Άλγεβρα - Βιβλίο Μαθητή
1.6 Η συνάρτηση f(x) = αημx + βσυνx 2.1 Πολυώνυμα Επιστροφή στην αρχική σελίδα του μαθήματος

1.7 Επίλυση τριγώνου

Το κλασικό πρόβλημα της Τριγωνομετρίας, από το οποίο πήρε και το όνομα της, είναι η επίλυση τριγώνου, δηλαδή ο υπολογισμός των άγνωστων κύριων στοιχείων ενός τριγώνου, όταν δίνονται επαρκή στοιχεία του.

Η επίλυση τριγώνου μπορεί να γίνει με τη βοήθεια των παρακάτω δυο βασικών θεωρημάτων, που είναι γνωστά το ένα ως νόμος των ημιτόνων και το άλλο ως νόμος των συνημίτονων.

Νόμος των ημίτονων

ΘΕΩΡΗΜΑ

Σε κάθε τρίγωνο ΑΒΓ ισχύει:

 

  α  ημΑ =   β  ημΒ =   γ  ημΓ = 2R

 

όπου R, η ακτίνα του περιγεγραμμένου κύκλου του τριγώνου.

ΑΠΟΔΕΙΞΗ

Έστω (0,R) ο περιγεγραμμένος κύκλος του τριγώνου ΑΒΓ. Αν φέρουμε τη διάμετρο ΒΔ και τη χορδή ΓΔ, τότε σχηματίζεται τρίγωνο ΓΒΔ που είναι ορθογώνιο στο Γ. Επομένως έχουμε:

(1)

ημΔ = (ΒΓ)(ΒΔ) =  α 2R, οπότε   α  ημΔ = 2R

Εικόνα

Είναι όμως Δ = Α (Σχ. 1) ή Δ + Α = 180o (Σχ. 2), οπότε ημΔ = ημΑ. Επομένως η (1) γράφεται

  α  ημΑ = 2R

Αν Α = 90o, τότε έχουμε: ημΑ = 1 και α = 2R (Σχ. 3). Επομένως και στην περίπτωση αυτή ισχύει ισότητα   α  ημΑ = 2R.

Όμοια αποδυκνείεται ότι:

  β  ημΒ = 2R     και       γ  ημΓ = 2R

Επομένως:

  α  ημΑ =   β  ημΒ =   γ  ημΓ = 2R

Εικόνα


Σχόλιο. Με το νόμο των ημίτονων μπορούμε εύκολα να επιλύσουμε ένα τρίγωνο, όταν δίνονται:

i)  

Μια πλευρά και δυο γωνίες του ή

ii) 

Δυο πλευρές και μια από τις μη περιεχόμενες γωνίες του.

ΠΑΡΑΔΕΙΓΜΑΤΑ - ΕΦΑΡΜΟΓΕΣ

1ο 

Να επιλυθεί το τρίγωνο ΑΒΓ με α = 15, Α = 43o και Β = 82o.

ΛΥΣΗ

Επειδή Α + Β + Γ = 180o, έχουμε: Γ = 180o - Α - Β = 180o - 43o - 82o = 55o

Έτσι, σύμφωνα με το νόμο των ημίτονων έχουμε:

  15  ημ43o =    β   ημ82o =    γ   ημ55o

οπότε:

β = 15·ημ82oημ43o15·0,99030,6820 ≈ 22

γ = 15·ημ55oημ43o15·0,81920,6820 ≈ 18

Εικόνα

2ο 

Να επιλυθεί το τρίγωνο ΑΒΓ με α = 23, β = 31 και Β = 35o.

ΛΥΣΗ

Σύμφωνα με το νόμο των ημίτονων έχουμε:

(1)

 23 ημΑ =   31  ημ35o =   γ  ημΓ

οπότε:

ημΑ = 23·ημ35o3123·0,573631 ≈ 0,4255

Άρα

Α ≈ 25o     ή     Α ≈ 155o

Εικόνα

Επειδή όμως α < β, θα είναι και Α < Β. Επομένως από τις παραπάνω τιμές της Α δεκτή είναι μόνο η Α ≈ 25o.

Έτσι έχουμε

Γ = 180o - Α - Β ≈ 180o - 25o - 35o = 120o

οπότε, λόγω της (1), ισχύει

  31  ημ35o =    γ   ημ120o ⇔ γ = 31·ημ120oημ35o31·0,86600,5736 ≈ 47

3ο 



Σε ένα υλικό σημείο Ο εφαρμόζονται τρεις δυνάμεις που έχουν μέτρα F1, F2 και F3 αντιστοίχως και σχηματίζουν ανά δυο γωνίες ω1, ω2 και ω3, όπως φαίνεται στο διπλανό σχήμα. Αν το υλικό σημείο ισορροπεί, να αποδειχθεί ότι:

  F1  ημω1 =   F2  ημω2 =   F3  ημω3

ΑΠΟΔΕΙΞΗ

Επειδή το σημείο Ο ισορροπεί, η συνισταμένη Εικόνα των Εικόνα και Εικόνα θα έχει ίδια διεύθυνση, αντίθετη φορά και ίδιο μέτρο την Εικόνα. Επομένως από το νόμο των ημιτόνων στο τρίγωνο ΟΒΓ έχουμε:

Εικόνα

Εικόνα,

αφού Εικόνα, Εικόνα και Εικόνα.

