Άλγεβρα και Στοιχεία Πιθανοτήτων - Βιβλίο Μαθητή
Ανισώσεις Βασικές Έννοιες των Συναρτήσεων Επιστροφή στην αρχική σελίδα του μαθήματος

ΚΕΦΑΛΑΙΟ 5ο

Πρόοδοι

5.1 Ακολουθίες

Η έννοια της ακολουθίας

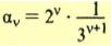
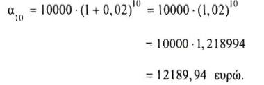
Ας υποθέσουμε ότι καταθέτουμε στην τράπεζα ένα κεφάλαιο 10000 ευρώ με ανατοκισμό ανά έτος και με επιτόκιο 2%. Αυτό σημαίνει ότι σε ένα χρόνο οι τόκοι που θα αποδώσει το κεφάλαιο προστίθενται σε αυτό και το ποσό που προκύπτει ξανατοκίζεται για τον επόμενο χρόνο με το ίδιο επιτόκιο. Η διαδικασία αυτή μπορεί να συνεχιστεί όσα χρόνια θέλουμε. Επομένως, το κεφάλαιο των 10000 ευρώ θα γίνει:

pic51

Συνεχίζοντας με τον ίδιο τρόπο βρίσκουμε ότι το ποσό των 10000 ευρώ θα γίνει:

Σε 3 χρόνια 10000 (1,02)4 ευρώ, σε 4 χρόνια 10000•(1,02)4 ευρώ κτλ. και σε ν χρόνια θα γίνει 10000(1,02 )ν ευρώ.

Έτσι έχουμε τον πίνακα:

pic52

Παρατηρούμε ότι κάθε θετικός ακέραιος ν αντιστοιχίζεται στον πραγματικό αριθμό 10000•(1,02)ν.

Η παραπάνω αντιστοίχιση ονομάζεται ακολουθία πραγματικών αριθμών.

Γενικά ακολουθία πραγματικών αριθμών είναι μια αντιστοίχιση των φυσικών αριθμών 1,2,3,…,ν,… στους πραγματικούς αριθμούς. Ο αριθμός στον οποίο αντιστοιχεί ο 1 καλείται πρώτος όρος της ακολουθίας και τον συμβολίζουμε συνήθως με α1, ο αριθμός στον οποίο αντιστοιχεί ο 2 καλείται δεύτερος όρος της ακολουθίας και τον συμβολίζουμε συνήθως με α2 κ.λ.π. Γενικά ο αριθμός στον οποίο αντιστοιχεί ένας φυσικός αριθμός ν καλείται ν-οστός ή γενικός όρος της ακολουθίας και το συμβολίζουμε συνήθως με αν. Δηλαδή, 1→ α1, 2→ α2, 3→α3, …, ν→αν, … Την ακολουθία αυτή τη συμβολίζουμε (αν).

Παραδείγματα.

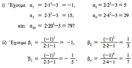
  1. Η αντιστοίχιση 1→12, 2→22,... ν→ν2,... είναι η ακολουθία (αν) με πρώτο όρο α1=12, δεύτερο όρο α2=22 κλπ. και γενικό όρο αν2.
  2. Η ακολουθία (αν) με γενικό όρο αν= (-1)ν έχει όρους: α1=-1, α2=1, α3= -1,…
  3. pic53

Ακολουθίες που ορίζονται αναδρομικά

Στην ακολουθία 12, 22, 32, ..., ν2,... ο γενικός της όρος αν = ν2 μας επιτρέπει να βρούμε τον οποιονδήποτε όρο της. Είναι π.χ. α20 = 202 = 400, α100 = 1002 = 10000 κτλ.

Υπάρχουν όμως και ακολουθίες που για το γενικό τους όρο είναι δύσκολο να βρεθεί ένας μαθηματικός τύπος

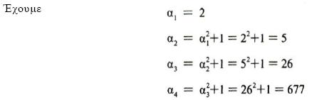
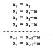
Ας θεωρήσουμε π.χ. την ακολουθία (αν), της οποίας ο πρώτος όρος είναι το 1, ο δεύτερος όρος είναι επίσης το 1 και κάθε άλλος όρος, από τον τρίτο και μετά, είναι ίσος με το άθροισμα των δυο προηγούμενων όρων:

pic54

Έχουμε:

pic55

Παρατηρούμε ότι μπορούμε με διαδοχικά βήματα να βρούμε τον οποιονδήποτε όρο της ακολουθίας. Αυτό σημαίνει ότι η ακολουθία (αν) είναι τελείως ορισμένη.

Λέμε ότι η ακολουθία (αν) ορίζεται αναδρομικά και η ισότητα αν+2 = αν+1ν λέγεται αναδρομικός τύπος της ακολουθίας. Γενικότερα, για να ορίζεται μια ακολουθία αναδρομικά, απαιτείται να γνωρίζουμε:

  1. Τον αναδρομικό της τύπο και
  2. Όσους αρχικούς όρους μας χρειάζονται, ώστε ο αναδρομικός τύπος να αρχίσει να δίνει όρους.

Σχόλιο: Υπάρχουν ακολουθίες, για τις οποίες μέχρι τώρα δε γνωρίζουμε ούτε έναν τύπο για το γενικό τους όρο ούτε έναν αναδρομικό τύπο. Μια τέτοια ακολουθία είναι π.χ. η ακολουθία των πρώτων αριθμών:

2, 3, 5, 7, 11, 13,...

Γραφική παράσταση ακολουθίας

Όπως μια συνάρτηση έτσι και μια ακολουθία μπορεί να παρασταθεί γραφικά σε ένα σύστημα συντεταγμένων.

Βέβαια, αφού το πεδίο ορισμού μιας ακολουθίας είναι το IN η γραφική της παράσταση αποτελείται από σημεία με τετμημένες θετικούς ακέραιους αριθμούς. Για παράδειγμα, στο διπλανό σχήμα βλέπουμε μερικά σημεία της γραφικής παράστασης της ακολουθίας αν = 2ν-1. Τα σημεία αυτά είναι προφανώς εκείνα τα σημεία της ευθείας y=2x-1 που έχουν τετμημένες ακέραιους θετικούς αριθμούς.

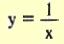
Ομοίως, στο διπλανό σχήμα βλέπουμε μερικά σημεία της γραφικής παράστασης της ακολουθίαςpic57

Τα σημεία αυτά είναι εκείνα τα σημεία της υπερβολής pic58 που έχουν τετμημένες ακέραιους θετικούς αριθμούς.

pic56

ΠΑΡΑΔΕΙΓΜΑΤΑ

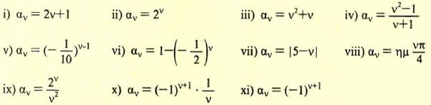
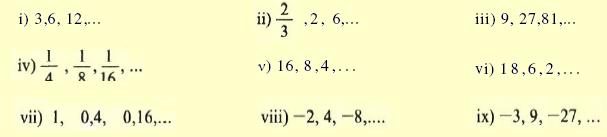
1ο Να γράψετε τους τέσσερις πρώτους όρους και τους 20ους όρους των ακολουθιών

pic59

ΛΥΣΗ

pic510

pic511

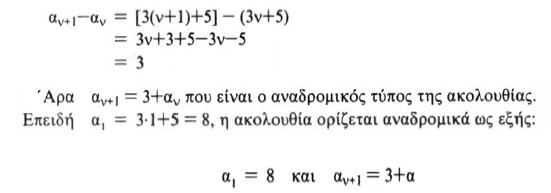
2ο Δίνεται η ακολουθία με α = 2 και α = α2 + 1. Να βρεθούν οι πρώτοι τέσσερις όροι της ακολουθίας

ΛΥΣΗ

pic512

3ο Δίνεται η ακολουθία αν = 3ν+5. Να οριστεί η ακολουθία αυτή και αναδρομικά.

