Άλγεβρα - Βιβλίο Μαθητή
1.1 Οι τριγωνομετρικές συναρτήσεις 1.3 Τριγωνομετρικοί αριθμοί αθροίσματος γωνιών Επιστροφή στην αρχική σελίδα του μαθήματος

1.2 Βασικές τριγωνομετρικές εξισώσεις

Η εξίσωση ημx = α

Έστω ότι θέλουμε να λύσουμε την εξίσωση ημx = 12. Είναι φανερό ότι ζητάμε να βρούμε τις τετμημένες των σημείων τομής της καμπύλης y = ημx και της ευθείας y = 12.

Εικόνα

Ζητάμε δηλαδή εκείνα τα x ∈ R, για τα οποία η συνάρτηση f(x) = ημx παίρνει την τιμή 12. Επειδή η συνάρτηση αυτή είναι περιοδική με περίοδο 2π, για να βρούμε τα ζητούμενα x, που είναι άπειρα σε πλήθος (βλ. σχήμα), αρκεί να βρούμε όσα από αυτά υπάρχουν σε ένα διάστημα πλάτους 2π και σε κάθε ένα να προσθέσουμε το κ·2π, όπου κ ακέραιος.

Με τη βοήθεια του τριγωνομετρικού κύκλου βρίσκουμε ότι οι λύσεις της εξίσωσης ημx = 12 στο διάστημα [0, 2π], είναι οι π6 και π - π6 = 6, γιατί ημ π6 = ημ 6 = 12.

Επομένως το σύνολο των λύσεων της εξίσωσης ημx = 12 δίνεται από τους τύπους

Εικόνα

Εικόνα

Γενικότερα, αν θ είναι μία λύση της εξίσωσης ημx = α, αν δηλαδή ισχύει ημθ = α, τότε οι λύσεις της εξίσωσης δίνονται από τους τύπους:

x = 2κπ + θ

 

ή

 

,

κ ∈ Ζ

x = 2κπ + (π - θ)


ΠΑΡΑΔΕΙΓΜΑΤΑ

1. Να λυθεί η εξίσωση ημx = - 32.

ΛΥΣΗ

Επειδή ημ π3 = 32, ισχύει ημ (- π3) = - 32. Επομένως η εξίσωση γράφεται ημx = ημ ( - π3), οπότε οι λύσεις της δίνονται από τους τύπους:

Εικόνα

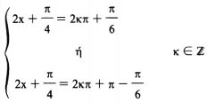
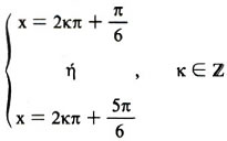
2. Να λυθεί η εξίσωση ημ (2x + π4) = 12.

ΛΥΣΗ

Επειδή ημ π6 = 12, έχουμε ημ (2x + π4) = ημ π6, οπότε

Εικόνα

Ισχύει όμως

2x + π4 = 2κπ + π6 ⇔ 2x = 2κπ + π6 - π4 ⇔ x = κπ - π24

και

2x + π4 = 2κπ + (π - π6) ⇔ 2x = 2κπ + π - π6 - π4 ⇔ x = κπ + 24

Άρα οι λύσεις της εξίσωσης δίνονται από τους τύπους

Εικόνα

Η εξίσωση συνx = α

Με ανάλογες σκέψεις όπως προηγουμένως, εργαζόμαστε για να λύσουμε π.χ. την εξίσωση συνx = 12.

Με τη βοήθεια του τριγωνομετρικού κύκλου βρίσκουμε ότι οι λύσεις της εξίσωσης συνx = 12 στο διάστημα [-π, π] είναι οι π3 και - π3, γιατί συν π3 = συν (- π3) = 12.

Επομένως το σύνολο των λύσεων της εξίσωσης συνx = 12 δίνεται από τους τύπους

Εικόνα

Εικόνα

Γενικότερα, αν θ είναι μία λύση της εξίσωση συνx = α, αν δηλαδή ισχύει συνθ = α, τότε οι λύσεις της εξίσωσης αυτής δίνονται από τους τύπους

x = 2κπ + θ

 

ή

 

,

κ ∈ Ζ

x = 2κπ - θ

ΠΑΡΑΔΕΙΓΜΑΤΑ

1. Να λυθεί η εξίσωση συνx = 22.

ΛΥΣΗ

Επειδή συν π4 = 22, έχουμε συνx = συν π4, οπότε οι λύσεις της εξίσωσης αυτής δίνονται από τους τύπους:

Εικόνα

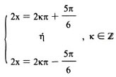
2. Να λυθεί η εξίσωση συν2x = - 32.

ΛΥΣΗ

Επειδή συν π6 = 32, ισχύει συν (π - π6) = - 32 δηλαδή συν 6 = - 32. Έχουμε επομένως συν2x = συν 6, οπότε

Εικόνα ή ισοδύναμα Εικόνα

Η εξίσωση εφx = α

Έστω η εξίσωση εφx = √3. Όπως γνωρίζουμε η συνάρτηση εφ είναι περιοδική με περίοδο π. Επομένως, για να λύσουμε την εξίσωση, αρκεί να βρούμε τις λύσεις της σε ένα διάστημα πλάτους π, π.χ. το (- π2, π2) και να προσθέσουμε σε αυτές το κπ, κ ∈ Z. Όπως φαίνεται όμως και στο σχήμα, μια μόνο λύση της εξίσωσης εφx = √3 υπάρχει στο διάστημα αυτό. Η λύση αυτή είναι η π3, γιατί εφ π3 = √3.