Νόμος των συνημίτονων

Όταν είναι γνωστές οι τρεις πλευρές ενός τριγώνου ή οι δυο πλευρές και η περιεχόμενη γωνία τους δεν μπορούμε εύκολα με μόνο το νόμο των ημίτονων να υπολογίσουμε τα άλλα στοιχεία του. Στην περίπτωση αυτή χρησιμοποιούμε το παρακάτω θεώρημα που είναι γνωστό ως νόμος των συνημίτονων.

ΘΕΩΡΗΜΑ

Σε κάθε τρίγωνο ΑΒΓ ισχύει:

 

α2 = β2 + γ2 - 2βγσυνΑ

 

β2 = γ2 + α2 - 2γασυνΒ

 

γ2 = α2 + β2 - 2αβσυνΑ

ΑΠΟΔΕΙΞΗ

Θα αποδείξουμε μόνο την πρώτη ισότητα. Με όμοιο τρόπο αποδεικνύονται και οι υπόλοιπες ισότητες.

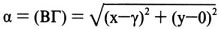
Στο επίπεδο του τριγώνου θεωρούμε ένα σύστημα συντεταγμένων με αρχή το Α και θετικό ημιάξονα των x την ημιευθεία ΑΒ. Έτσι οι συντεταγμένες του Β θα είναι (γ,0), ενώ για τις συντεταγμένες (x, y) του Γ θα ισχύει

συνΑ = xΒ     και     ημΑ = yΒ

Εικόνα

ή ισοδύναμα

(1)

x = βσυνΑ     και     y = βημΑ

Αν χρησιμοποιήσουμε τώρα τον τύπο της απόστασης για τα σημεία Β(γ,0) και Γ(x,γ), βρίσκουμε ότι:

Εικόνα

οπότε, λόγω της (1), έχουμε:

α2 = (x - γ)2 + y2





= (βσυνΑ - γ)2 + (βημΑ)2

= β2συν2Α + γ2 - 2βγσυνΑ + β2ημ2Α

= β2(συν2Α + ημ2Α) + γ2 - 2βγσυνΑ

= β2 + γ2 - 2βγσυνΑ


Σχόλιο. Είναι φανερό ότι με το νόμο των συνημίτονων μπορούμε αμέσως να υπολογίσουμε μια οποιαδήποτε πλευρά ενός τριγώνου, αρκεί να δοθούν οι άλλες δύο και η περιεχόμενη τους γωνία. Με τον ίδιο νόμο μπορούμε επιπλέον να υπολογίσουμε και τις γωνίες ενός τριγώνου, του οποίου είναι γνωστές και οι τρεις πλευρές, αφού οι παραπάνω ισότητες γράφονται:

συνΑ = β2 + γ2 - α22βγ ,     συνΒ = γ2 + α2 - β22γα ,     συνΓ = α2 + β2 - γ22αβ

ΠΑΡΑΔΕΙΓΜΑΤΑ - ΕΦΑΡΜΟΓΕΣ

1ο 

Να επιλυθεί το τρίγωνο ΑΒΓ με α = 35, β = 20 και γ = 42.

ΛΥΣΗ

Από το νόμο των συνημιτόνων έχουμε:

● 352 = 202 + 422 - 2·20·42συνΑ, οπότε συν Α = 202 + 422 - 3522·20·42 ≈ 0,5589. Άρα Α ≈ 56o

● 202 = 352 + 422 - 2·35·42συνΒ, οπότε συν Β = 352 + 422 - 2022·35·42 ≈ 0,8806. Άρα Β ≈ 28o

Άρα Γ ≈ 96o

2ο 

Να επιλυθεί το τρίγωνο ΑΒΓ με β= 20, γ = 42 και Α = 56o.

ΛΥΣΗ

Από το νόμο των συνημιτόνων έχουμε:

α2 = 202 + 422 - 2·20·42συν56o ≈ 1225, οπότε α ≈ 35.

Έτσι γνωρίζουμε και τις τρεις πλευρές του τριγώνου, οπότε αναγόμαστε στο προηγούμενο πρόβλημα.

3ο 

Να αποδειχθεί ότι το εμβαδό Ε ενός τριγώνου ΑΒΓ δίνεται από τον τύπο: E = 12βγημΑ.

