χρησιμοποιήστε τον τύπο του γενικού όρου γεωμετρικής προόδου.

2.

i) Χρησιμοποιήστε τον τύπο του αθροίσματος αριθμητικής προόδου.

ii) Χρησιμοποιήστε τον τύπο του αθροίσματος γεωμετρικής προόδου.

3.

32 (34)ν - ν + 34

4.    49, 49, 49   ή   196, 49, -98

7.

i) Χρησιμοποιήστε τη σχέση   1  ακακ+1 = (1ακ -  1 ακ+11ω.

ii) Χρησιμοποιήστε τη σχέση       1      ακ-1 + √ακ = ακ-1 - √ακ.

9.

20o

10.

Να ξεκινήσετε από τη σχέση ημ(γ + α - β) - ημ(β + γ - α) = ημ(α + β - γ) - ημ(γ + α - β).

11.

2ν + (x2ν+2 + 1)(x + 1)(x2 - 1)x

12.

Το άθροισμα των εμβαδών των τριγώνων είναι α23 = (ΕΒ)2.

13.

1, 2, 4, 8, 16, …   ή   8, 4, 2, 1, 12, …


ΚΕΦΑΛΑΙΟ 4ο

§ 4.1

A′ ΟΜΑΔΑΣ

2.

i) x = 6

ii) x = 3

iii) x = -2

iv) x = 4

 

v) x = -3

vi) x = 15

vii) x = 49

viii) x = 2   ή   x = -1

3.

i) x = 1

ii) x = -1   ή   x = 1

iii) x = 2

4.

i) 2 < x < 3

ii) x > 5

iii) x < 5

5.

i) x = 0 και y = 0

ii) x = 2 και y = 1

Β′ ΟΜΑΔΑΣ

1.

i) 12 < α < 1

ii) 1 < α < 2

iii) 12 < α < 2 με α ≠ 1

2.

i) x = 0   ή   x = 2

ii) x = 1

iii) x = -1

 

iv) x = 32

v) x = 32

3.

i) (x = 1 και y = 1)   ή   (x = 3 και y = 2)

ii) x = 1 και y = 3

6.

i) Q(t) = 5·(0,8)t

iii) 0,0000132

7.

ii) 3,86 gr

iii) 0,001

8.

i) T(t) = 40·(0,85)t, 0 ≤ t ≤ 6

ii) 15085 ευρώ

9.

i) 1,   0,606,   0,368,   0,223,   0,135,   0,082

ii) α) x = 0     β) x = 5

10.

i) 1,   0,135,   0,018,   0,002

ii) α) t = 1     β) t = 0

11.

ii) α) t = k·RC, όπου k = 1, 2, 3, …     β) t = k·RC, όπου k = 3, 4, 5, …

§ 4.2

A′ ΟΜΑΔΑΣ

1.

i) -3

ii) - 12

iii) -5

iv) 14

v) 8

vi) -3

2.

i) 1000

ii) 12

iii) Εικόνα

3.

i) 2

ii) 4

iii) Εικόνα

5.

6h·46min

6.

i) -0,000126

ii) 89308 Pascal

7.

i) m = 5

ii) 100 φορές

8.

i) -0,16

ii) 55070 μονάδες

Β′ ΟΜΑΔΑΣ

1.

i) 43

ii) 2

7.

Είναι logαβ = logβlogα κτλ.

8.

Να χρησιμοποιήσετε τον τύπο αλλαγής βάσης με νέα βάση το 10.

§ 4.3

A′ ΟΜΑΔΑΣ

3.

i) f(x) = 2x και Εικόνα

ii) g(x) = log12x, ενώ η f δεν ορίζεται

 

iii) f(x) = (12)x, ενώ η g δεν ορίζεται

iv) Δεν ορίζονται οι f, g.

4.

x

50

100

200

400

800

1600

y

18

21

24

27

30

33

5.

i) x = √3

ii) x = 2

iii) x = 1 ή x = 100

iv) x = 1

6.

i) x = log2

ii) x ≈ 4,4190

7.