ΛΥΣΗ

pic513

ΑΣΚΗΣΕΙΣ

Α' ΟΜΑΔΑΣ

1. Να βρείτε τους πέντε πρώτους όρους των ακολουθιών:
 

pic514

2. Να βρείτε τους πέντε πρώτους όρους των ακολουθιών:

pic515

3.

Να ορίσετε αναδρομικά τις ακολουθίες:

pic516

4.

Να βρείτε το ν όρο των ακολουθιών:

pic517

5.

Να παραστήσετε γραφικά τους πέντε πρώτους όρους των ακολουθιών:

pic518

ΑΣΚΗΣΕΙΣ

B' ΟΜΑΔΑΣ

1.

Το σημείο Μν κινείται στο ημικύκλιο κέντρου Ο και ακτίνας ,1 έτσι, ώστε pic519θετικός ακέραιος μεγαλύτερος της μονάδας. Να βρείτε το γενικό όρο της ακολουθίας (αν), της οποίας κάθε όρος εκφράζει το μήκος του ΑΜν.

/td>
pic520
2.

Θεωρούμε την ευθεία y = x+1 και την ακολουθία (αν), της οποίας ο όρος αν εκφράζει το γραμμοσκιασμένο εμβαδό. Να βρείτε το αν .

pic521

 

3.

Θεωρούμε την ακολουθία pic522

  1. Να χαράξετε τη γραφική παράσταση της συνάρτησης pic523εξηγήσετε στο σχήμα τι παριστάνει η ακολουθία ( αν ).
  2. Να αποδείξετε ότι για την ακολουθία αυτή ισχύει αν+1 < αν .
4.

Να βρείτε το ν° όρο της ακολουθίας με α1 = 1 και αν = ν · αν

5.

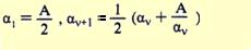
Αν δοθεί ένας αριθμός Α > 0, τότε αποδεικνύεται ότι οι διαδοχικοί όροι της ακολουθίας με pic524προσεγγίζουν όλο και περισσότερο την pic525καθώς το ν μεγαλώνει. Να βρείτε μια προσέγγιση της pic526 υπολογίζοντας τον α4. (Να συγκρίνετε το αποτέλεσμα με την τιμή της pic526που δίνουν οι πίνακες).

6.

Κάθε πλευρά ενός ισόπλευρου τριγώνου χωρίζεται σε τρία ίσα τμήματα. Το μεσαίο τμήμα κάθε πλευράς αντικαθίσταται από τις δυο πλευρές ισόπλευρου τριγώνου. Στο σχήμα με μορφή αστεριού που προκύπτει αντικαθιστούμε πάλι το μεσαίοpic527 κάθε πλευράς με δυο πλευρές ισόπλευρου τριγώνου. Με ανάλογο τρόπο συνεχίζουμε για κάθε σχήμα που προκύπτει από τη διαδικασία αυτή.

pic528

  1. Να βρείτε έναν αναδρομικό τύπο και το γενικό όρο της ακολουθίας (Sv) που εκφράζει το πλήθος των πλευρών κάθε σχήματος.
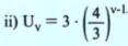
  2. Να βρείτε έναν αναδρομικό τύπο και το γενικό όρο της ακολουθίας (Uv) που εκφράζει την περίμετρο κάθε σχήματος, αν το αρχικό ισόπλευρο τρίγωνο έχει πλευρά ίση με 1.

5.2 Αριθμητική πρόοδος

-Στην ακολουθία 1, 3, 5, 7,... των περιττών αριθμών, κάθε όρος προκύπτει από τον προηγούμενό του με πρόσθεση του αριθμού 2. Δηλαδή για την ακολουθία αυτή ισχύει:

pic529

Η ακολουθία (αν) λέγεται αριθμητική πρόοδος με διαφορά 2.

-Στην ακολουθία 15, 10, 5, 0, -5, -10,... κάθε όρος προκύπτει από τον προηγούμενό του με πρόσθεση του αριθμού -5. Δηλαδή για την ακολουθία αυτή ισχύει:

pic530

Όπως και προηγουμένως, η ακολουθία (αν) λέγεται αριθμητική πρόοδος με διαφορά -5.

Γενικότερα ορίζουμε ότι:

Μια ακολουθία λέγεται αριθμητική πρόοδος, αν κάθε όρος της προκύπτει από τον προηγούμενό του με πρόσθεση του ίδιου πάντοτε αριθμού.

Τον αριθμό αυτό τον συμβολίζουμε με ω και τον λέμε διαφορά της προόδου.

Επομένως, η ακολουθία (αν) είναι αριθμητική πρόοδος με διαφορά ω, αν και μόνο αν ισχύει:

pic531

Αν σε μια αριθμητική πρόοδο γνωρίζουμε τον πρώτο όρο της α1 και τη διαφορά της ω τότε ο αναδρομικός της τύπος αν+1 = αν+ω μας επιτρέπει να βρούμε με διαδοχικά βήματα τον οποιονδήποτε όρο της.

Μπορούμε όμως να υπολογίσουμε κατευθείαν το ν= όρο αν μιας αριθμητικής προόδου ως συνάρτηση των α1. ω και ν ως εξής: Από τον ορισμό της αριθμητικής προόδου έχουμε:

pic532

Προσθέτοντας κατά μέλη της ν αυτές ισότητες και εφαρμόζοντας την ιδιότητα της διαγραφής βρίσκουμε αν1+(ν-1)ω

Επομένως

pic533

 

Έτσι π.χ. στην αριθμητική πρόοδο 3, 5, 7, 9 ................ η οποία έχει α, = 3 και ω=5-3=2, ο ν = όρος της είναι αν = 3+(ν-1) 2. Επομένως ο 20ος όρος της είναι α20 = 3+19 · 2 = 41, ο 100 όρος της είναι α100 = 3+99-2 = 201 κτλ.