Εικόνα

Επομένως οι λύσεις της εξίσωσης εφx = √3 είναι: x = κπ + π3, κ ∈ Z.

Γενικότερα, αν θ είναι μια λύση της εξίσωσης εφx = α, αν δηλαδή ισχύει εφx = εφθ, τότε οι λύσεις της εξίσωσης αυτής είναι:

x = κπ + θ, κ ∈ Z

Ο ίδιος τύπος λύσεων ισχύει και για την εξίσωση σφx = α


ΠΑΡΑΔΕΙΓΜΑΤΑ

1. Να λυθεί η εξίσωση εφx = -1.

ΛΥΣΗ

Επειδή εφ π4 = 1, ισχύει εφ (- π4) = -1. Έχουμε επομένως εφx = εφ (- π4), οπότε

x = κπ - π4,     κ ∈ Z

2. Να λυθεί η εξίσωση σφx = √3.

ΛΥΣΗ

Επειδή σφ π6 = √3, έχουμε σφx = σφ π6, οπότε οι λύσεις της εξίσωσης είναι

x = κπ + π6,     κ ∈ Z


ΑΣΚΗΣΕΙΣ

   Α′ ΟΜΑΔΑΣ

1.

Να λύσετε τις εξισώσεις

 

i) ημx = 0

ii) ημx = 22

iii) συνx = 0

iv) συνx = 22

2.

Να λύσετε τις εξισώσεις

 

i) ημx = - 12

ii) ημx = -1

iii) συνx = - 22

iv) συνx = -1

3.

Να λύσετε τις εξισώσεις

 

i) εφx = 0

ii) εφx = 33

iii) σφx = 1

iv)σφx = √3

4.

Να λύσετε τις εξισώσεις

 

i) εφx = - 33

 

ii) σφx = - 33

 

5.

Να λύσετε τις εξισώσεις

 

i) (1 - ημx)(2ημx - √3) = 0

ii) (2ημx + √2)(1 - συνx) = 0

 

6.

Να λύσετε τις εξισώσεις

 

i) (√3 + εφx)(1 - εφx) = 0

ii) (2συνx + 1)(εφ2x - 3)σφx = 0

 

7.

Χρησιμοποιώντας τριγωνομετρικούς πίνακες ή επιστημονικό κομπιουτεράκι να λύσετε τις εξισώσεις

 

i) ημx = 0,951

ii) συνx = -0.809

iii) εφx = 28,636

8.

Να λύσετε τις εξισώσεις

 

i) 2ημ3x = √3

ii) συν x5 + 1 = 0

iii) 3εφ 2x7 - √3 = 0

9.

Να λύσετε τις εξισώσεις

 

i) ημ (x + π3) = -1

ii) 2συν (3x - π4) = 1

iii) εφ (π4 - 5x) = √3

10.

Να λύσετε τις εξισώσεις

 

i) 2ημ2ω + ημω - 1 = 0

ii) 2συν2x + 3συνx - 2 = 0

iii) 3εφ2t = 3 + 2√3εφt

11.

Να λύσετε τις εξισώσεις

 

i) ημ2x + 5συν2x = 4

ii) εφx·σφ2x = 1

 

12.

Να βρείτε για ποιες τιμές του x, καθεμιά από τις επόμενες συναρτήσεις έχει τη μέγιστη και για ποιες την ελάχιστη τιμή της:

 

i) f(x) = 3ημ (x - π2), 0 ≤ x ≤ 2π,

ii) g(x) = 7συν (x - π2), 0 ≤ x ≤ 2π,

 

13.

Οι μηνιαίες πωλήσεις ενός εποχιακού προϊόντος (σε χιλιάδες κομμάτια) δίνονται κατά προσέγγιση από τον τύπο S = 75 + 50·ημ πt6, όπου to χρόνος σε μήνες και με t = 1 να αντιστοιχεί στον Ιανουάριο.

 

i)  

Να βρείτε ποιους μήνες οι πωλήσεις φτάνουν τις 100000 κομμάτια,

 

ii) 

Να βρείτε ποιο μήνα έχουμε το μεγαλύτερο αριθμό πωλήσεων και πόσες είναι αυτές.



   B′ ΟΜΑΔΑΣ

1.

Να λύσετε τις εξισώσεις

 

i) ημx + συν (π4 - x) = 0

ii) εφ2x - σφ (π3 + 3x) = 0

 

2.

Να λύσετε τις εξισώσεις

 

i) εφx·ημx + 1 = ημx + εφx

ii)    1   συν2x - 2εφx = 4

3.

Να βρείτε τις λύσεις της εξίσωσης εφx = 1 στο διάστημα (3π, 4π).

4.

Να λύσετε την εξίσωση 1 + συνx = ημx στο διάστημα [0, 2π).

5.

Να λύσετε την εξίσωση εφx = σφ (π3 + x) στο διάστημα [0, 2π).