Όξινο αν pH < 7 και βασικό αν pH > 7.

Β′ ΟΜΑΔΑΣ

3.

x = 4

5.

i) x = 1   ή   x = 10000

ii) x = e±1   ή   x = ±2

6.

x = 10

7.

i) (x = 2 και y = 8)   ή   (x = 8 και y = 2)

 

ii) x = 2 και y = 4

iii) x = 12 και y = 1

8.

i) 1 < x < 100

ii) 2 < x < 4

          iii) 0 < x < 0,1   ή   x > 10

ΓΕΝΙΚΕΣ ΑΣΚΗΣΕΙΣ

1.

x = 0,   ή   x = 3,   ή   x = 53,   ή   x = 1

 

x = 0,   ή   x = 1,   ή   x = -3,   ή   x = -1

5.

x = 0,1   ή   x = 5

6.    x = π4

7.

x = π4

8.    x > 0

ΑΣΚΗΣΕΙΣ ΕΠΑΝΑΛΗΨΗΣ (Δ΄ ΟΜΑΔΑΣ)

1.

x = κπ + π12   ή   x = κπ + π4, κ ∈ Z

2.

ii) x = 2κπ + π2, κ ∈ Z

3.

x = -1   ή   x = 2 - √3   ή   x = 2 + √3.   Άρα   εφ π12 = 2 - √3

5.

i1) x = 12       i2) - 12,   - 13,   -2 - √3,   -2 + √3

ii) Παρατηρήστε ότι το √2 είναι ρίζα της x2 - 2 = 0 και ότι αυτή δεν έχει ρητές ρίζες.

6.

i) μ2 - μ + 22, μ2 + μ2

ii) 22155

iii) μ22 + 1)

7.

Ισχύει 1 + x + x2 + … + xν = xν+1 - 1x - 1 κτλ.

8.

99·2100 + 1

9.    x = 2

10.    x = 1

11.

α < 0   ή   α = 12

12.    x = π4

13.    2,4094 < x ≤ 3,8188

14.

i) x ∈ (0, 1]

ii) x ∈ [1, +∞)

15.    E(x) = 2νx - 2(x1 + x2 + … + x2)

 

 

Με απόφαση της Ελληνικής Κυβέρνησης τα διδακτικά βιβλία του Δημοτικού, του Γυμνασίου και του Λυκείου τυπώνονται από τον Οργανισμό Εκδόσεως Διδακτικών Βιβλίων και διανέμονται δωρεάν στα Δημόσια Σχολεία. Τα βιβλία μπορεί να διατίθενται προς πώληση, όταν φέρουν βιβλιόσημο προς απόδειξη της γνησιότητάς τους. Κάθε αντίτυπο που διατίθεται προς πώληση και δε φέρει βιβλιόσημο θεωρείται κλεψίτυπο και ο παραβάτης διώκεται σύμφωνα με τις διατάξεις του άρθρου 7 του Νόμου 1129 της 15/21 Μαρτίου 1946 (ΦΕΚ 1946, 108, Α′).

 

 

 

 

 

 

 

 

 

Απαγορεύεται η αναπαραγωγή οποιουδήποτε τμήματος αυτού του βιβλίου, που καλύπτεται από δικαιώματα (copyright), ή η χρήση του σε οποιαδήποτε μορφή, χωρίς τη γραπτή άδεια του Παιδαγωγικού Ινστιτούτου.

 

 

 

 

 

 

 

ΕΚΔΟΣΗ 2010 - ΑΝΤΙΤΥΠΑ 129.000 - ΑΡ. ΣΥΜΒΑΣΗΣ 8/17-2-10


ΕΚΤΥΠΩΣΗ: ΣΥΓΧΡΟΝΕΣ ΕΚΔΟΣΕΙΣ Α.Ε. - ΒΙΒΛΙΟΔΕΣΙΑ: ΙΟΡΔΑΝΙΔΗΣ I. - ΚΟΥΚΙΑΣ Λ. - ΛΙΑΠΗΣ Γ. Ο.Ε.