Αριθμητικός μέσος

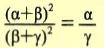
Αν πάρουμε τρεις διαδοχικούς όρους α, β, γ μιας αριθμητικής προόδου με διαφορά ω, τότε ισχύει:

pic534

Αλλά και αντιστρόφως, αν για τρεις αριθμούς α, β, γ ισχύει pic535 τότε έχουμε

pic536

που σημαίνει ότι οι α, β, γ είναι διαδοχικοί όροι αριθμητικής προόδου. Ο β λέγεται αριθμητικός μέσος των α και γ

Αποδείξαμε λοιπόν ότι:

pic537

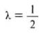
Άθροισμα ν διαδοχικών όρων αριθμητικής προόδου

Ας θεωρήσουμε την αριθμητική πρόοδο 1, 2, 3, 4,... και ας βρούμε το άθροισμα των 100 πρώτων όρων της

pic538

Αντί να προσθέσουμε τους αριθμούς αυτούς με τον συνήθη τρόπο, μπορούμε να βρούμε συντομότερα το άθροισμά τους ως εξής:

Γράφουμε δυο φορές το παραπάνω άθροισμα, αλλά με αντίθετη τη σειρά των προσθετέων και προσθέτουμε τις δυο ισότητες κατά μέλη:

pic539

Εφαρμόζοντας τον παραπάνω τρόπο σε μια οποιαδήποτε αριθμητική πρόοδο, θα αποδείξουμε ότι:

pic540

ΑΠΟΔΕΙΞΗ

pic541

pic542

ΠΑΡΑΔΕΙΓΜΑΤΑ

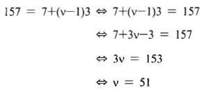
1ο Να βρεθεί το άθροισμα 7+10+13 +...+ 157

ΛΥΣΗ

Πρόκειται για το άθροισμα διαδοχικών όρων μιας αριθμητικής προόδου με α1 = 7, αν = 157 και ω = 3. Για να το υπολογίσουμε, χρειαζόμαστε το πλήθος ν των προσθετέων. Από τον τύπο του ν όρου αν = α1+(ν-1)ω έχουμε

pic543

Επομένως το ζητούμενο άθροισμα είναι

pic544

 

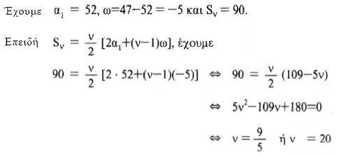
2ο Πόσοι όροι της αριθμητικής προόδου 52, 47, 42,... έχουν άθροισμα ίσο με 90;

ΛΥΣΗ

pic545

Επειδή όμως vpic03 N*, συμπεραίνουμε ότι ν = 20. Άρα 20 όροι της δοθείσης αριθμητικής προόδου έχουν άθροισμα ίσο με 90.

 

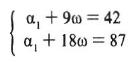
3ο Ο 10ος όρος μιας αριθμητικής προόδου είναι ο 42 και ο 19ος όρος της είναι ο 87. Να υπολογισθεί το άθροισμα των πρώτων 100 όρων της προόδου αυτής.

ΛΥΣΗ

Από τον τύπο αν = α1+(ν-1)ω έχουμε 42 =α1+ 9ω και 87= α1+ 18ω. Επομένως οι α και ω είναι οι λύσεις του συστήματος

pic546

Από την επίλυση του συστήματος αυτού βρίσκουμε ότι είναι α, = -3 και ω = 5.

pic547

ΑΣΚΗΣΕΙΣ

Α' ΟΜΑΔΑΣ

1. Να βρείτε το νo όρο των αριθμητικών προόδων:

 

 

pic548

2.

Να βρείτε το ζητούμενο όρο σε καθεμιά από τις αριθμητικές προόδους:

 

pic549

3.

i) Αν ο 6= όρος μιας αριθμητικής προόδου είναι 12 και ο 10 όρος είναι 16, να βρείτε τον 1° όρο και τη διαφορά της προόδου.

 
  1. Ομοίως, αν είναι α5 = 14 και α12 = 42
  2. Ομοίως, αν είναι α3 = 20 και α7 = 32.
4.
  1. Ο 5ος όρος μιας αριθμητικής προόδου είναι -5 και ο 15 = όρος της είναι -2. Να βρείτε τον 50° όρο της προόδου.
  2. Αν σε μια αριθμητική πρόοδο είναι α7 = 55 και α22 = 145, να βρείτε τον α18.
5.
  1. Ποιος όρος της αριθμητικής προόδου με α1 = 2 και ω = 5 ισούται με 97;
  2. Ποιος όρος της αριθμητικής προόδου με α1 = 80 και ω = -3 ισούται με -97;
6.
  1. Να βρείτε τον αριθμητικό μέσο των 10 και -40
  2. Να βρείτε για ποια τιμή του x ο αριθμητικός μέσος των 5x+1 και 11 είναι ο 3x-2.
7.

Αν δυο αριθμοί διαφέρουν κατά 10 και ο αριθμητικός τους μέσος είναι ο 25, να βρείτε τους δυο αυτούς αριθμούς.

8.

Να βρείτε το άθροισμα των πρώτων 40 όρων των αριθμητικών προόδων:

 

i)7,9,11,... ii) 0, 2, 4,.... iii) 6, 10, 14,... iv)-7,-2,+3,...

9.

Να βρείτε το άθροισμα των πρώτων 80 όρων των αριθμητικών προόδων:

 

pic550

10.

Να υπολογίσετε τα αθροίσματα:

 

i) 1+5+9 + .. + 197 ii) 9+12+15+ ... + 90 iii) -7-10-13-...-109

11.

Πόσους πρώτους όρους πρέπει να πάρουμε από καθεμιά από τις παρακάτω αριθμητικές προόδους για να έχουν άθροισμα 180;

 

i) 4, 8, 12,... ii) 5, 10, 15,...

12.

Μια στέγη σχήματος τραπεζίου έχει 15 σειρές κεραμίδια. Η πρώτη σειρά έχει 53 κεραμίδια και κάθε επόμενη σειρά έχει δυο κεραμίδια λιγότερα. Πόσα κεραμίδια έχει η 15η σειρά και πόσα κεραμίδια έχει συνολικά η στέγη;

B' ΟΜΑΔΑΣ

1. Ο ν-ος όρος μιας ακολουθίας είναι αν = 12-4ν. Να δείξετε ότι η ακολουθία αυτή είναι αριθμητική πρόοδος και να γράψετε τον πρώτο όρο της α1 και τη διαφορά της ω.
2.

Αν οι α, β, γ είναι θετικοί αριθμοί και οι α2, β2, γ2 είναι διαδοχικοί όροι αριθμητικής προόδου, να δείξετε ότι και οι αριθμοί pic551 είναι επίσης διαδοχικοί όροι αριθμητικής προόδου.

3.

Αν οι α1, β1 γ1 καθώς και οι α2, β2, γ2 είναι διαδοχικοί όροι μιας αριθμητικής προόδου να δείξετε ότι το σύστημα pic552

έχει ως μια λύση το ζεύγος (-1, 2).

4.

Να βρείτε το άθροισμα:

ί) των πρώτων 200 περιττών αριθμών, ii) των πρώτων 300 θετικών άρτιων

iii) όλων των περιττών αριθμών μεταξύ 16 και 380.

5.

Να βρείτε το άθροισμα:

  1. των πολλαπλασίων του 5 μεταξύ 1 και 199,
  2. των πολλαπλασίων του 3 μεταξύ 10 και 200
6.