ΑΠΟΔΕΙΞΗ

Εικόνα

Αν φέρουμε το ύψος ΓΚ του τριγώνου, έχουμε:

E = 12 (AB)·(ΓΚ) 

[γιατί ημΑ = (ΓΚ)(ΑΓ)]

= 12 (AB)·(AΓ)·ημΑ

= 12 γ·β·ημΑ

Ο παραπάνω τύπος ισχύει προφανώς και στην περίπτωση που Α = 90o.

4ο 




Σε ένα υλικό σημείο Ο εφαρμόζονται δυο δυνάμεις που έχουν μέτρα F1 και F2 αντίστοιχα και σχηματίζουν γωνία ω. Να αποδειχθεί ότι το μέτρο F της συνισταμένης τους δίνεται από τον τύπο:

F2 = F12 + F22 + 2F1F2συνω

Εικόνα

ΑΠΟΔΕΙΞΗ

Επειδή (ΟΑ) = F1, (ΑΓ) = F2 και (ΟΓ) = F, στο τρίγωνο ΟΑΓ έχουμε:

F2 = (ΟΓ)2



= (ΟΑ)2 + (ΑΓ)2 - 2(ΟΑ)(ΑΓ)συνΑ

= F12 - F22 + 2F1F2συν(180o - ω)

= F12 + F22 + 2F1F2συνω

ΑΣΚΗΣΕΙΣ

   Α′ ΟΜΑΔΑΣ

1.

Δυο πύργοι Α και Β βρίσκονται εκατέρωθεν ενός ποταμού. Ένας παρατηρητής Π βρίσκεται προς το ίδιο μέρος του ποταμού με τον πύργο Α. Αν στο τρίγωνο ΠΑΒ είναι ΠΑ = 300m, Α = 63o και Π = 56o, να βρείτε την απόσταση των πύργων Α και Β.

Εικόνα

2.

Ένας συλλέκτης ηλιακής ακτινοβολίας μήκους 5m είναι τοποθετημένος στην οροφή ενός κτιρίου, όπως δείχνει το διπλανό σχήμα. Να υπολογίσετε το μήκος του βραχίονα με τον οποίο στηρίζεται ο συλλέκτης.

Εικόνα

3.

Στο διπλανό σχήμα να αποδείξετε ότι:

Εικόνα

 

i) ΓΔ =    dημx   ημ(y - x),

ii) ΑΓ = dημx·ημyημ(y - x)

4.

Να αποδείξετε ότι δεν υπάρχει τρίγωνο ΑΒΓ με α = 30, β = 10 και Β = 31o.

5.

Να υπολογίσετε τη γωνία θ του διπλανού σχήματος.

Εικόνα

6.

Να υπολογίσετε το μήκος του έλους του διπλανού σχήματος.

Εικόνα

7.

Να υπολογίσετε τη γωνία θ του ορθογωνίου κουτιού του διπλανού σχήματος:

Εικόνα

8.

Να αποδείξετε ότι σε κάθε τρίγωνο ΑΒΓ ισχύει η ισότητα

συνΑα + συνΒβ + συνΓγ = α2 + β2 + γ22αβγ

9.

Να αποδείξετε ότι σε κάθε τρίγωνο ΑΒΓ ισχύει η ισότητα

βσυνΓ + γσυνΒ = α

10.

Αν σε ένα τρίγωνο ΑΒΓ ισχύει η ισότητα βσυνΓ = γσυνΒ, να αποδείξετε ότι β = γ και αντιστρόφως.

11.

Αν σε ένα τρίγωνο ΑΒΓ ισχύει η ισότητα α = 2βσυνΓ, να αποδείξετε ότι β = γ και αντιστρόφως.



   B′ ΟΜΑΔΑΣ

1.

Αν σε ένα τρίγωνο ΑΒΓ ισχύει η ισότητα Β = 2Α, να αποδείξετε ότι:

 

i) συνΑ = β

ii) β2 - α2 = αγ

 

2.

Στο διπλανό σχήμα να αποδείξετε ότι:

ΓΔ = α(συνx - ημx)

Εικόνα

3.

Αν σε ένα τρίγωνο ΑΒΓ ισχύει μια από τις ισότητες:

 

i) β = αημΒ,

ii) αημΑ = βημΒ + γημΓ.

 
 

να αποδείξετε ότι το τρίγωνο είναι ορθογώνιο

4.

Αν σε ένα τρίγωνο ΑΒΓ ισχύει η ισότητα ασυνΑ - βσυνΒ, να αποδείξετε ότι το τρίγωνο είναι ορθογώνιο ή ισοσκελές.

5.

Να αποδείξετε ότι σε κάθε τρίγωνο ΑΒΓ ισχύει η ισότητα:

 

α - βα + β = εφ Α - Β2·εφΓ2

6.