Να βρείτε το άθροισμα:

  1. των πρώτων 30 όρων της ακολουθίας αν = 5ν-4,
  2. των πρώτων 40 όρων της ακολουθίας αν = -5ν-3.
7.

Να βρείτε το άθροισμα των ακεραίων από 1 μέχρι 200 που δεν είναι πολλαπλάσια του 4 ή του 9.

8.

Να βρείτε το ελάχιστο πλήθος πρώτων όρων της αριθμητικής προόδου 1, 3, 5, 7,... που απαιτούνται, ώστε το άθροισμα του να ξεπερνάει το 4000.

9.

i) Είναι γνωστό ότι, για κάθε vpic03cN*, το άθροισμα των πρώτων ν όρων μιας ακολουθίας (αν) είναι pic553Να δείξετε ότι η (αν) είναι αριθμητική πρόοδος και να γράψετε τους α1 , και ω.

ii) Ομοίως, αν είναι pic554

10.

Να συμπληρώσετε το διπλανό πίνακα, στον οποίο τα α1, ω, ν, αν και Sν ανήκουν σε κάθε γραμμή στην ίδια αριθμητική πρόοδο

 

pic555

11.

Ένα ρολόι χτυπάει τις ακέραιες ώρες. Πόσα χτυπήματα ακούγονται σε ένα 24/ωρο;

12.

Ένα στάδιο έχει 33 σειρές καθισμάτων. Στην κάτω-κάτω σειρά βρίσκονται 800 θέσεις και στην πάνω-πάνω σειρά βρίσκονται 4160 θέσεις. Το πλήθος των θέσεων αυξάνει από σειρά σε σειρά κατά τον ίδιο πάντα αριθμό θέσεων. Να βρείτε πόσες θέσεις έχει συνολικά το στάδιο και πόσες θέσεις έχει η μεσαία σειρά.

13.

Να βρείτε τέσσερις ακέραιους αριθμούς που αποτελούν διαδοχικούς όρους μιας αριθμητικής προόδου, αν το άθροισμα τους είναι 32 και το γινόμενο τους είναι 1680.

14.

Μεταξύ των αριθμών 3 και 80 θέλουμε να βρούμε άλλους 10 αριθμούς που όλοι μαζί να είναι διαδοχικοί όροι μιας αριθμητικής προόδου. Να βρεθούν οι αριθμοί αυτοί. [Τέτοια προβλήματα λέγονται προβλήματα παρεμβολής όρων].

15.

Να υπολογίσετε το άθροισμα: pic556

16.

Ένας αγρότης, για να κάνει μία γεώτρηση στο κτήμα του, συμφώνησε τα εξής με τον ιδιοκτήτη του γεωτρύπανου: Το 1 μέτρο θα κοστίσει 20 ευρώ και αυξανομένου του βάθους, θα αυξάνεται και η τιμή κάθε μέτρου κατά 5 ευρώ. Ο αγρότης διαθέτει 4700 ευρώ. Σε πόσο βάθος μπορεί να πάει η γεώτρηση στο κτήμα του;

5.3 Γεωμετρική πρόοδος

- Στην ακολουθία 3, 6, 12, 24,... κάθε όρος της προκύπτει από τον προηγούμενό του με πολλαπλασιασμό επί 2. Δηλαδή για την ακολουθία αυτή ισχύει:

pic557

- Στην ακολουθία 27, -9, 3,-1, ... κάθε όρος της προκύπτει από τον προηγούμενό του με πολλαπλασιασμό επί pic558.Δηλαδή για την ακολουθία αυτή ισχύει:

pic559

Όπως και προηγουμένως, η ακολουθία (αν) λέγεται γεωμετρική πρόοδος με λόγο pic558


Γενικότερα ορίζουμε ότι:

Μια ακολουθία λέγεται γεωμετρική πρόοδος, αν κάθε όρος της προκύπτει από τον προηγούμενο με πολλαπλασιασμό επί τον ίδιο πάντοτε μη μηδενικό αριθμό.

Τον αριθμό αυτό τον συμβολίζουμε με λ και τον λέμε λόγο της προόδου. Σε μια γεωμετρική πρόοδο (αν) υποθέτουμε πάντα ότι α1 # 0, οπότε, αφού είναι και λ ≠ 0, ισχύει αν ≠ 0 για κάθε vpic03 N*. Επομένως, η ακολουθία (αν) είναι γεωμετρική πρόοδος με λόγο λ, αν και μόνο αν ισχύει:

pic560

 

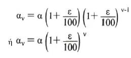
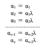
Αν σε μια γεωμετρική πρόοδο γνωρίζουμε τον πρώτο όρο της α. και το λόγο της λ, τότε ο αναδρομικός της τύπος αν+1ν· λ μας επιτρέπει να βρούμε με διαδοχικά βήματα τον οποιονδήποτε όρο της. Μπορούμε όμως να υπολογίσουμε κατευθείαν το ν° όρο αν μιας γεωμετρικής προόδου ως συνάρτηση των α1, λ και ν ως εξής:

Από τον ορισμό της γεωμετρικής προόδου έχουμε:

pic561

Πολλαπλασιάζοντας κατά μέλη τις ν αυτές ισότητες και εφαρμόζοντας την ιδιότητα της της διαγραφής, βρίσκουμε αν1λν-1

Επομένως

pic562

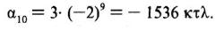
Έτσι π.χ. στη γεωμετρική πρόοδο 3, -6, 12, -24,... η οποία έχει α1 = 3 και pic563ο ν-ος όρος της είναι αν = 3 · (-2)ν-1. Επομένως ο 5ος όρος της είναι pic564 ο δέκατος όρος της είναι pic565

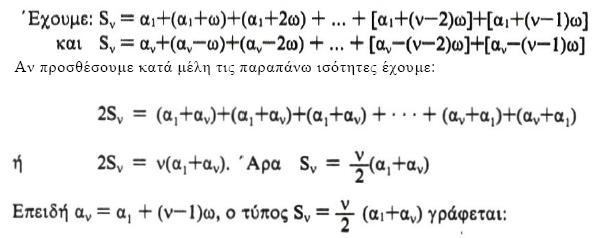
Γεωμετρικός μέσος

Αν πάρουμε τρεις διαδοχικούς όρους α, β, γ μιας γεωμετρικής προόδου με λόγο λ, τότε ισχύει

pic566

Αλλά και αντιστρόφως, αν για τρεις αριθμούς α, β, γ ≠0 ισχύει β2 = αγ, τότε pic567 που σημαίνει ότι οι α, β, γ είναι διαδοχικοί όροι μιας γεωμετρικής προόδου. Ο θετικός αριθμός pic568λέγεται γεωμετρικός μέσος των α και γ.

Αποδείξαμε λοιπόν ότι:

pic569

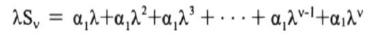
Άθροισμα ν διαδοχικών όρων γεωμετρικής προόδου

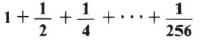
Ας θεωρήσουμε τη γεωμετρική πρόοδο 1, 3, 9, 27, ... στην οποία είναι α1 = 1 και λ = 3, και ας βρούμε το άθροισμα S7 των 7 πρώτων όρων της. Έχουμε

S7=1+3+9+27+81+243+729

Αντί να προσθέσουμε τους αριθμούς αυτούς με τον συνήθη τρόπο, μπορούμε να βρούμε συντομότερα το άθροισμά τους ως εξής: Πολλαπλασιάζουμε τα μέλη της (1) με το λόγο λ=3 και έχουμε

3S7=3+9+27+81+243+729+2187

Αφαιρούμε από τα μέλη της (2) τα μέλη της (1) και έχουμε:

pic570

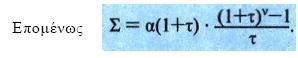
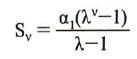
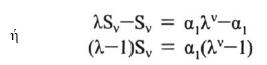
Εφαρμόζοντας τον παραπάνω τρόπο σε μια οποιαδήποτε γεωμετρική πρόοδο, θα αποδείξουμε ότι:

pic571

 

ΑΠΟΔΕΙΞΗ

Έστω pic572(1)

Πολλαπλασιάζουμε τα μέλη της (1) με το λόγο λ και έχουμε

pic573(2)

Αφαιρούμε από τα μέλη της (2) τα μέλη της (1) και έχουμε:

pic574

Επομένως, αφού λ ≠ 1, έχουμε:

pic575

Παρατήρηση: Στην περίπτωση που ο λόγος της προόδου είναι λ-1, τότε το άθροισμα των όρων της είναι Sv = ν · α1 αφού όλοι οι όροι της προόδου είναι ίσοι με α1.

ΠΑΡΑΔΕΙΓΜΑΤΑ

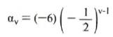
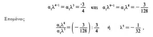
1° Να βρεθεί ο ν όρος μιας γεωμετρικής προόδου της οποίας ο 4ος όρος είναι pic576 και ο 9ος pic577

ΛΥΣΗ

Έστω α1, ο πρώτος όρος της γεωμετρικής προόδου και λ ο λόγος της. Τότε έχουμε:

pic578

από την οποία προκύπτει ότι

pic579

Αντικαθιστούμε την τιμή αυτή του λ στην pic580 και έχουμε

pic581

Άρα ο ν όρος της γεωμετρικής προόδου, σύμφωνα με τον τύπο αν1λν-1 είναι pic582

2° Να υπολογιστεί το άθροισμα pic586

ΛΥΣΗ

2° Πρόκειται για το άθροισμα διαδοχικών όρων μιας γεωμετρικής προόδου με α1 = 1 και pic583

Για να εφαρμόσουμε τον τύπο pic575, πρέπει να ξέρουμε το πλήθος ν των όρων. Από τον τύπο όμως του ν όρου αν1λν-1έχουμε pic584 και επομένως ν- 1 = 8 ή ν=9.

Άρα το ζητούμενο άθροισμα είναι:

pic585

ΑΣΚΗΣΕΙΣ

Α' ΟΜΑΔΑΣ

1. Να βρείτε το ν όρο των γεωμετρικών προόδων:
 

pic587

2. Να βρείτε το ζητούμενο όρο σε καθεμιά από τις γεωμετρικές προόδους:
 

pic588

3.

i) Να βρείτε τον 1° όρο μιας γεωμετρικής προόδου, της οποίας ο 5ος όρος είναι pic589 και ο λόγος 2.

 

ii) Ομοίως, αν ο 42 όρος είναι pic590 και ο λόγος pic591

4.

i) Να βρείτε το λόγο μιας γεωμετρικής προόδου της οποίας ο 3ος όρος είναι 12 και ο 62ος όρος είναι 96.

 

ii) Ομοίως, αν ο 2ος όρος είναι pic592 και ο 52ος όρος είναιpic593

5.

Να βρείτε:

 

i) τον α15 μιας γεωμετρικής προόδου με α1 = 20 και ω=1,05,

ii) τον α14 μιας γεωμετρικής προόδου με pic594

iii) τον α21 μιας γεωμετρικής προόδου με pic595

6.

Έστω η γεωμετρική πρόοδος 3, 6, 12,.... Να βρείτε το πλήθος των όρων της μέχρι και τον όρο που ισούται με 768.

7.

i) Να βρείτε τον πρώτο όρο της γεωμετρικής προόδου 4, 8, 16,... που υπερβαίνει το 2000

 

ii) Να βρείτε τον πρώτο όρο της γεωμετρικής προόδου 128, 64, 32,..., που είναι μικρότερος του 0,25.

8.

i) Να βρείτε το γεωμετρικό μέσο των αριθμών 5 και 20, καθώς και των pic596 και pic597

 

ii) Να βρείτε τον x ώστε οι αριθμοί x-4, x+1, x-19 να αποτελούν γεωμετρική πρόοδο.

9.

Να βρείτε το άθροισμα των πρώτων 10 όρων των γεωμετρικών προόδων

  pic598
10.

Να βρείτε το άθροισμα των πρώτων 8 όρων των γεωμετρικών προόδων

 

pic599

11.

Να υπολογίσετε τα αθροίσματα:

 

pic5100

12.

Μια κοινωνία βακτηριδίων διπλασιάζεται σε αριθμό κάθε μια ώρα. Αν αρχικά υπάρχουν 3 βακτηρίδια, πόσα βακτηρίδια θα υπάρχουν ύστερα από 12 ώρες;

13.

Μια μπάλα πέφτει από ύψος 60 μέτρων και αναπηδά σε έδαφος φθάνοντας κάθε φορά στο pic5101 του ύψους της προηγούμενης αναπήδησης. Να βρείτε σε τι ύψος θα φθάσει στην 4η αναπήδηση

B' ΟΜΑΔΑΣ

1. Ο ν όρος μιας ακολουθίας είναι pic5102. Να δείξετε ότι η ακολουθία αυτή είναι γεωμετρική πρόοδος και να γράψετε τους α1 και λ.
2. i) Αν ισχύει pic5103 να δείξετε ότι οι α, β, γ είναι διαδοχικοί όροι μιας γεωμετρικής προόδου.
 

ii) Αν οι α, β, γ είναι διαδοχικοί όροι μιας γεωμετρικής προόδου, να δείξετε ότι pic5104

3.

i) Αν οι α, β, γ είναι διαδοχικοί όροι μιας γεωμετρικής προόδου, να δείξετε ότι α222=(α+β+γ)(α-β+γ)

 

ii) Αν οι α, β, γ, δ είναι διαδοχικοί όροι μιας γεωμετρικής προόδου να δείξετε ότι (α-γ)2+(β-γ)2+(β-δ)2=(α-δ)2

4.

Για ποια τιμή του ν οι αριθμοί pic5105 είναι διαδοχικοί όροι γεωμετρικής προόδου;

5.

Να δείξετε ότι:

 

i) τα τετράγωνα των όρων μιας γεωμετρικής προόδου σχηματίζουν επίσης γεωμετρική πρόοδο

ii) Αν υψώσουμε κάθε όρο μιας γεωμετρικής προόδου στην k, τότε προκύπτει πάλι γεωμετρική πρόοδος.