Στο διπλανό σχήμα να αποδείξετε ότι:

(ΒΓ)2 = 5 + 3συν2θ2

Εικόνα

7.

Στο διπλανό σχήμα να αποδείξετε ότι:

i) x2 + y2 = 2α2 + 2β2

ii) (ΑΒΓΔ) = 2αβημω

Εικόνα

ΓΕΝΙΚΕΣ ΑΣΚΗΣΕΙΣ (Γ′ ΟΜΑΔΑΣ)

1.

Σε τρίγωνο ΑΒΓ το ύψος του ΑΔ είναι ίσο με το μισό της πλευράς ΒΓ. Να αποδείξετε ότι ισχύει εφΒ + εφΓ = 2εφΒεφΓ και σφΒ + σφΓ = 2.

2.

Αν για τις γωνίες ενός τριγώνου ΑΒΓ ισχύει εφΒεφΓ = ημ2Bημ2Γ, να αποδείξετε ότι το τρίγωνο αυτό είναι ορθογώνιο ή ισοσκελές.

3.

Να αποδείξετε ότι τα σημεία Μ(x,y) του επιπέδου με x = 1 + 2συνt, y = 3 + 2ημt βρίσκονται σε κύκλο κέντρου Κ(1,3) και ακτίνας ρ = 2.

4.

Να λύσετε τις εξισώσεις:

 

i) 1 + ημxσυνx +   συνx  1 + ημx = 4

ii) συνx·σφx1 - ημx = 3

 

5.

i)  

Αν 0 < x < π2, να αποδείξετε ότι εφx + σφx ≥ 2

ii) 

Αν 0 ≤ α < β < π2, να αποδείξετε ότι εφα <  ημα + ημβ συνα + συνβ < εφβ

6.

Να λύσετε την εξίσωση 2συν (π3 - 2x) = 1 στο διάστημα (4π, 5π).

7.

Σε ένα λούνα-παρκ ο περιστρεφόμενος τροχός έχει ακτίνα 4m, to κέντρο του απέχει από το έδαφος 10m και όταν αρχίζει να κινείται εκτελεί μια πλήρη περιστροφή σε 8 δευτερόλεπτα με σταθερή ταχύτητα. Να βρείτε το ύψος του βαγονιού Α από το έδαφος ύστερα από χρόνο 1sec, 2sec, 5sec και γενικότερα ύστερα από χρόνο t sec. Να λύσετε το ίδιο πρόβλημα για το βαγόνι Β.

Εικόνα

8.

Να αποδείξετε ότι

 

i) σφx - εφx = 2σφ2x

ii) σφx - 2εφ2x - 4εφx - 8εφx = εφx

9.

Με τη βοήθεια του τύπου ημ3α = 3ημα - 4ημ3α να λύσετε τις εξισώσεις:

 
 

i) 8x3 - 6x + √2 = 0

ii) 8x3 - 6x - 1 = 0

 

10.

Να αποδείξετε ότι το σύνολο των σημείων M(x,y) με x = συνθ και y = συνθ2 + 1, όπου θ ∈ [0, π], είναι το τόξο της παραβολής y = 2x2, με x ∈ [-1, 1].

11.

Με τη βοήθεια των τύπων ημ2α =   2εφα  1 + εφ2α και συν2α = 1 - εφ2α1 + εφ2α να αποδείξετε ότι η συνάρτηση f(x) =  1 + ημx 5 + 4συνx, x ∈ (-π, π) παίρνει τιμές στο διάστημα [0, 109].

12.

Να λύσετε την εξίσωση:

ημx + συνx -  ημ2x 2 + 1 = συν (π4 - x)

13.

Ένα γκαράζ σχήματος ορθογωνίου έχει σχεδιασθεί, έτσι ώστε να αποτελείται (από ένα τετράγωνο ΑΒΓΑ και ένα ορθογώνιο ΟΑΔΕ με ΟΔ = 20m, όπως περιγράφει το διπλανό σχήμα. Για ποια τιμή της γωνίας 0 rad το εμβαδό S m2 του γκαράζ γίνεται μέγιστο;

Υπόδειξη

i) Να δείξετε ότι S = 400συν2θ + 400ημθσυνθ

ii) Να εκφράσετε το S στη μορφή

S = ρημ(20 + φ) + c

Να βρείτε την τιμή του θ, για την οποία το S παίρνει τη μέγιστη τιμή, την οποία και να προσδιορίσετε.

Εικόνα

14.

Δίνεται ένα τρίγωνο ΑΒΓ και η διάμεσος του ΑΜ. Αν Εικόνα, Εικόνα και Εικόνα, να αποδείξετε ότι:

2σφω = σφx - σφy

Εικόνα

15.

Να υπολογίσετε τις γωνίες Β και Γ του διπλανού σχήματος, αν ισχύει ΔΓΔΒ = √3

Εικόνα