6.

Να βρείτε τη γεωμετρική πρόοδο, της οποίας:

 

i) ο 4ος όρος είναι 24 και το άθροισμα των τριών πρώτων όρων της είναι 21,

ii) το άθροισμα των δυο πρώτων όρων της είναι pic5106 και το άθροισμα των τεσσάρων πρώτων όρων της είναι pic5107

7.

Να βρείτε το άθροισμα των πρώτων δέκα όρων της γεωμετρικής προόδου, στην οποία είναι α26 =34 και α37=68

8.

i) Να βρείτε το άθροισμα 1+α+α2+..+αν-1

 

ii) Να υπολογίσετε το γινόμενο (1-α)(1+α+α2+...+αν-1)

iii) Να δείξετε ότι xν-yν=(x-y)(xν-1+xν-2y+..+yν-1)

9.

Να υπολογίσετε το γινόμενο των πρώτων ν όρων της γεωμετρικής προόδου 2, 4, 8,...

10.

Αν το άθροισμα των πρώτων τριών όρων μιας γεωμετρικής προόδου είναι -13 και το γινόμενο τους είναι -27, να βρείτε τους όρους αυτούς.

11.

i) Είναι γνωστό ότι, για κάθε νpic03c N*, το άθροισμα των πρώτων ν όρων μιας ακολουθίας (αν) είναι Sν = 2ν-1. Να δείξετε ότι η (αν) είναι γεωμετρική πρόοδος και να γράψετε τους α1 και λ.

 

ii) Ομοίως, αν Sν = 3ν-1 iii) Ομοίως, αν Sν = 3(2ν-1)

12.

Να αποδείξετε ότι pic5108

13.

Ο πληθυσμός μιας χώρας είναι 90 εκατομμύρια και παρουσιάζει ετήσια αύξηση 2%. Αν αν είναι ο πληθυσμός της χώρας ύστερα από ν χρόνια, να βρείτε έναν αναδρομικό τύπο, καθώς και το γενικό όρο της ακολουθίας (αν).

 

- Ποιός θα είναι ο πληθυσμός της χώρας ύστερα από 10 χρόνια; [Χρησιμοποιήστε υπολογιστή τσέπης].

14.

Η ένταση του φωτός μειώνεται κατά 10%, όταν αυτό διέρχεται από ένα φίλτρο. Αν Ιν είναι η ένταση του φωτός, αφού διέλθει διαδοχικά μέσα από ν τέτοια φίλτρα, να βρείτε έναν αναδρομικό τύπο, καθώς και το γενικό όρο της ακολουθίας ( Ιν ).

 

- Ποια θα είναι η ένταση του φωτός, αν διέλθει μέσα από 10 τέτοια φίλτρα και η αρχική ένταση είναι Ι0 ; [Χρησιμοποιήστε υπολογιστή τσέπης].

15.

Σε ένα όργανο μουσικής ο τόνος C' έχει συχνότητα 261 Hz και η οκτάβα του C" έχει διπλάσια συχνότητα. Ανάμεσα στους C' και C" υπάρχουν 11 επιπλέον τόνοι, των οποίων οι συχνότητες σχηματίζουν με τις συχνότητες των C' και C" 13 διαδοχικούς όρους γεωμετρικής προόδου. Να υπολογίσετε:

 

i) το λόγο της προόδου, ii) τη συχνότητα του πέμπτου τόνου.

16.

Το ψυγείο ενός φορτηγού περιέχει 40 It νερό. Αδειάζουμε 4 lt νερό και το αντικαθιστούμε με αντιπυκτικό. Ύστερα αδειάζουμε 4 It του μείγματος και το αντικαθιστούμε με αντιπυκτικό κ.ο.κ. Αν Dν είναι η ποσότητα του νερού στο ψυγείο, αφού εφαρμοσθεί η διαδικασία ν φορές, να βρείτε:

 

i) Έναν αναδρομικό τύπο της ακολουθίας (Dν).

ii) Την ποσότητα του αντιπυκτικού στο ψυγείο, αφού εφαρμοσθεί η διαδικασία 7 φορές. [Χρησιμοποιήστε υπολογιστή τσέπης].

17.

Λέγεται ότι ο εφευρέτης του σκακιού παρακλήθηκε από έναν Ινδό βασιλιά να ζητήσει όποια αμοιβή ήθελε για τη σπουδαία ιδέα του. Ο εφευρέτης ζήτησε να πάρει το ρύζι που θα μαζευόταν ως εξής: Στο 1ο τετραγωνάκι του σκακιού να έβαζε κάποιος έναν κόκκο ρυζιού, στο 2ο τετραγωνάκι 2 κόκκους, στο 3ο τετραγωνάκι 4 κόκκους, στο 5ο τετραγωνάκι 8 κόκκους κτλ.

Να βρείτε πόσοι τόνοι θα ήταν η ποσότητα αυτή του ρυζιού, αν 1 Kg ρυζιού έχει 20000 κόκκους.

 

Στο εσωτερικό μιας γωνίας 60° βρίσκονται κύκλοι Ci, C2, C3,... που εφάπτονται διαδοχικά και έχουν τις πλευρές της γωνίας ως κοινές εφαπτόμενες

Αν rv είναι η ακτίνα του κύκλου Cν και η ακτίνα του C, είναι 1 να βρείτε:

i) Έναν αναδρομικό τύπο και το ν° όρο της ακολουθίας (rν)

ii) Την ακτίνα του 8 κύκλου

iii) Το άθροισμα των εμβαδών των 5 πρώτων κύκλων.

pic5109

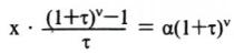
5.4 Ανατοκισμός - Ίσες καταθέσεις - Χρεωλυσία *

Με τη βοήθεια των γεωμετρικών προόδων μπορούμε να λύσουμε προβλήματα οικονομικής φύσεως, που συχνά παρουσιάζονται στις συναλλαγές με πιστωτικούς οργανισμούς.

Ανατοκισμός

ΠΡΟΒΛΗΜΑ. Καταθέτουμε στην τράπεζα ένα κεφάλαιο α ευρώ με ετήσιο επιτόκιο ε%. Με τη συμπλήρωση ενός χρόνου οι τόκοι προστίθενται στο κεφάλαιο και το ποσό που προκύπτει είναι το νέο κεφάλαιο που τοκίζεται με το ίδιο επιτόκιο για τον επόμενο χρόνο. Αν η διαδικασία αυτή επαναληφθεί για ν χρόνια, να βρεθεί πόσα χρήματα θα εισπράξουμε στο τέλος του νου χρόνου.

(Το πρόβλημα αυτό είναι γνωστό ως πρόβλημα ανατοκισμού).

ΛΥΣΗ

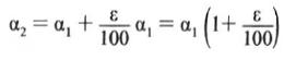
Στο τέλος του 1 χρόνου το κεφάλαιο α θα δώσει τόκο pic5110 και μαζί με τον τόκο θα γίνει

pic5111

Στο τέλος του 2ου χρόνου το κεφάλαιο α, θα δώσει τόκο θα γίνει pic5112 και μαζί με τον

pic5113

Στο τέλος του 3ου χρόνου το κεφάλαιο α2 μαζί με τους τόκους θα γίνει

pic5114

και γενικά στο τέλος του ν χρόνου το κεφάλαιο θα γίνει

pic5115

Παρατηρούμε ότι τα α1 α2, α3,..., αν είναι διαδοχικοί όροι μιας γεωμετρικής προόδου με

pic5116

Άρα, σύμφωνα με τον τύπο του ν όρου γεωμετρικής προόδου, στο τέλος του νου χρόνου το κεφάλαιο α μαζί με τους τόκους θα γίνει

pic5117

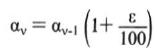
Αν θέσουμε pic5118 που είναι ο τόκος του ενός ευρώ σε ένα χρόνο, έχουμε τον τύπο

pic5119

που είναι γνωστός ως τύπος του ανατοκισμού.

ΠΑΡΑΔΕΙΓΜΑ

Καταθέτουμε με ανατοκισμό κεφάλαιο 10000 ευρώ με ετήσιο επιτόκιο 2%. Να βρεθεί τι ποσό θα εισπράξουμε ύστερα από 10 χρόνια.

ΛΥΣΗ

pic5120

Παρατήρηση. Τη δύναμη (1,02)10 την υπολογίζουμε με τη βοήθεια πινάκων ή με έναν υπολογιστή τσέπης.

 

Ίσες καταθέσεις

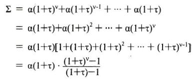
ΠΡΟΒΛΗΜΑ. Καταθέτουμε σε μια τράπεζα στην αρχή κάθε χρόνου α δρχ. με ανατοκισμό και επιτόκιο ε%. Τι ποσό θα πάρουμε ύστερα από ν χρόνια; (Το πρόβλημα αυτό είναι γνωστό ως πρόβλημα των ίσων καταθέσεων)

ΛΥΣΗ

Η 1η κατάθεση θα ανατοκιστεί για ν χρόνια και επομένως, σύμφωνα με τον τύπο του ανατοκισμού, θα γίνει pic5121

Η 2η κατάθεση θα ανατοκιστεί να ν-1 χρόνια και επομένως θα γίνει α(1+τ)ν-1 κτλ. και η v κατάθεση θα τοκιστεί για 1 χρόνο και θα γίνει ύστερα από ν Συνεπώς ύστερα από ν χρόνια θα πάρουμε το ποσό

pic5122

pic5123

Ο τύπος αυτός είναι γνωστός ως τύπος των ίσων καταθέσεων.

ΠΑΡΑΔΕΙΓΜΑ

Στην αρχή κάθε χρόνου καταθέτουμε στην τράπεζα ποσό 10000 ευρώ με ανατοκισμό και με επιτόκιο 2%. Τι ποσό θα πάρουμε ύστερα από 10 χρόνια;

ΛΥΣΗ

Σύμφωνα με τον τύπο pic5124 ύστερα από 10 χρόνια θα πάρουμε ποσό

pic5125

Χρεωλυσία

Χρεωλυσία λέγεται η εξόφληση ενός χρέους, μέσα σε ορισμένο χρονικό διάστημα και με ίσες δόσεις, που πληρώνονται σε ίσα χρονικά διαστήματα. Κάθε δόση λέγεται χρεωλύσιο. Σε προβλήματα χρεωλυσίας συμβαίνουν δυο πράγματα: i) Ο δανειζόμενος δανείζεται από ένα πιστωτικό ίδρυμα, π.χ. το Ταχυδρομικό Ταμιευτήριο, δάνειο α ευρώ για ν χρόνια και άρα οφείλει να πληρώσει ύστερα από ν χρόνια, σύμφωνα με τον τύπο του ανατοκισμού, ποσό α(1+τ)ν ευρώ. ii) Ο δανειζόμενος καταθέτει στο τέλος κάθε χρόνου ποσό x ευρώ με το ίδιο επιτόκιο ε% = τ και άρα ύστερα από ν χρόνια θα πρέπει να πάρει ποσό

pic5126

Έτσι έχουμε την εξίσωση pic5127 από την οποία προκύπτει ο τύπος του χρεωλυσίου:

pic5127

ΠΑΡΑΔΕΙΓΜΑ

Ένας υπάλληλος δανείζεται από το Ταχυδρομικό Ταμιευτήριο ποσό 100000 ευρώ για τη αγορά σπιτιού με επιτόκιο 5% και πρέπει να το εξοφλήσει σε 25 χρόνια. Ποιο είναι το χρεωλύσιο που πρέπει να πληρώσει ο υπάλληλος;

ΛΥΣΗ

pic5129

ΑΣΚΗΣΕΙΣ

Για την επίλυση των ασκήσεων να χρησιμοποιηθεί υπολογιστής τσέπης

Α' ΟΜΑΔΑΣ

1.

Δανείζει κάποιος 5000 ευρώ με ανατοκισμό και ετήσιο επιτόκιο 5%. Πόσα χρήματα θα πάρει συνολικά ύστερα από 5 χρόνια;

2.

Πόσα χρήματα πρέπει να τοκίσει κάποιος με ανατοκισμό και ετήσιο επιτόκιο 3% για να πάρει ύστερα από 10 χρόνια συνολικά 50.000 ευρώ;

3.

Ποιο είναι το επιτόκιο με το οποίο, κεφάλαιο 10.000 ευρώ, ανατοκιζόμενο ανά έτος, γίνεται ύστερα από 5 χρόνια 12.762 ευρώ;

4.

Στην αρχή κάθε χρόνου και για 5 συνεχή χρόνια καταθέτουμε 5.000 ευρώ με ανατοκισμό ανά έτος και με ετήσιο επιτόκιο 3%. Τι ποσό θα πάρουμε στο τέλος του 5ου έτους;

5.

Με πόσο τοκοχρεολύσιο εξοφλεί κάποιος ένα χρέος 10.000 ευρώ ύστερα από 15 χρόνια προς 4%;

B' ΟΜΑΔΑΣ

1.

Τα έσοδα μιας κοινότητας της επιτρέπουν να πληρώνει για 30 χρόνια 5.000 ευρώ το χρόνο. Προκειμένου να κατασκευάσει υδραγωγείο, σκέπτεται να συνάψει δάνειο. Ποιο είναι το μεγαλύτερο ποσό που μπορεί να δανειστεί με ανατοκισμό και με επιτόκιο 5%;

2.

Κάνει κάποιος ασφάλεια ζωής για διάστημα 20 ετών και πληρώνει στην αρχή κάθε χρόνου 1000 ευρώ για ασφάλιστρα. Μετά τα 20 χρόνια η ασφαλιστική εταιρεία θα επιστρέψει τα χρήματα του ασφαλισμένου ανατοκισμένα προς 5%. Τι ποσό θα εισπράξει ο ασφαλισμένος;

3.

Σε μια πόλη η θνησιμότητα είναι 2% του πληθυσμού της και οι γεννήσεις το 3% του πληθυσμού της κάθε χρόνο. Σε πόσα χρόνια θα διπλασιαστεί ο πληθυσμός της πόλης;

4.

Ξοδεύει κάποιος για τσιγάρα 730 ευρώ το χρόνο. Αν τα χρήματα αυτά τα κατέθετε στην αρχή κάθε χρόνου σε μια τράπεζα με επιτόκιο 5% το χρόνο και με ανατοκισμό, τι ποσό θα έπαιρνε στα 40 χρόνια του, αν άρχιζε να καπνίζει από 20 χρονών;

5.

Σύμφωνα με τις στατιστικές ο πληθυσμός της γης το 1990 ήταν 5,35 δισεκ. και αυξάνει 1,8% το χρόνο. Ποιος ήταν ο πληθυσμός της γης το 2000;

6. Θέλει κάποιος να αγοράσει αυτοκίνητο, αλλά δεν φτάνουν τα χρήματά του. Δίνει λοιπόν ένα ποσό και το υπόλοιπο, που είναι 10.000 ευρώ, θα το πληρώσει σε 12 ίσες δόσεις που θα καταβάλλονται στο τέλος κάθε μήνα. Αν το επιτόκιο είναι 1% το μήνα, να βρεθεί το ποσό κάθε δόσης.

ΥΠΟΔΕΙΞΕΙΣ - ΑΠΑΝΤΗΣΕΙΣ ΤΩΝ ΑΣΚΗΣΕΩΝ

ΚΕΦΑΛΑΙΟ 5ο

§ 5.1

A΄ ΟΜΑΔΑΣ

1. i) 3, 5, 7, 9, 11 ii) 2, 4, 8, 16, 32 iii) 2, 6, 12, 20, 30 iv) 0, 1, 2, 3, 4

   v) 1, -0,1 0,01, 0,001, 0,0001 pic5130 vii) 4, 3, 2, 1, 0

pic5131pic5132pic5133

xi) 1, -1, 1, -1, 1

2. i) pic5134 ii) 0, 1, 2, 5, 26 . iii) 3, 4, 6, 10, 16 .

3. i) α1=6 και αν+1=1+αν ii) α1=2 και αν+1=2αν .

iii) α1=1 και αν+1=2αν+1 iv) α1=8 και αν+1=5 + αν

4. i) αν=2ν -1 ii) αν=3 · 5ν-1 .

B΄ ΟΜΑΔΑΣ

1.pic5135

2. pic5136

3. i) Ευθύγραμμο τμήμα ίσο με τη διαφορά των ευθυγράμμων τμημάτων με μήκη pic5137και pic5138

ii) Πάρτε τη διαφορά αν+1ν

4. αν=ν! 5. α4= 2,645752

6. i) Sν=3 ·4ν-1pic5139

 

§ 5.2

A΄ ΟΜΑΔΑΣ

1. i) αν=3ν+4 ii) αν=2ν+9 iii) αν=-3ν+8 pic5140

αν=-3ν-3

2. i) α15=68 ii) α20=144 iii) α30=323 iv) α35=289

pic5141 vi)α47=35

3. i) α1=7, ω=1 ii) α1=2, ω=4 iii) α1=14, ω=3

4. i) α50=8,5 ii) α18=121

5. i) O 20ος όρος ii) O 60ος όρος

6. i) -15 ii) x=16

7. 20 και 30

8. i) 1840 ii) 1560 iii) 3360 iv) 3620

9. i) -9320 ii) 2080

10. i) 4950 ii) 1386 iii) -2030

11. i) 9 όρους ii) 8 όρους

12. 53,585

B΄ ΟΜΑΔΑΣ

1. Πάρτε τη διαφορά αν+1ν, α1=8, ω=-4

2. Χρησιμοποιείστε την ιδιότητα του αριθμητικού μέσου

3. Αντικαταστήστε στο σύστημα x=-1, y=2.

4. i) 4000 ii) 90300 iii) 36036

5. i) 3900 ii) 6615

6. i) 2205 ii) -4220

7. S=(1+2+...+200)-(4+8+...+200)-(9+18+...+198)+(36+72+...+180)=13263

8. Απαιτούνται τουλάχιστον 20 πρώτοι όροι

9. i) αν= Sν- Sν-1 =8ν-7

Άρα α1=1, ω=8

pic5142

10. 1η γραμμή: 10, 780

2η γραμμή: 4, 1539

3η γραμμή: 1, 34

4η γραμμή: -38, -368

11. 78 το 12/ωρο και άρα 156 το 24/ωρο

12. 81840, 2480

13. Συμβολίστε τους όρους με α1-3ω, α1-ω, α1+ω, α1+3ω

2, 6, 10, 14

ή 14, 10, 6, 2

14. 10, 17, 24, 31, 38, 45, 52, 59, 66, 73

15.pic514316. 40m βάθος

 

§ 5.3

A΄ ΟΜΑΔΑΣ

1. i) αν=3 · 2ν-1 ii) αν= 2 · 3ν-1 iii) αν=3ν+1pic5144

pic5145pic5146vii) αν=(0,4)v-1

viii) αν=(-2)ν ix) αν=(-3)ν

2. i) α9=64 ii) α7=1458 pic5147pic5148

v) α10=-512 pic5149pic5150pic5151

3. pic5152 ii) α1=1

4. i) λ=2 pic5155

5. i) α15=20 ·(1,05)14pic5153pic5156

6. 9 όροι

7. i) Ο 10ος όρος ii) Ο 11ος όρος

8. i) 10, 1 ii) x=3

9. i) 1023 ii) 8572 iii) 1364

10. i) 242,7 ii) 1,33

11. i) 10922 ii) 8 iii) 171

12. i) 12288 ii) 0,74m

B΄ ΟΜΑΔΑΣ

1. Πάρτε τον λόγο pic5157

2. Χρησιμοποιείστε την ιδιότητα του γεωμετρικού μέσου

3. i) Πάρτε το 2ο μέλος, κάντε τις πράξεις και χρησιμοποιείστε την ιδιότητα του γεωμετρικού μέσου ii) Πάρτε το 1ο μέλος, κάντε τις πράξεις και χρησιμοποιείστε την ιδιότητα του γεωμετρικού μέσου

4. ν=14

5. i) Σχηματίζουν γεωμετρική πρόοδο με 1ο όρο α12 και λόγο λ2

Σχηματίζουν γεωμετρική πρόοδο με 1ο όρο α1k και λόγο λk

6. i) α1=3, λ=2 ii) pic5158

7. 1023

8. pic5159 ii) 1-αν iii) xν-yν

9. pic5160

10. -1, -3, -9 ή -9, -3, -1

11. i) αν=Sν-Sν=2ν-1,άρα α1=1 και λ=2

ii) α1=2 λ=3

iii) α1=3, λ=2

12. pic5161

13. i) αν+1=1,02 · ανpic5162109,8 εκατομμύρια

14. Ιν+1=0,9· Iνpic51620,35 I0

15. pic5163

16. i) Dν+1=0,9αν ii) pic516220,87 lt

17. 9,223 · 1011τόννοι

18. i) rν+1=3rν ii) 37 iii) 7381 π